作者简介: 张璜(1987—), 男(汉), 四川, 博士研究生。
建立基于Lagrange-Euler方法的多液滴运动模型,数值模拟汽水分离器的分离效率和内部液滴湿度分布。根据多液滴运动特点,选取数目密度函数描述其运动行为。通过分析液滴和流场之间的作用机理,采用 δ函数构建液滴运动参数等Lagrange变量和流场参数等Euler变量的联系,从而建立多液滴运动的物理模型,并给出该物理模型的数学描述及数值求解方法。利用该模型计算得到的分离器效率与实验值及商用软件模拟值符合良好,且通过对速度场的分析,认为计算所得的分离器内部湿度分布合理。结果表明: 多液滴运动模型所得结果可靠,该模型的提出为设计和优化分离器的结构提供了强有力的工具。
The movement of polydispersed droplets was simulated using a Lagrangian-Eulerian model to calculate the separation efficiency and the moisture distributions in separators. A number density function was used to describe the motion. The mechanism describing the interaction between the droplets and the flow was developed with a δ-function that related the droplet and flow field parameters in a physical model of the polydispersed droplet motion. The mathematical description and numerical methods for solving the physical model was introduced. The efficiencies of the separators computed from this model fit well with experimental data and commercial CFD software model. The moisture distributions inside the separators predicted by the model are reasonable relative to the velocity fields. Thus, the results from the polydispersed droplet motion model are reliable and can be used to design and optimize separator designs.
液滴运动现象广泛存在于能源、化工和环境工程等领域。由于目前中国核能工业发展势头强劲,而核能设备的经济性和安全性是其发展的保障,因此对核能设备经济性和安全性的研究正日益深入。蒸汽发生器是核电站的主要设备: 蒸发段产生夹带着大量液滴的高速湿蒸汽,它们通过汽水分离装置干燥。欧美主要核电国家规定汽水分离器出口的蒸汽湿度原则上需小于0.25 %,否则夹带着大量液滴的高速蒸汽可能会腐蚀二回路的管道和关闭件等设备;或者造成汽轮机的汽蚀,从而影响汽轮机工作寿命。因此,弄清大量液滴(多液滴)在汽水分离器内部的运动规律及其分布特性(尤其是全场湿度分布), 对研究如何提高核电系统的安全性和经济性至关重要。
数值模拟方法正成为研究多液滴运动强有力的工具。对于多液滴运动行为的模拟,一般有 Euler-Euler方法和 Lagrange-Euler方法[1]。 Euler-Euler方法将液滴和负载液滴的流体均当作连续介质,通过求解液滴和流体各自的连续性方程、动量方程和能量方程,得到某一区域内液滴的体积份额(或湿度)和平均速度场等宏观参数。 Lagrange-Euler方法将液滴当作离散相,而负载液滴的流体仍当作连续相,通过求解每个液滴(或特征液滴)[2]在流场内的运动方程,得到各个液滴在流场中每时每刻的位置、速度、半径等参数,进而得到大量液滴在各个时刻随空间位置、大小和速度的分布函数,并由此得到液滴体积份额(或湿度)等宏观参数。
Euler-Euler方法适合处理液滴相体积浓度特别大的情形。而在运用 Lagrange-Euler方法时,则要求液滴相是稀疏相(通常要求其体积浓度φ <10 -3)[3]。负载液滴的流体的动力学行为通常用建立在 Euler坐标系下的 Navier-Stokes方程组描述,而液滴在 Lagrange坐标系下运动的,所以运用该方法会带来3个困难: 1) 如何将初始时刻多液滴的分布函数(通常是连续的)转变为离散液滴的信息; 2) 如何建立和求解多液滴在 Lagrange坐标系下的运动模型;3) 如何将多液滴在 Lagrange坐标系下的信息和 Euler坐标系耦合。
针对以上3个问题,本文首先描述多液滴初始信息的选取方式,随后给出多液滴在流场中的运动模型及其求解方法,进而提出将 Lagrange坐标系下得到的多液滴计算结果和 Euler坐标系耦合的方法。最后通过算例证实多液滴运动模型的正确性。
为简述起见,下文中多液滴运动模型简称C&B模型。
由液滴源[4]产生的大量液滴进入气相流场,这些液滴在流场的作用下,可能会经历碰撞、聚合和破碎等过程。同时,随着液滴的不断运动,它们会沉积在流场边界。因此,流场中液滴的位置、大小和速度等变量均在不停变化。由于液滴的数量巨大,通常只关心它们的统计特征。Crowe、 Sommerfeld和Tsuji[1]等指出,流场中液滴半径大小的分布常有以下几种形式: 均匀分布、正态分布、对数-正态分布、 Rosin-Rammler分布和对数-双曲分布。庞凤阁等[5]测得液滴半径大小满足正态分布,而它们的位置在空间是均匀分布的。Kim、 Lee[6]和李嘉[7]等指出液滴的速度分布近似于流场的速度分布,认为液滴的位置均匀分布在流场空间。
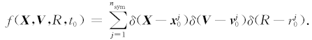
然而以上学者给出的液滴分布信息都是在特定条件下得到的。由于数目巨大的液滴在流场中的运动过程及其复杂,至今无法给出液滴分布的统一规律。但是大量液滴的统计特性可以由液滴数目密度分布函数(number density function, NDF)表征[8]。设该函数的数学形式为 f( X, V, R, t), 其中 X、 V和 R分别表示位置空间、速度空间和半径空间等Euler变量[9,10],这些变量可构成相空间{ X, V, R}。 f( X, V, R, t)d Xd Vd R的含义为: 在 t时刻的空间位置 X点上,具有速度 V和半径 R的液滴在d X、 d V和d R范围内的液滴数目。用 qi表示 X、 V和 R等变量,可得关于某一变量的NDF,即
例如,半径 R的NDF可表示为
fR( R, t) =∫…∫ f( X, V, t)d Xd V.(2)
fR( R, t)d R的意义为: 在 t时刻,具有半径 R的液滴在d R范围内的数目。
初始时刻 t0(源液滴产生的瞬间), NDF的各个变量可认为相互独立[4],因此式(3)成立。
f( X, V, R, t0) =fX( X, t0) fV( V, t0) fR( R, t0). (3)
式(3)表示: 初始时刻液滴的NDF是各个变量的NDF的乘积。同时本文认为初始时刻液滴的NDF不随时间变化,即源液滴的产生是稳定的。
由式(3)可确定初始时刻全空间内液滴的 NDF为f( X, V, R, t0)。由于 f( X, V, R, t0)是连续的,而本文采用的Lagrange-Euler方法要求液滴是离散相,因此需要对 f( X, V, R, t0)做离散化处理。由式(3)可知, f( X, V, R, t0)等于各个变量的NDF之积,因此通过选取特征液滴的对 f( X, V, R, t0)离散。
特征液滴的物理意义为: 在相空间点( X', V', R')附近的液滴,如果它们的位置、速度和半径可用平均值( X″, V″, R″)表示,那么具有( X″, V″, R″)值的液滴称为特征液滴。如果将相空间用坐标表示(图1), 空心圆圈代表( X', V', R' )附近的液滴,实心圆圈就代表特征液滴,它位于相空间( X″, V″, R″)点处。选取特征液滴不仅能够离散NDF, 而且可以减少用Lagrange法跟踪液滴的个数,达到降低计算量的目的。
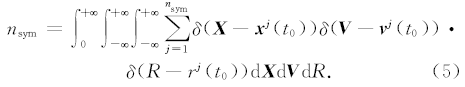
特征液滴的选取过程用数学语言表述如下。初始时刻全空间内液滴总数 nsym为
nsym =
全空间的液滴数目亦可用Dirac -δ函数(简记为 δ函数)表示为[11]

其中: xj( t0)、 vj( t0)和 rj( t0)表示 nsym个液滴中第 j个液滴的初始位置、速度和半径,简记为
![]() |
如果将空间位置 X、 速度空间 V和半径空间 R分别划分为 NX组、 NV组和 NR组,每组间距分别为Δ X、 Δ V和Δ R, 则初始液滴总共被划分成 Nrep组,即
Nrep =NXNVNR. (7)
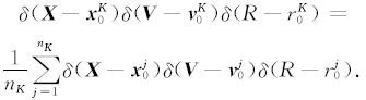
设第 K组液滴的总数目为 nK, 用一个特征液滴表征该组液滴,令
![]() |
其中:
![]() |
易知式(9)第一项必然满足特征液滴的定义式(8), 其中 wj为权重,这里取1 /nK。
根据式(7), 可选取 Nrep个特征液滴,它们的初始状态 Y0为
Y0 =
每组特征液滴的数目为 n1,…, nK,…,
特征液滴仅是一组单个液滴的代表,所以其运动规律和单个液滴在流场中的运动规律相同。同时考虑到流场及多液滴运动的复杂性,本文对特征液滴的运动和其背景流场作如下假设:
1) 特征液滴运动的背景流场是稳态的;
2) 流场和特征液滴之间处于热力学平衡态;
3) 特征液滴为刚性球体;
4) 特征液滴在流场中会发生平动与转动;
5) 特征液滴的受力来自流场而流场的运动不受特征液滴的影响;
6) 特征液滴运动速度与当地流场速度相互独立且存在差异;
7) 由于仅考虑低体积浓度的液滴相,所以特征液滴之间不发生碰撞、聚合等过程;
8) 产生液滴的源是稳定的,故特征液滴在流场中运动的轨迹线和其运动的流线重合。
液滴背景流体的运动采用 Euler坐标系描述,流场的速度和压强为 Euler变量 X和 t的函数,即 u=u( X, t), p=p( X, t)。假设流体为不可压缩Newton型流体,考虑稳态情形,连续性方程和动量方程为
Ñ· u=0, (11)
![]() |
其中: ρf为流体密度; g为重力加速度; ν为流体运动粘性系数。
特征液滴的运动采用Lagrange观点描述,其各个时刻的位置 x( x0, t)称作Lagrange变量[9]。特征液滴的运动规律满足张谨奕等[12]提出的Z&B模型。
设 t时刻,所有特征液滴的状态为
在Z&B模型中,特征液滴的半径不随时间变化,但需考虑特征液滴角速度的变化,因而有
y( t) K=
其中: y( t) K为 t时刻第 K组特征液滴的状态, x( t) K、 ω( t) K和 v( t) K分别为 t时刻特征液滴的空间位置、角速度和速度。为表达简洁,将 y( t) K、 x( t) K、 ω( t) K和 v( t) K简记为 y( t)、 x( t)、 ω( t)和 v( t)。
进而所有特征液滴的状态 Y( t)满足方程
其中: Θ为与所有特征液滴运动相关的参数。
对于式(13)的第 K个分量 y( t), 满足方程
其中: θ为与第 K组特征液滴运动相关的参数。
y( t)共有3个分量 x( t)、 ω( t)和 v( t), 记为
y( t) =( x( t), ω( t), v( t))T. (17)
x( t)满足的方程为
ω( t)满足的方程为
I
其中: I=2 mr2 /5为第 K组特征液滴转动惯量, m为第 K组特征液滴质量; M=-0.5 ρf CMr5 |ω-Ω/2 |( ω-Ω/2)为第 K组特征液滴所受合力矩, CM为转矩系数,流场旋度 
v( t)满足的方程为
m
其中: m=4π ρd r3 /3, ρd为液滴密度; 曵力 FD =π CD ρf |u-v|( u-v) r2 /4, CD为曵力系数; 惯性质量力 FA =2π ρf r3[d( u-v) /d t] /3; 体积力 FV =4π r3( ρd -ρf) g/3, g为重力加速度; Magnus升力 FM =π CMa ρf r3( u-v) ×( ω-Ω/2), CMa为Magnus升力系数; Saffman升力 FS =6.46 CSa( Rμ)2( ρf μf)0 .5 r2 |Ω|-0 .5[( u-v) ×Ω], CSa为Saffman升力系数,( Rμ)2表示特征液滴内部环流量对升力的影响, μf为流体动力粘性系数。
将以上各表达式代入式(18)~式(20), 并将方程左边系数归一化得
其中: λ1 =-15 ρf /16π ρd、 λ2 =3 ρf /(8 ρd r+4 ρf r)、 λ3 =3 ρf /(4 ρd +2 ρf)、 λ4 =[1.615 ( μd +2 μf /3)2 /( μd +μf)2( μf ρf)0 .5] /( ρd πr/3 +ρf πr/6)、 λ5 =2( ρd -ρf) /(2 ρd +ρf)为归一化系数, CM、 CD、 CMa、 CSa等系数的值详见文献[12]。
式(21)中 u和 Ω为液滴所在位置点背景流场的速度和旋度,由式(11)和式(12)式确定,故该式封闭。并且该式的初值为式(9), 因而式(21)是给定初值的常微分方程组。因此要确定 Nrep个特征液滴在 t时刻的状态 Y( t), 需要求解式(15)的 Nrep个分量方程,进而需要求解 Nrep个式(16)。而式(16)又有3个分量,每个分量的方程为式(21)。故同时求解这3 Nrep个方程就能得到所有特征液滴在 t时刻的状态 Y( t)。
首先用 Ansys13 ICEM对计算区域(全空间)进行网格划分,再将网格文件导入 Ansys13 Fluent以求解式(11)和式(12)(若流场为湍流,则式(11)和式(12)为相应的 RANS( Reynolds Average Navier-Stokes)方程组)[13], 计算多套网格,得到流场的网格独立解。
设ti时刻所有特征液滴的状态为 Yi,经过 τ时间间隔后,在 ti+1时刻所有特征液滴的状态为 Yi+1,并满足关系
Yi+1 -Yi=
上式的第 K个分量满足
yi+1 -yi=
其中: yi+1和 yi分别表示第 K组特征液滴在 ti+1和 ti时刻的状态。
式(23)的各个分量在 ti+1和 ti时刻的值分别为 xi+1、 ωi+1、 vi+1和 xi、 ωi、 vi, 可根据稳定性要求选取经典Runge-Kutta算法或算子分裂算法求解该式,经典Runge-Kutta算法见文献[12],以下给出求解(23)式的算子分裂算法[14]。
xi+1 =xi+
其中: K1、 K2、 K3和 K4的值为
并引入定义:
F( v) =λ3 CMa( ui-v) ×( ω-Ωi) +λ4 CSa |Ωi|-0 .5[( ui-v) ×Ωi] +λ5 g. (29)
其中 ui和 Ωi分别为特征液滴位于 xi点时流场的速度和旋度,通过距离反比权重插值得到[14]。
式(24)~式(29)是采用算子分裂算法后对(21)式的数值求解格式。无论采用经典Runge-Kutta算法或者算子分裂算法,只要所取的时间步长 τ能保证算法稳定,这2种算法都是收敛的[15]。因此,由已知的 Nrep组特征液滴的初始状态 Y0,就能求得 ti时刻 Nrep组特征液滴的状态 Yi。
在1.4节中用网格对全空间进行离散,可知第m个网格的特征位置 Xm(可取网格的重心位置)也为Euler变量,它不随时间变化。液滴的位置 x( x0, t)为Lagrange变量,它随时间变化。 t时刻在第 m个网格内(即Δ Xm内), 速度空间 VΔ V及半径空间 RΔ R内的液滴数目 nΔ为
![]() |
nΔ用NDF表示为
nΔ =
由式(30)和式(31)可得
![]() |
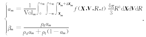
其中: xK、 vK和 rK均可由1.4节中所述的方法求出。因此通过式(32)可将已知的 xK、 vK和 rK转变成NDF。那么在 t时刻,第 m个网格内液滴的体积份额 αm和湿度 βm为

其中Vol m表示第 m个网格的体积。上述过程实现了Lagrange方法和Euler方法的耦合。
采用无钩型波形板[5](图2 a)。波形板的波数为2, 入口及出口端长度均为L=13.5 mm, 波形板间距H=8.33 mm和12.5 mm, 曲折角α=45 °,折边B=25 mm, 并定义w=B/H, 分别为3和2。假设波形板在冷态工况下工作,用不可压缩空气代替蒸汽[5],其密度ρ f=1.225 kg/m3, 动力粘性系数μ f=1.789 4×10-5 Pa· s; 液滴密度ρ d=998 kg/m3, 动力粘性系数μ d=9.98×10-4 Pa· s。波形板内液滴和气体的运动可简化为二维,所以可忽略液滴受到的体积力,因此令式(21)中λ5=0。
利用 Ansys13 Fluent对波形板内气相流场进行模拟,流动设置为稳态,入口速度分别设为4、 5、6 m/s, 粘性模式选用标准κ-ε湍流模型,固壁设置为无滑移边界,出口设置为压力边界,选用 SIMPLE算法求解,压力项离散格式为 Standard, 其余各项离散格式为二阶迎风,各项残差设置为10-5。当w=3及入口速度为4 m/s时,计算结果(网格独立解)采用 Ansys13 CFD-Post处理得到的波形板内流场的速度云图(图2 b)。
入射液滴质量随半径r呈正态分布[5],分布函数为
其中: γ=55 μm, σ=25 μm。入射液滴的半径范围为1~35 μm[16]。入射液滴速度与气体进口速度相等,入射液滴的位置在波形板入口处均匀分布[7]。
波形板分离器的分离效率η eff定义为
η eff=1-
其中: m in为进入波形板分离器的液滴总质量, m out为流出波形板分离器的液滴总质量。
利用 C&B模型,分别计算2种不同形状的波形板在不同气体入口速度下对入射液滴的分离效率,并将计算值与实验值[5]比较(图3)。由该图可知,计算值与实验值较为吻合。
实际工程设计中,十分关心波形板分离器内部的液滴湿度分布。利用 C&B模型,可给出稳态流场下波形板内部的液滴湿度分布信息(图4和图5)。由于在流场内部,湿度值小于1, 且最小和最大值往往相差几个数量级,为了使液滴湿度分布图经由 Tecplot 360软件处理后有更好的对比度,将每个网格内的液滴湿度值βm进行如下变换
其中β'm表示经变换后得到网格内的等效湿度值。易知β'm与βm正相关,即β'm的值越大表明βm的值越大,反之亦然。由图4和图5可见,在波形板入口附近,液滴的湿度较高。液滴随着流场经过波形板第一级后,液滴湿度降低,而壁面上湿度增加(图中深色区域), 说明有大量液滴沉积在壁面处,表明此处有大量液滴被波形板分离。随着液滴和气体向出口进一步运动,液滴的湿度逐渐降低,部分壁面的湿度渐渐增加,说明此时有一部分液滴被波形板分离。在第二级波形板的后半段直至波形板的出口,流场中液滴湿度的变化不再明显,说明此时液滴可直接流出波形板。
通过对波形板分离效率的计算和其内部液滴湿度分布的显示,可验证 C&B模型在二维空间下的正确性。
利用 C&B模型计算波形板内汽水两相流动时,可做二维简化。而实际工程中通常要做三维计算,因此采用旋风式气液分离器验证 C&B模型应到在三维空间时的正确性。采用小型旋风分离器[6],其几何形状如图6。旋风分离器内流动的介质为常温常压空气和邻苯二甲酸二辛脂( DOP)油状液滴。空气的密度ρ g=1.225 kg/m3, 动力粘性系数μ g=1.7894×10-5 Pa· s; DOP液滴密度ρ DOP=980 kg/m3。
利用 Ansys13 Fluent对旋风分离器内气相流场进行模拟,流动设置为稳态,入口速度分别设为2.04、 2.87、4.26 m/s, 粘性模式选用 RNG κ-ε湍流模型,固壁设置为无滑移边界,下出口设置为压力边界,上出口设置为充分发展边界,选用 SIMPLEC算法求解,压力项离散格式为 Standard, 其余各项离散格式为二阶迎风,各项残差设置为10-5, 计算多套网格,得到流场的网格独立解。
流场计算完成后,再计算 DOP液滴的运动行为。 DOP液滴粘附在壁面或从下出口流出即视为被旋风分离器分离,从上出口流出的 DOP液滴将会随空气一起进入外部环境,分离效率的具体定义见(35)式。将 C&B模型计算所得的 DOP液滴在旋风分离器内分离效率的结果和实验值[6]作比较,并与利用 Ansys13 Fluent中的离散相模型( DPM模型)的计算结果对比(图7)。
图7给出了不同直径的DOP液滴在旋风分离器的分离效率。图7a中,对直径小于8μm的液滴, Fluent的计算结果出现震荡; 而从C&B模型的计算结果看出,随液滴直径的增大,分离效率增大,这与实验值变化的趋势相符。对直径在8μm至16μm范围内的液滴, C&B模型的计算值较Fluent更加趋近实验值。对于直径大于16μm的液滴, C&B模型的结果和Fluent几乎一致,且与实验值的相对误差均在10%以内。图7b中,对直径小于 5μm 的液滴, Fluent的计算结果出现震荡; 而C&B模型的计算结果与实验值的变化趋势相符。对直径在5μm至11μm范围内的液滴, C&B模型的计算值较Fluent更加趋近实验值。对于直径大于11μm的液滴, C&B模型的结果和Fluent的相对误差在4%以内,且与实验值的相对误差均在10%以内。图7c中,对直径小于4μm的液滴, Fluent的计算结果不变; 而C&B模型的计算结果与实验值的变化趋势相符。对直径在4μm至6μm范围内的液滴, C&B模型的计算值较Fluent更加趋近实验值。对于直径大于11μm的液滴, C&B模型的结果和Fluent的相对误差在5%以内,且与实验值的相对误差均在10%以内。从总体上看, C&B模型的计算结果和Fluent接近,且对较小直径范围内的液滴, C&B模型计算结果更加趋近实验值。对较大直径的液滴, C&B模型和Fluent的计算结果相差较小,其相对误差在5%以内。这是由于大直径液滴主要受曳力的影响,此时C&B模型和Fluent中液滴运动方程基本相同,而C&B模型采用算子分裂算法或经典Runge-Kutta算法对其求解,而Fluent采用梯形或隐式格式求解[17]; 同时本文采用距离反比权重插值获得液滴位置处流场信息[14],而目前尚无公开文献给出Fluent中的插值方式,以上这些因素都会导致大直径液滴的模拟结果的差异性。基于以上论述,可验证C&B模型的正确性。
C&B模型可以给出DOP液滴在旋风分离器各个截面上的湿度分布。现给出观测截面(观测截面的位置见图6)上DOP液滴等效湿度分布见图8,等效湿度定义见式(36)。
观测截面的半径为15.05mm, 高度为50mm, 其边界为壁面。由图8所示,观测截面上液滴湿度分布形状大致呈圆周或圆盘状(圆盘可认为由不同直径的圆周构成), 湿度分布的大小近似为中心区域小,越往外越大。此处本文模拟的特征液滴尺寸在10μm量级,流场速度在5m/s的量级,流场尺寸在0.1m量级,可估算液滴的 St数[1]为0.15, 该值小于1, 说明液滴对流场有一定跟随性。图9给出了观测截面上流场速度矢量图,由该图可知,具有相同速率的速度矢量呈圆周状分布。由于小尺寸液滴对流场的跟随性好,因此它们可以跟着流场作圆周运动。对于大尺寸液滴,虽然流场会对它们的运动产生一定影响,但它们的随流性差,不会一直跟着流场作圆周运动,而是逐渐偏离圆周轨道,最终被流场抛向壁面。所以液滴湿度呈圆周或圆盘状分布,并且中心区附近的湿度小,边界区附近的湿度大。通过上述定性分析,说明利用C&B模型得到的三维空间液滴湿度分布信息是合理的。
本文基于Lagrange-Euler方法,提出C&B运动模型。主要结论如下:
1) 多液滴运动过程复杂,用数目密度函数描述其运动行为;
2) 通过选取特征液滴,将连续的数目密度函数离散;
3) 分别在Lagrange坐标系和Euler坐标系下建立特征液滴和背景流场的动力学模型,并通过 δ函数使两者耦合;
4) 利用C&B模型,计算了波形板分离器和旋风分离器对液滴的分离效率,计算结果和实验值及商用软件计算值吻合,验证了该模型的正确性;
5) C&B模型可以计算流场内液滴体积份额和湿度分布,并从定性分析的角度,验证了这些结果的合理性,同时显示了该模型较广的应用前景。
| [1] |
|
| [2] |
|
| [3] |
|
| [4] |
|
| [5] |
|
| [6] |
|
| [7] |
|
| [8] |
|
| [9] |
|
| [10] |
|
| [11] |
|
| [12] |
|
| [13] |
|
| [14] |
|
| [15] |
|
| [16] |
|
| [17] |
|







