2. 清华大学 城市综合应急科学北京市重点实验室, 北京 100084;
3. 广州地铁集团有限公司, 广州 510330
2. Beijing Key Laboratory of City Integrated Emergency Response Science, Tsinghua University, Beijing 100084, China;
3. Guangzhou Metro Group Co., Ltd., Guangzhou 510330, China
随着我国城镇化进程的不断加快,城市轨道交通以其载客量大、舒适安全、方便快捷和绿色环保等优点在现代城市公共交通系统中受到了越来越多的重视。隧道作为城市轨道交通的重要组成部分,其结构狭长、空间较为密闭,一旦发生火灾,烟气不易排出,这会给人员疏散和应急救援带来极大的困难[1-2]。在隧道设计中,限于地质条件和实际需求,部分线路具有一定坡度,相较于普通隧道,当含坡度隧道内发生火灾时,烟囱效应更为显著,使得烟气向上坡方向蔓延的趋势更为强烈,从而增加了隧道火灾烟气控制的难度。
国内外学者针对含坡度隧道火灾开展了一系列的实验和数值模拟研究。在隧道坡度方面,Morandini等[3]通过实验研究了隧道坡度对火羽流偏转角与烟气蔓延速度的影响,并得到当坡度超过一定数值时将产生严重危险的结论;Hu等[4]通过1:12比例的小尺寸模型实验, 研究了不同坡度模型隧道内顶棚最高温度和烟气温度纵向分布规律,并提出了关于坡度的顶棚最高温度与温度纵向衰减系数;Liu等[5-8]通过一系列的模型实验和数值模拟研究了地铁隧道分岔联络区域的烟气扩散特性及分岔结构对顶棚温度的影响,并建立了综合考虑正线和联络隧道坡度的顶棚最高温度和纵向分布的预测模型;Zhong等[9]在长大倾斜拐弯隧道内开展了一系列全尺寸火灾实验,提出了隧道外部自然风压和火风压共同作用下的烟气扩散模式;李炎锋等[10]通过1:6比例的小尺寸模型实验与FLUENT软件计算研究了不同坡度下烟气在隧道中的蔓延规律,并得出自然通风状态下热烟气的蔓延速度随隧道坡度增大而加快的结论。在隧道阻塞物方面,Oka等[11]通过小尺寸模型实验研究了阻塞效应对临界风速的影响规律;卢欣伶[12]通过小尺寸实验与数值仿真相结合的方法研究了列车阻塞比对区间隧道顶部最高温度、沿程温度分布、烟气逆流长度及临界纵向风速的影响;吴贤国等[13]利用FDS(fire dynamics simulator)数值模拟软件研究了不同车辆阻塞比、阻塞长度以及车辆间距对隧道火灾温度及CO分布的影响。
深入研究含坡度隧道火灾烟气运移扩散规律对人员疏散和应急救援具有非常重要的指导意义,然而现有研究多为数值模拟或小尺寸实验研究,具有先天的不足,往往无法反映真实的火灾场景。因此开展含坡度隧道车辆阻塞下全尺寸火灾实验研究是迫切而必要的。
1 实验 1.1 隧道概况本实验中的隧道采用矿山法施工方式,为单洞单线隧道,断面结构为马蹄形,其最大高度约为5.5 m,运营线路选用6B编组列车,6B编组列车尺寸为114 m×2.8 m×3.8 m,本次实验车辆尺寸为10 m×2.8 m×3.8 m,可较好模拟6B编组列车阻塞条件下火灾场景,隧道剖面示意图如图 1所示。实验区域总长约180 m,且火源距离隧道左端出口290 m,机械通风采用射流通风模式,风速为2.52 m/s,风流方向为由B到A。
|
| 图 1 实验隧道剖面示意图(单位:mm) |
1.2 实验系统
本全尺寸火灾实验系统主要包括火源系统和测量系统。火源系统由火源发生装置和保护装置组成,实验所用油盘选用1.19 m×0.42 m和1.19 m×1.26 m 2种尺寸规格,采用甲醇作为燃料,经质量损失标定,其近似火灾功率分别为0.25和0.75 MW;保护装置主要包括位于油盘下方的防火板、保护支架及保护线缆和相关设施的防火布,防止火灾实验过程中对轨道及设备设施造成破坏;测量系统用于采集现场热烟测试的指标参数,主要包括温度测量单元、气流速度测量单元、图像视频信息采集单元等,实验中在温度测试部位布置一线总线分布式测温电缆对烟气温度进行实时测量,测温电缆的量程和测量精度分别为0~127 ℃和0.112 5 ℃,测量误差为±0.1%,测温电缆之间通过串联电缆连接至LTM-8 000采集模块,采用法国KIMO-CTV115多通道风速仪对实验区域断面风速进行测量,风速仪的量程为0~30 m/s,测量精度为0.01 m/s,采样频率为1 Hz,测量误差为±0.05%。
图 2为全尺寸火灾实验测试系统布置图,实验共布置24根测温电缆,分别编号T1~T24,火源两侧各布置12根,测温电缆T1~T7、T12~T13、T18~T24间距为10 m;T7~T11、T13~T18间距为5 m,每根测温电缆各探头分布及在隧道中布置方式如图 1所示。火源位置两侧距离15 m处分别设置风速测点1和风速测点2,用以记录该位置的气流速度,测点距离地面高度为1.5 m。车辆阻塞工况中车辆位于火源上坡侧且距离火源截面30 m位置处。
|
| 图 2 全尺寸火灾实验测试系统布置图 |
1.3 实验工况
实验共设置8组工况,分别模拟含坡度隧道不同通风及车辆阻塞条件下的火灾场景,具体工况设置如表 1所示,实验现场如图 3所示。
| 实验工况 | 火源功率(HRR)/MW | 阻塞条件 | 通风方式 | 环境温度/℃ | 相对湿度/% |
| Test 1 | 0.25 | 无阻塞 | 自然通风 | 24.3 | 63 |
| Test 2 | 0.75 | 24.1 | 63 | ||
| Test 3 | 0.25 | 机械通风 | 24.6 | 60 | |
| Test 4 | 0.75 | 23.6 | 59 | ||
| Test 5 | 0.75 | 阻塞 | 自然通风 | 23.7 | 54 |
| Test 6 | 0.25 | 24.9 | 52 | ||
| Test 7 | 0.25 | 机械通风 | 24.9 | 53 | |
| Test 8 | 0.75 | 23.6 | 60 |
|
| 图 3 实验现场图 |
2 结果与分析 2.1 气流速度
表 2为各实验工况的平均气流速度。
| 实验工况 | 风速测点1/(m·s -1) | 风速测点2/(m·s -1) |
| Test 1 | 0.18 | 0.35 |
| Test 2 | 0.18 | 0.56 |
| Test 3 | 3.88 | 3.04 |
| Test 4 | 5.90 | 3.70 |
| Test 5 | 0.21 | 0.55 |
| Test 6 | 0.39 | 0.20 |
| Test 7 | 3.03 | 2.70 |
| Test 8 | 4.90 | 3.30 |
1) 含坡度隧道火灾自然通风下气流规律。选取Test 1、Test 2、Test 5和Test 6工况中风速测点1和风速测点2的气流速度进行分析,可以发现风速测点1处的风速明显小于风速测点2处,这是因为实验隧道具有一定的坡度,且A侧的水平标高大于B侧,受到烟囱效应的影响,B侧的压力大于A侧,所以气流从B流向A。
2) 火源功率对气流速度的影响。分别对比Test 1和Test 2、Test 3和Test 4、Test 5和Test 6、Test 7和Test 8的气流速度,可以发现火源功率较大的工况所测得的气流速度普遍大于火源功率较小的工况,这是因为功率较大的火源在火源区域所产生的火风压较大,当气流流经火源区域时,火风压对其速度有增强作用,致使气流速度增大。
3) 阻塞效应和通风方式对气流速度的影响。分别对比Test 1和Test 6、Test 2和Test 5、Test 3和Test 7、Test 4和Test 8的气流速度,可以发现车辆阻塞和通风方式均会对气流速度产生较大影响,其中车辆阻塞效应对自然通风条件下的气流速度影响较小,对机械通风条件下的气流速度影响较大,这是因为在机械通风条件下气流速度较大,且气流方向为由B到A,当存在车辆阻塞时,气流不能全部流到车辆后方,其中部分气流会沿着车辆与隧道的空隙流到车辆后方,而部分气流则受到车辆阻塞作用产生回流现象,使其流动方向与原有方向相反,对原有方向的气流产生抑制作用,故而车辆阻塞条件下的气流速度小于无阻塞条件下的气流速度。
2.2 烟气温度竖直分布选取Test 2、Test 4、Test 5和Test 8 4组实验中x=-40 m和x=-30 m处的测点位置为研究对象,绘制不同高度烟气温度随时间变化分布图,如图 4所示。
|
| 图 4 不同高度烟气温度随时间变化分布图 |
自然通风条件下,在x=-30 m位置处,车辆阻塞效应对烟气分层作用影响较小,4.4 m以上高度区域的温升较为明显,温升范围为22~40 ℃,此区域为热烟气层,3.9~4.4 m垂直方向上的温度梯度较大,为烟气层与下方空气层的过渡区域;在x=-40 m位置处,当无车辆阻塞时,4.9 m以上高度区域的温升较为明显,为热烟气层,在3.4~4.9 m高度范围内的垂直方向上温度梯度较大,为过渡区域,当有车辆阻塞时,4.4 m以上高度区域的温升较为明显,为热烟气层,在3.4~4.4 m高度范围内的垂直方向上温度梯度较大,为过渡区域,导致车辆阻塞条件下热烟气层较高的原因是阻塞效应会产生烟气蓄积作用,使得烟气在阻塞区域顶部蓄积,从而导致此处的热烟气层高度较高。
机械通风条件下,x=-40 m位置处的温升范围为1.0~2.0 ℃,x=-30 m位置处的温升范围为2.0~5.5 ℃,与自然通风相比,机械通风可以有效地将烟气排出,由于车辆阻塞效应的影响,机械通风下车辆阻塞区域顶部烟气蓄积作用更加明显,使得阻塞情况下阻塞区域的顶部温升略高于无阻塞情况。此外,无车辆阻塞时,x=-40~-30 m范围处的烟气温度垂直方向上的温度梯度明显大于车辆阻塞时,说明车辆阻塞作用使得烟气层高度有所升高,由于受到车辆阻塞的限制,使得阻塞区域内的烟气与下部低温空气的对流换热强度不够充分。
2.3 烟气层高度在建筑火灾中,烟气层高度是表示烟气沉降情况及其危险性的重要参数,稳定的烟气层会与下部的空气层形成明显的密度差,然后受火灾和通风方式的影响,烟气层下部区域也往往会掺混少量烟气,形成烟气层和空气层的过渡区域,导致下部能见度降低,不利于人员疏散。NFPA-92B[14]提出采用竖直方向温度数据计算烟气沉降高度的方法,计算公式如下:
| $ T_{\mathrm{n}}=C_{\mathrm{n}}\left(T_{\max }-T_{\mathrm{amb}}\right)+T_{\mathrm{amb}}. $ | (1) |
其中:Tn为烟气层与空气层分界面的温度,单位℃;Tmax为竖直方向最高温度,单位℃;Tamb为环境温度,单位℃;Cn为百分比常数,当Cn为0.8~0.9时,认为Tn所在高度为烟气层高度。考虑较危险的情况,可取烟气层高度对应的Cn值为0.8,对隧道内不同实验工况下的烟气层高度进行计算。
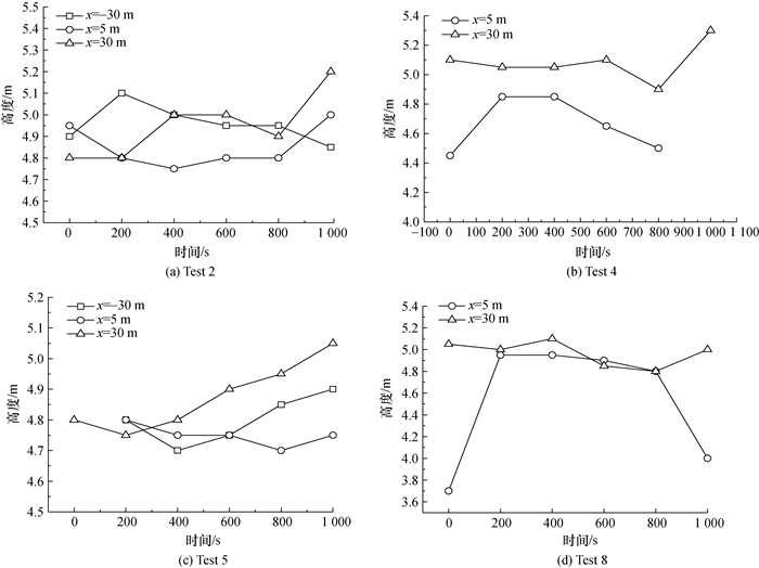
图 5为各实验工况下x=-30 m、x=5 m和x=30 m位置处火源稳定燃烧时期的隧道烟气沉降情况。结果表明:自然通风条件下火源区域附近各测点位置处的烟气层高度差异较小,约为5 m;机械通风条件下,火源上游的烟气层高度相比自然通风略有降低,而火源下游区域无法用百分比法得到烟气层高度,这是因为在机械通风和火风压的联合作用下,火源下游的烟气可以有效排出,该区域内的温升较小,且流场较为紊乱,故而烟气分层现象不甚明显。
|
| 图 5 隧道烟气沉降情况 |
图 6为Test 5工况下各测点位置处温度经无量纲处理后的图像,其中x>0和x < 0分别表示火源截面的下坡侧和上坡侧。根据图中曲线可以看出,无量纲温度等于1的点基本位于顶棚最高测点处,但部分则处于次高测点处,如x=-10 m和x=30 m,造成这种现象的原因一方面是此测点最高位置与次高位置处热电偶测量值较为接近,为系统误差,另一方面是由于靠近顶棚部位的烟气通过对流换热损失了部分能量,这与Zhong等[15]和Oka等[16]在狭长空间内的火灾实验研究结论一致。顶棚下方烟气温度竖直分布基本上呈对数形式变化,但部分图像存在拐点,这说明该烟气蔓延区域内烟气湍动剧烈,测点位置处的流场相对紊乱。
|
| 图 6 Test 5工况顶棚高度下方烟气温度竖直分布 |
建筑的危险高度可用于评判防排烟效果和火灾危险程度。针对不同的建筑高度,《建筑防烟排烟系统技术标准》[17]规定防排烟设计计算中危险高度应按照式(2)进行计算:
| $ H_{\mathrm{q}}=1.6+0.1 {H}. $ | (2) |
其中:Hq为危险高度,单位m;H为排烟空间的建筑净高度,单位m。
利用式(2)计算得到本实验隧道的危险高度为2.15 m。将不同实验工况下各测点位置处的烟气温度按式(1)中的计算方法进行处理,可得不同工况条件下烟气层高度纵向分布,如图 7所示,其中x=0为火源位置处。由图 7分析可得,除Test 7和Test 8火源上坡侧外, 其余各组火源附近各测点位置处的烟气层高度差异不大,且随距离火源截面距离的增加变化不大,其波动范围为4.25~5.25 m,均远大于建筑危险高度,故此实验工况下烟气基本蓄积在隧道的顶部,沉降作用较小,因而此时的火灾危险性较小,而Test 7和Test 8火源上坡侧的烟气层高度随距火源距离的增加呈下降趋势,且x=-30 m处,烟气层高度低于或接近危险高度,相比其他实验工况,火灾危险性较大,产生这种现象的原因是机械通风条件下的风速较大,当有车辆阻塞时,风流会受到阻塞物的阻挡,无法快速向下游方向蔓延,导致烟气蓄积在阻塞区域内,随着火源燃烧时间的增加,蓄积的烟气也越来越多,因此造成此处烟气层高度的下降。
|
| 图 7 烟气层高度纵向分布 |
2.4 烟气蔓延时间
在实验过程中,通过记录各测点位置处烟气温度出现温升的时刻可对隧道内火灾烟气的蔓延速度进行分析。图 8分别为火源下坡侧和上坡侧火灾区域内各工况烟气蔓延时间ts随火源截面距离Δx的变化关系,其中Test 4和Test 8在火源下坡侧未观测到明显的温升现象。
|
| 图 8 烟气蔓延时间与火源截面距离关系 |
由图 8分析可知,烟气蔓延时间随距火源截面纵向距离的增加均呈正比例升高趋势,这与史聪灵等[18]、钟茂华等[19]和龙增等[20]的全尺寸火灾实验结果一致,其线性拟合结果和拟合参数如图 8和表 3所示。
| 工况 | 区域 | 拟合公式 | 蔓延速度/(m·s-1) | 拟合度R2 |
| Test 2 | 下坡侧 | ts=1.51Δ x | 0.66 | 0.962 |
| 上坡侧 | ts=0.81Δ x | 1.23 | 0.992 | |
| Test 4 | 下坡侧 | — | — | — |
| 上坡侧 | ts=0.54Δ x | 1.85 | 0.956 | |
| Test 5 | 下坡侧 | ts=1.51Δ x | 0.66 | 0.962 |
| 上坡侧 | ts=0.75Δ x | 1.33 | 0.998 | |
| Test 8 | 下坡侧 | — | — | — |
| 上坡侧 | ts=0.49Δ x | 2.04 | 0.958 |
在自然通风条件下,Test 2和Test 5在火源下坡侧的烟气蔓延速度均为0.66 m/s,在火源上坡侧的烟气蔓延速度分别为1.23和1.33 m/s;在机械通风条件下,火源下坡侧未观测到明显的温升,说明机械通风对火源下坡侧的烟气能起到良好的控制作用,Test 4和Test 8在火源上坡侧的烟气蔓延速度分别为1.85和2.04 m/s;将Test 2和Test 4、Test 5和Test 8烟气蔓延速度进行比较,可以发现火源上坡侧烟气蔓延速度随气流速度的增加而增大;将Test 2和Test 5火源下坡侧烟气蔓延速度和火源上坡侧进行比较,可以发现火源上坡侧烟气蔓延速度明显大于下坡侧烟气蔓延速度,产生这种现象的原因一方面是自然风流的方向为由B到A,自然风速对上坡侧烟气蔓延起到增强作用,对下坡侧烟气蔓延起到抑制作用,另一方面是烟囱效应也使得烟气有向上坡侧蔓延的倾向;将火源上坡侧有无车辆阻塞条件下的烟气蔓延速度进行比较,可知阻塞条件下的烟气蔓延速度明显大于无阻塞条件下的烟气蔓延速度,产生这种现象的原因是由于车辆阻塞效应使得阻塞区域的隧道截面面积急剧减小,从而导致阻塞区域局部气流速度的增加。
3 结论本文开展了车辆阻塞下的全尺寸火灾实验,研究了气流速度、烟气温度竖直分布、烟气层分布和烟气蔓延时间等问题。主要结论如下:
1) 含坡度隧道发生火灾时,火源功率较大的工况所产生的气流速度较大,车辆阻塞和通风方式均会对气流速度产生较大影响,在机械通风条件下,火源上坡侧的气流流动会受到阻塞物的阻挡而产生回流现象,对原有方向的气流产生抑制,使得气流速度降低。
2) 自然通风条件下,x=-30 m处,车辆阻塞对烟气分层作用影响较小,4.4 m以上区域为热烟气层,3.9~4.4 m区域为烟气层与空气层的过渡区域,x=-40 m处,无车辆阻塞时,4.9 m以上区域为热烟气层,3.9~4.9 m区域为过渡区域,有车辆阻塞时,4.4 m以上区域为热烟气层,3.4~4.4 m区域为过渡区域;机械通风可以有效地将烟气排出,测量位置处烟气最大温升不超过5.5 ℃,且此时车辆阻塞引起的烟气蓄积作用更为显著,也使得阻塞区域的烟气与下部低温空气的对流换热强度不够充分,从而导致烟气分层作用较小。
3) 自然通风条件下,火源区域附近各测点位置处的烟气层高度差异较小,约为5 m;机械通风条件下,火源上游的烟气层高度相比自然通风略有降低,而火源下游区域无法用百分比法得到烟气层高度;本实验隧道的危险高度为2.15 m,各实验工况条件下烟气层高度基本远大于危险高度,火灾危险性较小,而当存在车辆阻塞且通风方式为机械通风时,阻塞区域的烟气层高度低于或接近危险高度,相比其他实验工况, 火灾危险性较大。
4) 在0.75 MW火灾情景中,机械通风对火源下坡侧的烟气能起到良好的控制作用,未观测到明显的温升现象;自然通风条件下,火源上坡侧烟气蔓延速度明显大于下坡侧烟气蔓延速度;阻塞条件下,车辆阻塞效应使得阻塞区域局部气流速度增加,从而烟气蔓延速度明显大于无阻塞条件下。故当含坡度隧道发生火灾时,应开启射流风机,促使烟气向火源上坡侧蔓延,且人员向火源下坡侧进行疏散。
| [1] |
CHEN C K, ZHU C X, LIU X Y, et al. The effect of fuel area size on behavior of fires in a reduced-scale single-track railway tunnel[J]. Tunnelling and Underground Space Technology, 2016, 52: 127-137. DOI:10.1016/j.tust.2015.12.002 |
| [2] |
ZHANG S G, CHENG X D, YAO Y Z, et al. An experimental investigation on blockage effect of metro train on the smoke back-layering in subway tunnel fires[J]. Applied Thermal Engineering, 2016, 99: 214-223. DOI:10.1016/j.applthermaleng.2015.12.085 |
| [3] |
MORANDINI F, SILVANI X, HONORÉ D, et al. Slope effects on the fluid dynamics of a fire spreading across a fuel bed:PIV measurements and OH* chemiluminescence imaging[J]. Experiments in Fluids, 2014, 55(8): 1788. DOI:10.1007/s00348-014-1788-3 |
| [4] |
HU L H, CHEN L F, WU L, et al. An experimental investigation and correlation on buoyant gas temperature below ceiling in a slopping tunnel fire[J]. Applied Thermal Engineering, 2013, 51(1-2): 246-254. DOI:10.1016/j.applthermaleng.2012.07.043 |
| [5] |
LIU C, ZHONG M H, SHI C L, et al. Temperature profile of fire-induced smoke in node area of a full-scale mine shaft tunnel under natural ventilation[J]. Applied Thermal Engineering, 2017, 110: 382-389. DOI:10.1016/j.applthermaleng.2016.08.147 |
| [6] |
LIU C, ZHONG M H, TIAN X L, et al. Study on emergency ventilation for train fire environment in metro interchange tunnel[J]. Building and Environment, 2019, 147: 267-283. DOI:10.1016/j.buildenv.2018.10.022 |
| [7] |
LIU C, ZHONG M H, TIAN X L, et al. Experimental and numerical study on fire-induced smoke temperature in connected area of metro tunnel under natural ventilation[J]. International Journal of Thermal Sciences, 2019, 138: 84-97. DOI:10.1016/j.ijthermalsci.2018.12.037 |
| [8] |
LIU C, ZHONG M H, SONG S Y, et al. Experimental and numerical study on critical ventilation velocity for confining fire smoke in metro connected tunnel[J]. Tunnelling and Underground Space Technology, 2020, 97: 84-97. |
| [9] |
ZHONG M H, SHI C L, HE L, et al. Smoke development in full-scale sloped long and large curved tunnel fires under natural ventilation[J]. Applied Thermal Engineering, 2016, 108: 857-865. DOI:10.1016/j.applthermaleng.2016.07.141 |
| [10] |
李炎锋, 王红艺, 赵明星, 等. 有坡度隧道火灾温度场分布规律研究[J]. 消防科学与技术, 2016, 35(12): 1677-1679. LI Y F, WANG H Y, ZHAO M X, et al. Fire temperature distribution of sloping tunnels[J]. Fire Science and Technology, 2016, 35(12): 1677-1679. (in Chinese) |
| [11] |
OKA Y, ATKINSON G T. Control of smoke flow in tunnel fires[J]. Fire Safety Journal, 1995, 25(4): 305-322. DOI:10.1016/0379-7112(96)00007-0 |
| [12] |
卢欣伶.阻塞比对地铁区间隧道火灾烟气流动特性的影响[D].重庆: 重庆大学, 2016. LU X L. Effect of blockage ratio on subway tunnel fire smoke flow characteristics[D]. Chongqing: Chongqing University, 2016. (in Chinese) http://cdmd.cnki.com.cn/Article/CDMD-10611-1016908497.htm |
| [13] |
吴贤国, 方伟立, 姜洲, 等. 基于公路隧道内车辆对火灾影响数值研究[J]. 铁道标准设计, 2016, 60(6): 89-94, 99. WU X G, FANG W L, JIANG Z, et al. Numerical simulation of interaction of fire and vehicles in road tunnel[J]. Railway Standard Design, 2016, 60(6): 89-94, 99. (in Chinese) |
| [14] |
NFPA. Guide for smoke management systems in malls, atria, and large areas: NFPA 92B-2009[S]. Quincy, MA, USA: National Fire Protection Association, 2009.
|
| [15] |
ZHONG M H, SHI C L, HE L, et al. Full-scale experimental research on fire fume refluence of sloped long and large curved tunnel[J]. Science China Technological Sciences, 2011, 54(S1): 89-94. DOI:10.1007/s11431-011-4618-3 |
| [16] |
OKA Y, IMAZEKI O. Temperature and velocity distributions of a ceiling jet along an inclined ceiling-Part 1:Approximation with exponential function[J]. Fire Safety Journal, 2014, 65: 41-52. DOI:10.1016/j.firesaf.2013.07.009 |
| [17] |
中华人民共和国住房和城乡建设部.建筑防烟排烟系统技术标准: GB 51251-2017[S].北京: 中国计划出版社, 2018. Ministry of Housing and Urban-Rural Development of the People's Republic of China. Technical standard for smoke management systems in buildings: GB 51251-2017[S]. Beijing: China Planning Press, 2018. (in Chinese) |
| [18] |
史聪灵, 钟茂华, 汪良旗, 等. 地铁车站及隧道全尺寸火灾实验研究(2)——区间隧道火灾[J]. 中国安全生产科学技术, 2012, 8(8): 28-34. SHI C L, ZHONG M H, WANG L Q, et al. Investigation of full-scale burning experiments in metro station and tunnel (2):Interval tunnel fires[J]. Journal of Safety Science and Technology, 2012, 8(8): 28-34. (in Chinese) |
| [19] |
钟茂华, 肖衍, 胡家鹏, 等. 地铁同站台高架换乘车站火灾全尺寸实验研究(3)-站台火灾[J]. 中国安全生产科学技术, 2018, 14(6): 14-20. ZHONG M H, XIAO Y, HU J P, et al. Full-scale experimental study on fire in one-platform-interchange elevated metro station(3):Platform fire[J]. Journal of Safety Science and Technology, 2018, 14(6): 14-20. (in Chinese) |
| [20] |
龙增, 刘畅, 杨宇轩, 等. 含阶梯式站厅地铁岛式车站火灾全尺寸实验研究[J]. 清华大学学报(自然科学版), 2020, 60(9): 787-794. LONG Z, LIU C, YANG Y X, et al. Full-scale experimental study of a fire in an island subway station with a stepped hall[J]. Journal of Tsinghua University (Science and Technology), 2020, 60(9): 787-794. (in Chinese) |



