作者简介: 刘伟强(1959—), 男(汉), 湖南, 教授。E-mail:weiqliu@hotmail.com
为了给基于中国人骨骼特征的人工颈椎间盘假体关键尺寸设计及人工颈椎间盘置换术假体型号选择提供理论参考,该文制定了一套严格的颈椎间盘尺寸测量方法,利用正常中国人颈椎磁共振成像(MRI)数据,测量1 600例中国人颈椎C23、 C34、 C45、 C56、 C67全5个颈椎间盘的6项尺寸参数(前高、中高、后高、椎间角、矢径、横径), 统计分析中国人颈椎间盘尺寸特点。结果显示: 正常中国人颈椎间盘高度随年龄的增加出现先增加后降低的趋势,在年龄组39~48岁存在极大值。颈椎间盘节段自上而下,6项尺寸参数值均相应增大,且除椎间角呈指数规律变化外,其他各参数均具有明显的线性相关性。同时,女性颈椎间盘各项尺寸约为男性相应尺寸90%。
A protocol is developed for precise measurements of the geometric parameters of cervical discs as a basis for the design of artificial cervical discs for Chinese people and the selection of total disc replacement models. The six key parameters (i.e., the anterior height, the middle height, the posterior height, the intervertebral angle, the sagittal diameter and the transverse diameter) of all the five cervical intervertebral discs, C23, C34, C45, C56 and C67, are measured from a magnetic resonance imaging (MRI) database of normal Chinese discs. Chinese cervical disc geometric characteristics are then analyzed statistically. The height of a normal Chinese cervical disc tends to increase first and then decrease with age, with the maximum at 39-48 years old. All six parameters increase about linearly from the upper to the lower discs except for the intervertebral angle. The parameters for females are about 90% of those for males.
已有研究显示,在中国约有7%~10%的人患有颈椎病[1]。人工颈椎间盘置换术(total disc replacement, TDR)作为新兴治疗手段,因能有效恢复病变椎体椎间隙高度及活动度并正确传递上下椎体间载荷及应力而受到临床重视[2,3,4]。其使用的植入器械——人工颈椎间盘,很大程度上决定了手术效果。目前成功应用于临床的人工颈椎间盘全为欧美国家产品,其设计基于欧美人种颈椎解剖学特征。由于中国人与欧美人种的颈椎尺寸存在天然差异[5],导致现有进口产品并不完全适合中国人颈椎。然而,目前对于中国人人工颈椎间盘尺寸特点的系统研究极少,因此制定严格测量方法,针对中国人颈椎解剖学数据进行大量测量,统计分析中国人颈椎解剖学特点,对于设计更适合中国人的新型人工椎间盘具有非常重要的意义。
现有研究中,针对颈椎相关尺寸测量主要以下方法: 尸体标本测量[6,7], X光片[8,9]或磁共振成像(MRI)测量[10,11]。由于尸体标本难以大量获取,且水分丢失会影响数据准确性,而X光片不能实现颈椎间盘矢径和横径的测量,因此本研究采用MRI数据,共对1 600例颈椎MRI资料进行测量分析,旨在总结中国人颈椎间盘解剖学数据,为基于中国人骨骼特征的人工颈椎间盘假体设计提供理论参考,并为TDR术中假体型号选择给予指导。
MRI检查采用Philips Intera 1.5T超导磁共振仪,采用快速自旋回波(TSE)序列, T1WI(TR: 400/TE: 10 ms)、 T2WI(TR: 3 500/TE: 120 ms)扫描,层厚4 mm, 层间隔0 mm。排除脊柱畸形、脊柱明显退变、脊柱外伤及图像模糊等MRI数据,随机选取正常中国人颈椎数据,共抽取1 600例数据。其中:男性737例,女性863例,年龄16~68岁,平均年龄(37.0±9.8)岁。
在颈椎相关尺寸测量研究中, Frobin[12,13]提出了一套准确度较高的测量方法。在本研究中,椎间盘尺寸定义借鉴了Frobin所提出的方法,并结合设计人工颈椎间盘的需要,对上述方法进行了修改与完善,以使测量结果更具可靠性与准确性。测量参数为: 前高(anterior height, AH)、 中高(middle height, MH)、 后高(posterior height, PH)、 椎间角(intervertebral angle, IVA)、 矢径(sagittal diameter, S)、 横径(transverse diameter, T), 具体测量方法如下:
在扫过椎体正中位置的矢状面上,定义上椎体下边缘前沿最低点为 A, 中间最高点为 C, 后沿最低点为 E, 下椎体上边缘前沿最高点为 B, 中间最低点为 D, 后沿最高点为 F(如图1所示)。连接 AE、 BF, 并作其角平分线 MN, 则 AE与 BF夹角即为椎间角。过 A作 AG⊥ MN, 过 B作 BH⊥ MN, 则 AG与 BH的和即为前高。由于 AG与 AO、 BH与 BO间夹角很小,认为 AG≈ AO, BH≈ BO, 则可用 AB代替前高。同理,取 CD为中高, EF为后高。
在扫过椎间盘正中央的横断面上,在椎间盘正中间,连接椎间盘前沿与后沿的直线 a即为矢径,连接椎间盘最左沿与最右沿的直线 b即为横径(如图2所示)。
本研究根据样本年龄分布,取10岁左右为一个年龄段,将样本分为5组,即16 ~28岁、 29 ~38 岁、 39 ~48岁、 49 ~58岁、 59 ~68岁,如表1所示。
| 表1 样本年龄分布统计 |
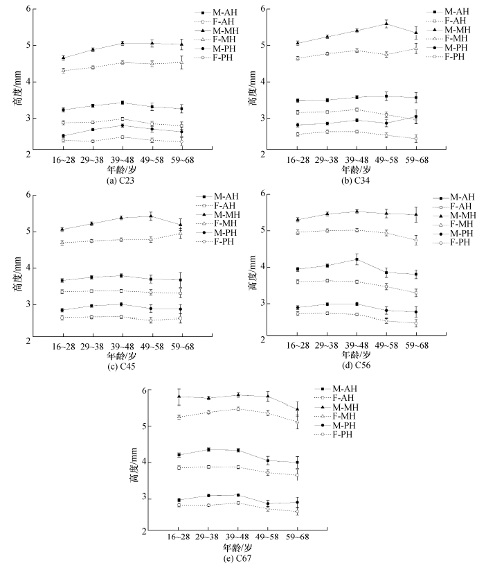
图3表示各节段颈椎间盘高度(AH、 MH、 PH)随年龄变化的趋势。各节段颈椎间盘高度均总体存在先上升再下降的趋势,且绝大部分曲线在39~48岁年龄组存在一个最高点, 29~38岁年龄组与49~58岁年龄组相应尺寸相近。在 16~28岁、 29~38岁、 39~48岁3年龄组,除C67的16~28岁年龄组男性中高外,颈椎各节段尺寸均出现随年龄增加而线性增加的趋势。在C67节段, 16~28岁年龄组的男性中高存在较大误差,因此该值还需更多测量数据验证。59~68岁年龄组由于样本量较少(仅21例), 标准误差偏大,并不能完全反映颈椎间盘尺寸真实变化规律。在C34节段,男性后高在59~68岁年龄组突增,明显高于该节段其他年龄段内相应尺寸,这可能是由于59~68岁年龄组样本量较少,难以真切反映实际尺寸分布导致。
由图1和2知,颈椎问盘前高与后高近似平行,且垂直于横断面,设 AB与 EF分别交 MN于 O、 P两点,则可得如下关系式: tan
| 表4 IVA计算值与测量值的比值% |
结果表明, IVA计偏小,整体占IVA测的70%~85%左右,这可能由以下原因造成:
1) 测量中用 AB代替实际前高 AHS, EF代替实际后高PHS。由 AG//BH可令∠ OAG=∠ OBH=α, 而 α极小,可认为sin α≈1, 那么
同理, EF≈PHS。
2) 由于颈椎存在一定的生理弯曲, MRI扫过截面并非完全与理论意义上的横断面重合,而是存在一定倾斜角度,这势必造成由MRI截面所测矢径 S测 >OP。则有
由于颈椎生理弯曲度并不大, OP仅较 S测稍小,则IVA计仅略小于IVA测, 这与数据测量结果相近。
由以上分析可知,数据测量结果与理论分析基本吻合,本研究所采用方法具有较高准确度,测量统计结果也具有较高参考价值。今后可继续采用此测量方法,不断增加样本量,以丰富中国人颈椎间盘尺寸数据库。同时,关于测量方法的改进还需不断进行,以提高测量准确度。
由年龄分析可知,颈椎间盘高度随着年龄增加出现先增高再降低的趋势,在39~48岁年龄组具有最大值。这是由于在年龄较小阶段,颈椎骨骼还未完全定型,尚能生长,因此随着年龄增大,颈椎间盘高度也将由于成长而增大,在超过一定年龄后,颈椎由于长期受压,导致椎间盘内部分软组织退化,水分流失,而造成随年龄继续增长,椎间盘高度却明显降低的趋势。在高年龄组59~68岁,出现个别极大值点,由于高年龄组样本量极少,其测量均值难以反映统计学规律,在今后相关研究中,还需增加高年龄段样本数据,以保证测量数据更接近真实。
节段分析结果显示,颈椎间盘节段由上至下,6项尺寸参数相应增加,这可能与下位椎体需承担更多的压力有关。各项尺寸参数中,除IVA外,其他均与节段间存在较高的线性相关性,随着节段增加,尺寸值线性增加, AH、 MH、 T增加较快, PH、 S增幅较小,而IVA值随节段增加而呈现指数规律上升。考虑到颈椎本身存在一定的生理曲度,颈椎间盘IVA值可能是受此影响,而不呈线性规律变化。
从性别来看,女性各项椎间盘尺寸参数约为男性相应参数90%左右,这是由男性与女性间的生理差异所致,这也提示在进行人工颈椎间盘假体设计时不能完全忽略性别差异。
从以上数据分析可知,颈椎间盘尺寸参数与年龄、节段、性别均密切相关。在进行人工颈椎间盘设计,尤其是针对中国人的颈椎间盘假体设计时,应当参照本研究的测量结果,合理制定假体尺寸参数,设定不同假体型号,以满足不同人群需求。此外,本研究对于人工颈椎间盘置换术中假体型号的选择也具有一定指导意义。
本文制定了一套严格的颈椎间盘尺寸参数测量方法,并通过对正常中国人颈椎MRI数据测量,得出中国人颈椎间盘6项尺寸参数,包括前高、中高、后高、椎间角、矢径、横径,以探求颈椎间盘尺寸参数与年龄、节段、性别之间的关系。结果显示: 颈椎间盘高度随年龄的增加出现先增加后降低的趋势,多在年龄组39~48岁出现最大值。颈椎间盘节段由上至下,各项尺寸参数相应增加,除IVA外均有明显的线性相关性。此外,女性颈椎间盘各项尺寸约为男性相应尺寸90%。在基于中国人骨骼的人工颈椎间盘设计时,可参照此结果,设计不同型号假体以适应不同人群,同时在TDR手术假体型号选择中,本文也具有一定指导意义。
| [1] |
|
| [2] |
|
| [3] |
|
| [4] |
|
| [5] |
|
| [6] |
|
| [7] |
|
| [8] |
|
| [9] |
|
| [10] |
|
| [11] |
|
| [12] |
|
| [13] |
|

