2. 中国人民解放军西部战区总医院, 成都 610083
2. The General Hospital of Western Theater Command of PLA, Chengdu 610083, China
全髋关节置换术(total hip arthroplasty, THA)利用人工假体代替患者病变的髋关节,可以使患者髋关节的基本功能得到恢复,被誉为21世纪最伟大的外科手术之一[1]。THA后衬垫会出现边缘负载这种常见的现象,即人工球头和髋臼衬垫之间的接触应力斑从髋臼衬垫表面移动到衬垫的边缘位置[2]。衬垫出现边缘负载的原因与假体几何设计、假体安装位置及患者的运动步态等相关[3]。边缘负载会降低衬垫的力学性能,尤其是摩擦学性能,导致衬垫边缘磨损甚至失效[4-5],这种现象在金属-聚乙烯的组合中尤为常见,而且这种现象会进一步加剧关节接触面的破坏[3]。同时,磨损导致衬垫产生磨屑并会引起关节周围组织出现无菌松动、骨溶解和假瘤等一系列不良反应[6-8]。
为解决上述临床问题,需要提高假体材料性能,从而在一定程度上提高假体寿命[9-10]。此外,改变假体几何形状的设计和安装位置也是较常见的方法。在几何设计中最常见的是衬垫的形状设计,形状最特殊的就是高边衬垫,其对于阻止THA后球头脱位以及提高THA后假体的稳定性可起到一定的作用[11-13]。目前针对THA后衬垫边缘负载的研究大部分集中于平边衬垫[3, 14-16],对于高边衬垫的边缘负载却鲜有研究。高边衬垫相对于平边衬垫多了一个假体安装参数,即高边的方位。从理论上讲,高边应尽量放置在球头脱出的方向以增加球头的跳跃距离,但是临床上尚未对这个方位形成统一的结论,高边在不同的方位对衬垫的边缘负载影响到底有多大仍不完全清楚。因此,研究高边衬垫在不同步态下的接触力学状况及边缘负载,对于提高THA后假体的稳定性、力学性能、摩擦学性能以及指导临床医生安装假体具有重要意义。
为解决上述问题,本文使用一种临床中常见的超高分子量聚乙烯(ultra-high molecular weight polyethylene, UHMWPE)高边衬垫,利用有限元方法研究在4种步态和相对极端的臼杯安装位置下高边衬垫内表面的接触应力、高边衬垫的边缘负载,以及高边衬垫的等效塑性应变。
1 研究方法和材料 1.1 坐标系和假体参数的定义利用人体左侧髋关节作为研究对象并在站姿状态下建立坐标系,如图 1所示。以髋关节的旋转中心作为坐标系原点,假设在初始位置时,髋关节衬垫的旋转中心和球头旋转中心都与坐标原点重合,X、Y和Z轴的正方向分别为人体的正前方、正左方和正上方。臼杯和衬垫的位置采用影像学定义,Murray[17]从影像学和手术学定义的角度相互转换关系进行了阐释。图 2中,高边衬垫的位置由臼杯影像学外展角α、臼杯影像学前倾角β和高边绕衬垫绕开口法线的旋转角λ确定,当α=β=λ=0时,高边位置偏向Y轴正方向。颈干的位置由颈干外展角a和颈干前倾角b确定[17]。
|
| 图 1 左髋关节坐标系 |
|
| 图 2 假体位置参数示意图 |
1.2 假体和假体安装参数范围
采用高边衬垫及与之相匹配的臼杯、截面非圆的股骨颈、股骨球头作为本文研究对象。在文[18]的研究中,图 2中的高边衬垫与其他形状的高边衬垫相比,具有最大的无碰撞活动范围。本文采用的骨骼(见图 1)来自已公开使用的成年男性骨骼模型[19],通过几何测量,该骨盆左侧髋臼窝在冠状面上的外展角为46°~51°,在水平面上的前倾角为9°~12°,股骨颈的前倾角为20°~24°。
本文采用联合前倾角的概念,要求β和b之和保持在25°~50°[20]。假体的安装角度如表 1所示。α设置为50°和55°,这是因为Hua等[3]研究发现,α小鱼50°时没有出现边缘负载,而α>55°在临床上很少见,术后球头非常不稳定。
1.3 有限元模型的建立
在Abaqus(V2018,达索SIMULIA公司)中建立髋关节假体有限元模型,如图 3所示。有限元模型由臼杯、衬垫、球头和颈干组成,球头直径为36 mm,衬垫与球头在半径方向上的间隙为0.15 mm,臼杯的厚度约3 mm。本文不关注颈干和球头的接触界面,而且球头和颈干的弹性模量远大于衬垫,因此将球头和颈干都当作刚体进行绑定处理。衬垫相对于臼杯的接触界面很难发生位移,因此将臼杯和衬垫的接触面进行绑定处理。臼杯与骨盆的相对位置不会发生变化,因此限制臼杯的所有自由度。在添加载荷之前,为使球头和衬垫接触,在球头球心添加了一个沿Y轴负方向0.16 mm的位移。
|
| 图 3 髋关节假体有限元模型 |
衬垫的材料为UHMWPE,臼杯的材料为钛合金(Ti6Al4V),球头和颈干的材料为CoCr合金,假体材料属性及参数如表 2所示。其中,UHMWPE是弹塑性材料[21-22],其塑性阶段的真实应力-应变曲线如图 4所示,衬垫和球头之间的摩擦系数为0.08[23]。
1.4 载荷条件
Hua等[3]研究发现人体从站姿到坐姿、从坐姿到站姿和站姿状态下衬垫边缘很难产生边缘负载,因此本模型没有采用这3种步态。有限元模型的步态载荷来自文[24-25]的研究结果,分别是正常行走、上楼梯、下楼梯和深蹲,如图 5所示。以左髋为研究对象,正常行走、上楼梯和下楼梯的起始位置分别为左腿脚后跟着地、左腿脚后跟着地和左腿脚尖处于最高位置。载荷的加载位置为球头的球心处(见图 3),人体体重设定为75 kg。3个方向的分力沿3个坐标轴方向加载在球心上,屈曲运动和外展运动分别绕Y轴和X轴进行。
|
| 图 5 有限元模型的步态载荷 |
1.5 网格和网格敏感性分析
本模型中,臼杯、球头和颈干的弹性模量远大于衬垫,因此臼杯、球头和颈干的单元尺寸略大于衬垫单元尺寸。衬垫、臼杯、球头采用六面体网格(C3D8R),颈干采用四面体网格(C3D10M)。为保证计算结果合理并提高计算速度,在网格敏感性分析中,衬垫的网格尺寸分别设置为2.0、1.0和0.5 mm,选取表面接触应力作为有限元网格模型的收敛标准。衬垫位于α=55°,β=25°,λ=225°处,采用深蹲步态的载荷条件,敏感性分析结果如表 3所示。可以发现,整个模型在网格尺寸减半的情况下,衬垫表面接触应力变化小于5%,因此本文网格敏感性结果收敛。本文所有有限元模型中,衬垫网格尺寸均为1.0 mm,臼杯、球头和颈干的网格尺寸均为1.2 mm。
| 衬垫网格尺寸/mm | 衬垫网格数量 | 衬垫最大表面接触应力/MPa | 误差/% |
| 2.0 | 13 204 | 11.85 | — |
| 1.0 | 21 323 | 12.44 | 4.9 |
| 0.5 | 170 160 | 12.74 | 2.4 |
1.6 边缘负载的判定
本研究中,衬垫是否有边缘负载与衬垫表面应力斑的位置有直接关系。衬垫介质具有连续性,当表面接触应力小于0.07 MPa时,该表面没有接触应力,即该表面没有应力斑。当应力斑出现在衬垫的边缘,即衬垫边缘的倒角面上时,判定出现边缘负载;当应力斑靠近衬垫边缘,但没有出现在衬垫边缘的倒角面上时,则判定没有出现边缘负载。
2 实验结果 2.1 高边衬垫内表面的接触应力高边衬垫在深蹲步态和某个安装位置下的表面接触应力斑的位置和大小变化情况,如图 6所示,受人体重力方向影响,无论假体安装在什么位置,衬垫内表面的应力接触斑的位置都主要集中在偏人体内上侧区域。图 6中,在步态周期为48%时达到整个运动周期的最大表面接触应力12.07 MPa,Hua等[3]在相同臼杯位置下利用有限元模型计算得出衬垫最大表面接触应力约为10.00 MPa。本文统计了高边衬垫在4种步态和所有安装位置下的最大表面接触应力情况,如图 7所示。针对某个步态,横坐标为β,纵坐标为α,上半部分为高边置于人体后上方对应的安装位置,下半部分为高边置于人体后下方对应的安装位置。
|
| 图 6 高边衬垫在整个深蹲步态下的表面接触应力变化情况(衬垫安装位置为α=55°,β=25°,λ=225°) |
|
| 图 7 高边衬垫在4种步态和不同安装位置下的最大表面接触应力 |
下楼梯步态的最大表面接触应力明显高于另外3种步态(见图 7),正常行走的最大接触应力是4种步态中最小的,为11.27 MPa。臼杯的外展角和前倾角与衬垫的表面接触应力无明显的变化关系。将高边衬垫的高边置于人体后上方时的表面接触应力明显小于将高边衬垫的高边置于人体后下方时的表面接触应力。
2.2 高边衬垫的边缘负载在深蹲步态周期为20%~72%期间发生了边缘负载,在步态周期为42%时发生边缘负载处的表面接触应力达到最大值4.45 MPa(见图 6)。从发生边缘负载处的最大表面接触应力来看,深蹲步态和下楼梯步态明显大于正常行走和上楼梯步态,4种步态边缘负载的位置都出现在高边衬垫的非高边边缘处,即人体前上方,如图 8所示。本文进一步统计了发生边缘负载处的最大表面接触应力值随时间变化的关系(见图 9)和不同安装位置下边缘负载的持续时间(见图 10)。
|
| 图 8 高边衬垫在4种步态下的边缘负载应力最大时的应力斑位置(衬垫的安装位置都为α=55°,β=25°,λ=225°) |
|
| 图 9 高边衬垫在4种步态和不同安装位置下衬垫发生边缘负载处的最大表面接触应力值随步态周期的变化情况 |
|
| 图 10 高边衬垫和平边衬垫在4种步态下(考虑所有安装位置)出现边缘负载的时间占比 |
在相同安装位置下,下楼梯和深蹲步态发生边缘负载处的最大表面接触应力值和边缘负载的持续时间明显大于正常行走和上楼梯步态(见图 9和10),下楼梯和深蹲步态的发生边缘负载处的最大表面接触应力值分别能达到4.85和4.45 MPa。深蹲步态发生边缘负载处的表面接触应力值不但高,而且持续时间普遍比另外3种步态长。图 10中,边缘负载的持续时间随α和β增加而增加,正常行走、上楼梯、下楼梯和深蹲步态的边缘负载时间占比分别从0、0、2%、22%增加到14%、50%、34%、54%,对应的衬垫位置从α=55°,β=5°,λ=225°变为α=55°,β=25°,λ=225°。与同内径的平边衬垫相比,将高边衬垫的高边置于人体后上方可避免出现边缘负载。
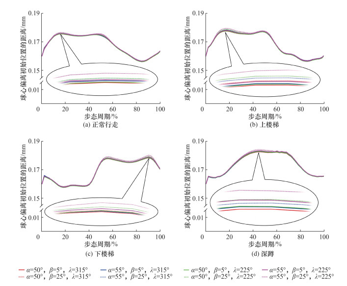
2.3 高边衬垫的等效塑性应变图 11展现了高边衬垫的等效塑性应变区域,该区域主要集中在人体内上侧,而且深蹲步态的等效塑性应变区域和最大值明显大于另外3种步态。在图 12和图 13中,4种步态无论是高边衬垫等效塑性应变的最大值,还是等效塑性应变的有限元网格体积,从大到小排序都依次为深蹲、下楼梯、上楼梯和正常行走。深蹲步态的等效塑性应变的最大值为6.55×10-4,等效塑性应变的有限元网格体积最大值为150 mm3。衬垫的最大等效塑性应变值和等效塑性应变的有限元网格体积随臼杯外展角和前倾角增加而增加,深蹲步态的等效塑性应变从5.63×10-4变化到最大6.55×10-4,对应的衬垫位置从α=55°,β=5°,λ=225°变为α=55°,β=25°,λ=225°,高边置于人体后上方的等效塑性应变和等效塑性应变的有限元网格体积明显小于后下方。虽然衬垫边缘出现了边缘负载,但是没有发现塑性变形。另外,本文还统计了球头球心在不同步态和安装位置下相对于坐标原点的距离变化,该距离与步态载荷的合力存在明显的正相关关系,如图 14所示。球心离原点距离越大,衬垫形变就越大。在去除初始分析步中0.16 mm的位移后,4种步态下衬垫的形变量从大到小排序依次为深蹲、下楼梯、上楼梯和正常行走。
|
| 图 11 高边衬垫在4种步态下的等效塑性应变(衬垫安装位置都为α=55°,β=25°,λ=225°) |
|
| 图 12 高边衬垫在4种步态和不同安装位置下的累积最大等效塑性应变 |
|
| 图 13 衬垫在不同步态和安装位置下等效塑性应变的体积随步态周期的变化关系 |
|
| 图 14 球头球心在不同步态和不同安装位置下到坐标原点的距离 |
3 分析与讨论 3.1 高边衬垫的边缘负载和应变
本研究表明:高边衬垫的边缘负载大小和持续时间以及衬垫的等效塑性应变都与步态种类和衬垫的安装位置有明显的相关性。本文判定边缘负载出现的依据是表面接触应力斑出现在衬垫边缘的倒角面上,应力斑接近衬垫倒角边缘却不在倒角面上的情况则不被判定为边缘负载,然而如果这种情况多次出现就很容易导致衬垫边缘疲劳磨损。另外,本文采用的球头和衬垫在半径方向上的间隙为0.15 mm,该间隙偏大,对于更小的间隙来说,在相同接触应力下接触面积将增加,这会导致边缘负载更容易出现,边缘负载出现的时间提前且持续时间增加。由图 10可知,将高边置于人体正后上方,高边衬垫的边缘负载持续时间和平边一样,这是由于高边衬垫的边缘负载出现的位置恰好是非高边侧(衬垫开口边缘位置最低处)。如果高边衬垫的高边不在正后上方,在偏正上方侧或者在偏正后方侧,那么高边衬垫的边缘负载的持续时间还会继续降低,可见高边衬垫在减少衬垫出现边缘负载具有明显的先天优势。本文计算结果与Hua等[3]的计算结果有差异是股骨颈的安装位置和衬垫的形状不同所致,这在一定程度上也能说明股骨颈的安装位置和衬垫的形状设计会影响衬垫的应力和边缘负载。对此,文[25-26]也有所提及。
对于衬垫而言,THA后衬垫塑性变形的出现是衬垫失效的起点,塑性变形长期积累会导致衬垫失效[27]。本文发现衬垫虽然出现了塑性应变,但是其数量级为10-4,对于UHMWPE来说可以忽略不计,图 14中,球心与原点的距离越远,衬垫的形变越大,球头脱位的风险越高,但是本文在所有有限元结果文件中没有发现股骨颈和衬垫碰撞、脱位的迹象。由图 14可知,无论哪种步态,在排除初始球心位移0.16 mm之后,衬垫内表面法向的形变数量级都在10-3~10-2 mm,球心距原点距离最大时应力斑出现或靠近衬垫的边缘,这对于衬垫的边缘来说是最危险的时刻,球头往往更容易从边缘脱位。虽然这些形变包含大量弹性形变、极小量塑性形变和网格间隙误差,但对于UHMWPE来说长期加载和形变也容易导致衬垫蠕变,对于持续时间相对较长的深蹲动作而言该问题更为突出。
3.2 步态本文深蹲步态动力学数据源自文[28],考虑深蹲过程中骨盆的代偿运动,有限元结果表明深蹲步态的最大等效塑性应变分别是正常行走、上楼梯和下楼梯的最大等效塑性应变的2.32、1.23和1.34倍,深蹲步态下最大等效塑性应变的面积分别是正常行走、上楼梯和下楼梯的最大等效塑性应变面积的3.60、2.91和1.75倍。深蹲步态下等效塑性应变的最大有限元网格体积分别是正常行走、上楼梯和下楼梯的最大等效塑性应变面积的4.06、2.31和2.22倍。大幅度的屈曲动作很容易导致假体碰撞乃至脱位,因此THA后的患者应极力避免深蹲这类动作,即使要做这类动作也应在工具的撑扶下完成。正常行走和深蹲步态的边缘负载出现在步态中期,上楼梯的边缘负载出现在步态前期,下楼梯的边缘负载出现在步态后期,这恰好对应股骨屈曲幅度最大的时刻,因此THA术后患者对于股骨有大幅度屈曲的动作应慎重。本文采用的4种步态并不能代表一个普通人生活中的所有步态,日常生活中还有突然性绊倒、运动幅度较大的体育运动等更具挑战的步态,这类步态会导致患者假体出现碰撞甚至脱位等严重后果,这些步态数据受限于伦理等各种因素目前还无法从患者身上获取。
3.3 高边衬垫的安装位置高边衬垫的安装位置关系THA术后假体的稳定性。高边衬垫防止假体脱位的原理是通过增加球头脱位时的跳跃距离提高球头的稳定性,然而针对高边衬垫的高边放置方位问题,临床中尚无统一定论。Hau等[11]在临床试验中基于无碰撞和最大活动范围的原则,认为高边放置在人体后下方最稳定,放置在人体后上方反而不稳定。Sultan等[29]认为将高边放置在人体后上方会获得更大的假体活动范围。文[18]对衬垫的无碰撞活动范围进行了研究,认为高边的方位随α变化而变化,当α≤37°时,高边应放置在人体后下方;当α>37°时,高边应放置在人体后上方。
上述结论均基于无碰撞活动范围得出,而本文在基于接触力学性能的前提下发现,当α过大时高边应放置在人体后上方,从而增加衬垫对球头正上方的接触面积,减小接触应力,这可以进一步避免衬垫边缘负载和脱位等现象。本文α只选择了50°和55°这2种角度,忽略了小于50°的范围,这是因为本文发现在α=50°时,只有在β偏大的前提下才会出现边缘负载以及较大的塑性应变,因此对于α<50°的情况,高边的位置可以根据患者实际情况进行选择。本文研究表明,过大的β会造成高边衬垫偏大的边缘负载和较长的持续时间,Hua等[3]对平边衬垫的研究也持有相同观点,而很多医生在没有手术导航的前提下往往根据盆骨上髋臼窝的前倾角以及联合前倾角等原则[20]确定β,这忽略了THA后的衬垫接触力学和边缘负载的问题。因此本文建议医生采用高边衬垫时α不宜大于50°。文[30-31]认为平边衬垫在α<45°才能获得最佳稳定性和磨损性能。此外,β也应考虑术后的衬垫边缘负载问题,不能只追求无碰撞活动范围满足日常活动需求。
3.4 研究的局限性本文仍存在局限性,具体如下:1) 本文有限元模型忽略了THA后髋关节周围的软组织,如韧带、肌肉以及关节囊等的作用,这些软组织可提高并改善髋关节的稳定性及边缘负载[32-34];2) 只采用了4种步态,其他具有挑战性的步态尚无法获得;3) 本文有限元模型忽略了盆骨和股骨的存在,未来会进一步考虑盆骨和股骨对有限元结果的影响。
4 结论本文建立了高边衬垫在步态载荷下的接触力学和边缘负载的有限元分析模型,研究了高边衬垫在正常行走、上楼梯、下楼梯和深蹲4种步态和20种相对极端的臼杯安装位置下的接触应力、边缘负载和等效塑性应变情况。研究表明:衬垫的等效塑性应变、发生塑性变形的体积、边缘负载和边缘负载的持续时间随臼杯外展角和前倾角增加而增加;相比于另外3种步态,深蹲步态更容易使衬垫产生塑性变形,对衬垫造成的破坏最大;在臼杯外展角不低于50°的情况下,将高边衬垫的高边放置于人体后上方不但能避免出现边缘负载,还能显著降低衬垫的塑性应变。
| [1] |
MELLON S J, LIDDLE A D, PANDIT H. Hip replacement: Landmark surgery in modern medical history[J]. Maturitas, 2013, 75(3): 221-226. DOI:10.1016/j.maturitas.2013.04.011 |
| [2] |
UNDERWOOD R J, ZOGRAFOS A, SAYLES R S, et al. Edge loading in metal-on-metal hips: Low clearance is a new risk factor[J]. Proceedings of the Institution of Mechanical Engineers, Part H: Journal of Engineering in Medicine, 2012, 226(3): 217-226. DOI:10.1177/0954411911431397 |
| [3] |
HUA X J, LI J Y, JIN Z M, et al. The contact mechanics and occurrence of edge loading in modular metal-on-polyethylene total hip replacement during daily activities[J]. Medical Engineering & Physics, 2016, 38(6): 518-525. |
| [4] |
WILLIAMS S, JALALI-VAHID D, BROCKETT C, et al. Effect of swing phase load on metal-on-metal hip lubrication, friction and wear[J]. Journal of Biomechanics, 2006, 39(12): 2274-2281. DOI:10.1016/j.jbiomech.2005.07.011 |
| [5] |
LESLIE I J, WILLIAMS S, ISAAC G, et al. High cup angle and microseparation increase the wear of hip surface replacements[J]. Clinical Orthopaedics and Related Research, 2009, 467(9): 2259-2265. DOI:10.1007/s11999-009-0830-x |
| [6] |
KWON Y M, MELLON S J, MONK P, et al. In vivo evaluation of edge-loading in metal-on-metal hip resurfacing patients with pseudotumours[J]. Bone & Joint Research, 2012, 1(4): 42-49. |
| [7] |
KWON Y M, GLYN-JONES S, SIMPSON D J, et al. Analysis of wear of retrieved metal-on-metal hip resurfacing implants revised due to pseudotumours[J]. The Journal of Bone and Joint Surgery-Brithish Volume, 2010, 92-B(3): 356-361. |
| [8] |
PANDIT H, GLYN-JONES S, MCLARDY-SMITH P, et al. Pseudotumours associated with metal-on-metal hip resurfacings[J]. The Journal of Bone and Joint Surgery-Brithish Volume, 2008, 90-B(7): 847-851. |
| [9] |
CUI W, BIAN Y Y, ZENG H K, et al. Structural and tribological characteristics of ultra-low-wear polyethylene as artificial joint materials[J]. Journal of the Mechanical Behavior of Biomedical Materials, 2020, 104: 103629. DOI:10.1016/j.jmbbm.2020.103629 |
| [10] |
BLUMENFELD T J, POLITI J, CROKER S, et al. Long-term results of delta ceramic-on-ceramic total hip arthroplasty[J]. Arthroplasty Today, 2022, 13: 130-135. DOI:10.1016/j.artd.2021.11.006 |
| [11] |
HAU R, HAMMESCHLAG J, LAW C, et al. Optimal position of lipped acetabular liners to improve stability in total hip arthroplasty-an intraoperative in vivo study[J]. Journal of Orthopaedic Surgery and Research, 2018, 13(1): 289. DOI:10.1186/s13018-018-1000-1 |
| [12] |
ROGERS M, BLOM A W, BARNETT A, et al. Revision for recurrent dislocation of total hip replacement[J]. HIP International, 2009, 19(2): 109-113. DOI:10.1177/112070000901900205 |
| [13] |
INSULL P J, COBBETT H, FRAMPTON C M, et al. The use of a lipped acetabular liner decreases the rate of revision for instability after total hip replacement: A study using data from the New Zealand Joint Registry[J]. The Bone & Joint Journal, 2014, 96-B(7): 884-888. |
| [14] |
HUA X J, LI J Y, WANG L, et al. Contact mechanics of modular metal-on-polyethylene total hip replacement under adverse edge loading conditions[J]. Journal of Biomechanics, 2014, 47(13): 3303-3309. DOI:10.1016/j.jbiomech.2014.08.015 |
| [15] |
ETCHELS L, WANG L, THOMPSON J, et al. Dynamic finite element analysis of hip replacement edge loading: Balancing precision and run time in a challenging model[J]. Journal of the Mechanical Behavior of Biomedical Materials, 2023, 143: 105865. DOI:10.1016/j.jmbbm.2023.105865 |
| [16] |
SARMIENTO A, EBRAMZADEH E, GOGAN W J, et al. Cup containment and orientation in cemented total hip arthroplasties[J]. The Journal of Bone and Joint Surgery-Brithish Volume, 1990, 72-B(6): 996-1002. |
| [17] |
MURRAY D W. The definition and measurement of acetabular orientation[J]. The Journal of Bone and Joint Surgery-Brithish Volume, 1993, 75-B(2): 228-232. |
| [18] |
FENG T, TANG H, ZHANG X G, et al. A novel algorithm to efficiently calculate the impingement-free range of motion of irregularly-shaped total hip arthroplasty components[J]. Journal of Orthopaedic Research, 2023, 41(11): 2516-2529. DOI:10.1002/jor.25585 |
| [19] |
ANDREASSEN T E, HUME D R, HAMILTON L D, et al. Three-dimensional lower extremity musculoskeletal geometry of the visible human female and male[J]. Scientific Data, 2023, 10(1): 34. DOI:10.1038/s41597-022-01905-2 |
| [20] |
吕明, 吴坚, 柳剑, 等. 全髋置换术后髋臼和股骨假体联合前倾角的CT研究[J]. 重庆医学, 2014, 43(24): 3127-3129, 3132. Lü M, WU J, LIU J, et al. A CT study of combined anteversion after total hip arthroplasty[J]. Chongqing Medicine, 2014, 43(24): 3127-3129, 3132. DOI:10.3969/j.issn.1671-8348.2014.24.003 (in Chinese) |
| [21] |
KURTZ S M, PRUITT L, JEWETT C W, et al. The yielding, plastic flow, and fracture behavior of ultra-high molecular weight polyethylene used in total joint replacements[J]. Biomaterials, 1998, 19(21): 1989-2003. DOI:10.1016/S0142-9612(98)00112-4 |
| [22] |
LIU F. Contact mechanics and elastohydrodynamic lubrication analysis of metal-on-metal hip implant with a sandwich acetabular cup under transient walking condition[D]. Bradford: University of Bradford, 2005.
|
| [23] |
WANG A, ESSNER A, KLEIN R. Effect of contact stress on friction and wear of ultra-high molecular weight polyethylene in total hip replacement[J]. Proceedings of the Institution of Mechanical Engineers, Part H: Journal of Engineering in Medicine, 2001, 215(2): 133-139. DOI:10.1243/0954411011533698 |
| [24] |
GAO Y C, CHAI W, WANG L, et al. Effect of friction and clearance on kinematics and contact mechanics of dual mobility hip implant[J]. Proceedings of the Institution of Mechanical Engineers, Part H: Journal of Engineering in Medicine, 2016, 230(1): 39-49. DOI:10.1177/0954411915617198 |
| [25] |
PAPAIOANNOU T A, DIGAS G, BIKOS C, et al. Femoral neck version affects medial femorotibial loading[J]. International Scholarly Research Notices, 2013, 2013: 328246. |
| [26] |
DEGASPERI F A, SCATIGNA B F, FALOTICO G G, et al. Strain analysis in cementless hip femoral prosthesis using the finite element method-Influence of the variability of the angular positioning of the implant[J]. Revista Brasileira de Ortopedia (Sao Paulo), 2022, 57(6): 968-974. DOI:10.1055/s-0041-1735141 |
| [27] |
EDIDIN A A, PRUITT L, JEWETT C W, et al. Plasticity-induced damage layer is a precursor to wear in radiation-cross-linked UHMWPE acetabular components for total hip replacement[J]. The Journal of Arthroplasty, 1999, 14(5): 616-627. DOI:10.1016/S0883-5403(99)90086-4 |
| [28] |
CATELLI D S, KOWALSKI E, BEAULÉ P E, et al. Muscle and hip contact forces in asymptomatic men with cam morphology during deep squat[J]. Frontiers in Sports and Active Living, 2021, 3: 716626. DOI:10.3389/fspor.2021.716626 |
| [29] |
SULTAN P G, TAN V, LAI M, et al. Independent contribution of elevated-rim acetabular liner and femoral head size to the stability of total hip implants[J]. The Journal of Arthroplasty, 2002, 17(3): 289-292. DOI:10.1054/arth.2002.30415 |
| [30] |
PATIL S, BERGULA A, CHEN P C, et al. Polyethylene wear and acetabular component orientation[J]. The Journal of Bone and Joint Surgery-American Volume, 2003, 85-A(S4): 56-63. |
| [31] |
ROBINSON R P, SIMONIAN P T, GRADISAR I M, et al. Joint motion and surface contact area related to component position in total hip arthroplasty[J]. The Journal of Bone and Joint Surgery-Brithish Volume, 1997, 79-B(1): 140-146. |
| [32] |
BROWN T D, ELKINS J M, PEDERSEN D R, et al. Impingement and dislocation in total hip arthroplasty: Mechanisms and consequences[J]. The Iowa Orthopaedic Journal, 2014, 34: 1-15. |
| [33] |
ELKINS J M, STROUD N J, RUDERT M J, et al. The capsule's contribution to total hip construct stability: A finite element analysis[J]. Journal of Orthopaedic Research, 2011, 29(11): 1642-1648. DOI:10.1002/jor.21435 |
| [34] |
GUO L L, YANG Y J, AN B, et al. Risk factors for dislocation after revision total hip arthroplasty: A systematic review and meta-analysis[J]. International Journal of Surgery, 2017, 38: 123-129. DOI:10.1016/j.ijsu.2016.12.122 |



