随着城市化进程的不断推进,城市道路、建筑物、不透水广场等不透水表面增加,造成透水下垫面减少,降雨径流主要通过城市排水管网输排;同时极端天气的增加,使城市管网不足以应对较大重现期的降雨,从而造成城市内涝频发。而低影响开发(low impact development,LID)设施是缓解城市内涝的重要手段之一,为了经济效益最大化,对LID设施的空间布局的研究显得更加重要。
针对LID设施缓解城市内涝灾害,众多学者从多个方面开展了研究。部分学者通过构建水文模型模拟多种LID设施在不同降雨情景下的雨水径流控制效果。例如,文[1-3]采用单独及组合的方式布设LID设施,分析各个LID设施对水量的削减情况,评价LID设施效果;文[4]对不同的LID设施布设方案进行水质水量模拟,分析径流及污染削减效果,通过生命周期成本和效益货币化分析找出最合适的LID设施组合方案;文[5]采用不同布设比例的LID设施进行模拟,寻找最佳的布设比例,将最优布设比例组合起来进行优化;文[6]将雨水花园布设在研究区汇水面的上、中、下游,分析其对径流及污染的削减情况,确定最优的空间布局;文[7-8]在不同的降雨特征下考虑LID设施的效果,判断LID设施在哪种降雨特征下发挥效果更好。还有学者采用多目标优化算法结合水文模型求解目标函数,获得LID设施的最优布设方案。例如,文[9]用暴雨洪水管理模型(storm water management model,SWMM)建立水文模型,采用MATLAB为平台的修改后的多偏好向量引导的协同进化算法(PICEA-g),得到LID设施的最优布设方案;文[10]综合考虑径流、污染物、洪涝控制3方面指标构建基于建设成本的综合效益目标,通过粒子群优化算法对校园LID设施布局进行优化;文[11]根据经济成本的函数计算不同情景下的经济成本,采用线性归一化法和最优化目标函数确定不同设施占比的最优化LID设施组合方案;文[12]以建设成本、径流总量控制率和污染物去除率为多目标函数,采用非支配排序遗传算法(NSGA-II)确定LID设施空间布局的优化方案;文[13]构建了容积法、基于SWMM的模型法和耦合SWMM与NSGA-II的多目标优化法的未来社区的LID设施布局多方法体系。此外,还有学者针对具有不同特点的研究区布设LID设施建立水文模型,评价LID设施布设的效果。例如,文[14-22]主要把对径流及内涝的削减效果作为评价LID设施的指标;文[23-24]在径流的基础上加上了污染物的削减情况作为评价LID设施的指标;文[25]提出了完整的框架去评价LID设施,整个框架包括径流及污染物削减程度、环境因素、操作因素及经济成本,采用层次分析法和后悔策略法等得到最优的LID设施布设方案;文[26]用参数估计工具进行灵敏度分析校准SWMM模型,用模糊层次分析法和优劣解距离法形成完整的评价LID设施的体系。
但是上述关于LID设施的研究中,其布设的方法普遍采用传统全范围等比例(traditional full range equal proportion,FREP)LID设施布设方法,即在全范围不同的土地利用类型固定一定比例布设适合的LID设施,在实际的工程当中,这种方法会存在部分管网在布设LID设施后对内涝的削减效果的改善并不明显的情况,从而造成LID设施资源的浪费。
本文提出了一种基于溢流点位上游追踪(overflow point upstream tracking,OPUT)的LID设施布设方法。运用SWMM构建原始管网模型并模拟在不同重现期降雨下管网产生的溢流,锁定管网溢流点位,追踪溢流节点所在的上游管段的节点,并将LID设施布设在追踪的节点所在的汇水区。此外,考虑采用长历时降雨进行LID设施的研究较少,本文采用了180和1 440 min两种降雨历时,对比OPUT方法与FREP方法,从径流的削减情况、内涝防治效果和全生命周期成本3方面综合考虑,证明OPUT方法是一种更佳的LID设施布设方法,具有一定的经济性和良好的内涝防治效果。
1 研究区域及研究方法 1.1 研究区域概况本文的研究区域位于北京市朝阳区东三环和东四环之间,最北边为霄云路,最南边为亮马河。研究区总面积达119.64 hm2,东西长度约1 500 m,南北长度约1 040 m。其中不透水面积占比达71%,整个研究区主要依靠管网进行排水,当降雨量较大时,研究区内易产生内涝积水情况。研究区域内土地利用类型包括建筑物、绿地、水系、道路及综合用地5种,面积分别为26.39、2.13、2.93、13.93、74.25 hm2,土地利用类型示意图如图 1a所示。
|
| 图 1 土地利用类型及SWMM模型示意图 |
1.2 SWMM模型构建
SWMM软件是由美国环境保护署开发,面向城市区域雨水径流水量和水质分析的综合模拟软件。SWMM模型包括降雨模型、地面径流模型和管网汇流模型,针对子汇水分区的汇流采用非线性水库进行模拟演算[10]。本文分析采用动力波演算求解连续性方程模拟水流流动并采用Horton模型模拟下渗过程。
1.2.1 研究区域概化根据研究区域内道路、雨水管网分布等情况,最终将研究区域概化为577个汇水区、577个检查井、580个管段及3个出水口并构建SWMM模型,如图 1b所示。
1.2.2 参数率定及验证本文模型部分参数采用编号为20220821场次降雨进行率定,降雨量为81.4 mm,降雨历时为548 min,通过SWMM对该场降雨进行模拟,将产汇流参数进行调整,使模拟水位变化过程与实测水位变化过程相符。其中J280和J155两个检查井的模拟水位与实测水位对比分别如图 2a和2b所示。此外,采用编号为20220903场次降雨进行验证,降雨量为10.2 mm,降雨历时为206 min,率定结果如图 2c、2d所示。由图 2可以看出模拟水位过程与实测基本一致,模型具有满意的精度。
|
| 图 2 模拟与实测水位对比 |
1.2.3 设计降雨
本文模型根据北京市地方标准《城镇排水防涝系统数学模型构建与应用技术规程》(DB11/T 2074—2022)[27]设计暴雨强度公式进行推算,采用180和1 440 min两种降雨历时,雨峰系数分别为0.11和0.71,同时采用了8种不同的重现期,分别为2、3、5、10、20、30、50、100 a。该研究区域属于北京市Ⅱ区,重现期为10 a的180和1 440 min设计降雨雨型分别如图 3a和3b所示,其余重现期的设计降雨雨型与10 a重现期的一致。
|
| 图 3 北京Ⅱ区10 a重现期设计降雨 |
1.3 基于OPUT的LID设施布设方法
目前针对LID设施的研究,通常采用FREP方法进行LID设施布设。FREP方法根据土地利用的类型进行全范围等比例布设,会存在不易产生内涝的区域布设较多LID设施和易产生内涝的区域没有布设LID设施的情况,从而造成对内涝缓解效果不佳以及资源浪费。考虑在源头布设LID设施可以有效缓解内涝,因此本文提出OPUT方法,对不同的降雨情景下产生的溢流节点进行锁定,追踪溢流节点所在的上游管段节点并将LID设施布设在追踪的节点所在的汇水区。由于管网存在分支,汇水区级别越高布设LID设施的面积就会越大,成本投入越高,而节点溢流的控制效果较差,当布设第4级汇水区时,布设面积增长较多,所以考虑选择3级汇水区布设LID设施,超过3级以上的汇水区不进行布设,而不同级别的汇水区布设的LID设施种类及布设面积均取决于土地利用类型情况。方法示意图如图 4所示,具体流程如图 5所示。
|
| 图 4 OPUT方法示意图 |
|
| 图 5 OPUT方法流程图 |
研究区域包含商业楼、住宅楼、办公楼、绿地、花园、公共广场等,考虑使用3种LID设施,分别为透水铺装、绿色屋顶及雨水花园。其中透水铺装布设在建筑物周围空地、人行道、停车场、广场等公共场所;绿色屋顶布设在商业楼、住宅楼、办公楼等建筑物屋顶上;雨水花园考虑布设在已有的绿地、花园上或建筑物周围较大的空地。根据文[17],本文LID设施参数设置如表 1所示。其中短历时10 a重现期情况下,各种LID设施的布设的比例如图 6所示。其中,PP为透水铺装,GR为绿色屋顶,RG为雨水花园。
| 过程层 | 参数 | 绿色屋顶 | 雨水花园 | 透水铺装 |
| 表面层 | 厚度/mm | 50 | 250 | 0 |
| 植被覆盖率 | 0.6 | 0.1 | 0 | |
| 表面粗糙系数 | 0.8 | 0.24 | 0.011 | |
| 表面坡度/% | 0.2 | 5 | 0.5 | |
| 土壤层 | 厚度/mm | 100 | 900 | 150 |
| 孔隙率 | 0.18 | 0.18 | 0.5 | |
| 土壤持水率 | 0.1 | 0.1 | 0.2 | |
| 枯水率 | 0.03 | 0.03 | 0 | |
| 导水率/(mm·h-1) | 18 | 18 | 720 | |
| 导水率坡度 | 10 | 10 | 10 | |
| 吸水头/mm | 90 | 90 | 90 | |
| 储水层 | 厚度/mm | — | 0 | 600 |
| 孔隙率 | — | 0.75 | 0.75 | |
| 下渗速率/(mm·h-1) | — | 12.7 | 12.7 | |
| 堵塞因子 | — | 0 | 180 |
|
| 图 6 10 a重现期在短历时情况下各种LID设施布设占比 |
1.4 LID设施成本计算
文[25-26]不仅从径流及内涝方面,同时也从经济等角度去评价LID设施。为了评价OPUT方法的经济性,本文采用全生命周期成本对LID设施进行评价,分为单位基建成本和单位维护成本2部分。3种LID设施成本根据文[17]设置如表 2;LID设施成本计算公式根据文[25]设置为
| $ A=S B+n S C . $ | (1) |
| LID设施 | ||
| 透水铺装 | 780 | 8.7 |
| 绿色屋顶 | 200 | 6 |
| 雨水花园 | 800 | 55 |
其中:A为LID设施总成本;B为LID设施单位基建成本;C为LID设施单位维护成本;S为LID设施布设面积;n为LID设施生命周期,本文生命周期取为30 a。
1.5 评价指标为了更好进行结果分析,径流方面采用径流体积削减百分比、径流峰值流量削减百分比及径流系数削减量3个指标。在雨水管网中,积水深度和淹没面积随着节点溢流体积的增大而增大,即节点溢流量的大小可以表征内涝积水的严重程度,因此仅采用节点溢流体积削减百分比作为评价内涝的指标。4个指标的计算公式如式(2)和(3)所示。
| $ A_i=\frac{C_i-B_i}{C_i}, i=1, 2, 3 . $ | (2) |
其中:A1、A2、A3分别为径流体积削减百分比、径流峰值流量削减百分比、节点溢流体积削减百分比;C1、C2、C3分别为原始管网产生的径流总体积、径流峰值流量、节点溢流总体积;B1、B2、B3分别为采用OPUT方法或者FREP方法布设LID设施之后的径流总体积、径流峰值流量、节点溢流总体积。
| $ P=\frac{M}{Q}-\frac{N}{Q} . $ | (3) |
其中:P为径流系数削减量;M为原始管网的径流总体积;Q为降雨总体积;N为采用OPUT方法或者FREP方法布设LID设施之后的径流总体积;M/Q为原始管网径流系数;N/Q为布设LID设施后的径流系数。
2 结果分析为分析OPUT方法,采用了180和1 440 min两种降雨历时,在8种不同的重现期下,对FREP方法和OPUT方法从径流的削减、内涝防治效果及成本3方面进行对比分析。
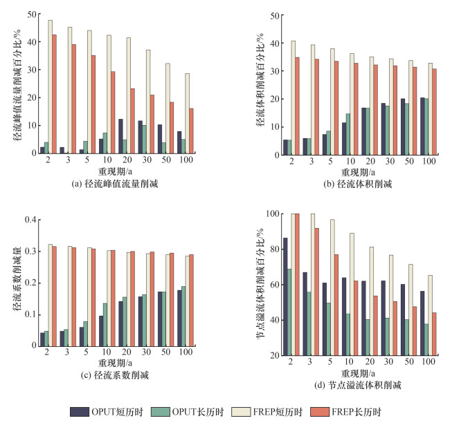
2.1 径流削减效果分析图 7中,FREP方法和OPUT方法径流体积削减百分比、径流峰值流量削减百分比及径流系数削减量随着重现期的变化而变化,其变化范围如表 3所示。
|
| 图 7 径流及溢流削减情况 |
| 评价指标 | FREP方法 | OPUT方法 | |||
| 短历时 | 长历时 | 短历时 | 长历时 | ||
| 径流体积削减百分比 | 40.73%~32.81% | 34.81%~30.71% | 5.48%~20.43% | 5.36%~20.09% | |
| 径流峰值流量削减百分比 | 47.68%~28.64% | 42.44%~16.12% | 2.29%~7.96% | 4.02%~5.08% | |
| 径流系数削减量 | 0.32~0.28 | 0.31~0.29 | 0.04~0.18 | 0.05~0.19 | |
FREP方法随着重现期的不断增大,径流峰值流量、径流系数及径流总体积的削减均呈现下降的趋势。从长短历时方面来考虑,针对径流峰值流量及径流总体积,短历时的削减效果均要优于长历时的削减效果;而在重现期较小时,短历时的径流系数削减量大于长历时,在重现期较大时,长历时的径流系数削减量大于短历时。
OPUT方法随着重现期的不断增大,径流峰值流量、径流系数及径流总体积的削减在总体趋势上呈现增长趋势。从长短历时方面来考虑,在重现期较小时,针对径流峰值流量及径流体积,长历时的削减大于短历时的,在重现期较大时,短历时的削减要大于长历时的;而径流系数削减量在长历时情况下一直大于短历时。
由上可知FREP方法和OPUT方法的径流系数削减量在不同重现期下变化规律并不相同,原因分析如下。径流系数的变化取决于降雨量和下渗、填挖等损失的量。径流系数的削减量为原始管网径流系数与布设LID设施之后的径流系数的差值。在同一重现期下,2种降雨历时的降雨量、原始管网及采取2种方法布设LID设施之后的管网的下渗、填挖等均不相同。所以从长短历时上来看,不具有规律性。FREP方法在不同重现期下布设面积均相同,所以随着重现期的增大,径流系数的削减量逐渐下降;而OPUT方法随着重现期的增大布设LID设施的面积逐渐变多,径流系数的削减量逐渐上升。
同时由图 7a可见,OPUT方法径流峰值流量削减百分比整体上呈现上升的趋势,但是会存在波动,产生波动的原因可能是布设LID设施的面积随着重现期的变化并不具有规律性。例如,10 a重现期下,新产生的溢流点在5 a重现期产生的溢流点的下游,此时,10 a重现期溢流点上游汇水区的LID设施已经布设完成,所以只需布设在新产生的溢流点所在的汇水区。同时,新布设的汇水区可能存在可以布设的LID设施面积很小的情况,所以布设LID设施的面积会由于研究区域的不同而产生差异。同时也会存在个别汇水区本身的粗糙系数要大于布设的LID设施表面的粗糙系数及汇水区本身的坡度小于布设的LID设施表面的坡度,从而造成添加LID设施之后该汇水区的峰值流量上升。
2.2 溢流削减效果分析由图 7d可知,OPUT方法和FREP方法节点溢流体积削减百分比随着重现期的增大而减小,OPUT方法所得变化范围在短历时下为86.36%~56.45%,在长历时下为68.95%~37.79%;FREP方法所得变化范围在短历时下为100%~65.30%,在长历时下为100%~44.29%。
可见,FREP方法和OPUT方法节点溢流体积的削减百分比均呈现下降的趋势[3-4]。短历时的节点溢流体积的削减效果均要优于长历时[7]。原因可能有2个方面:长历时的降雨量大于短历时,LID设施随着降雨量的增加效果变差;降雨初期下渗能力较强,短历时雨峰靠前,下渗量更多,而长历时降雨雨峰靠后,前期雨量小但时间较长,土壤可能在雨峰到达之前接近饱和,此时将极大地降低对溢流体积的削减效果。
2.3 FREP和OPUT的面积等效分析对于同样面积的研究区域,FREP方法布设LID设施的面积要远大于OPUT方法,所以不论是从径流方面还是内涝方面,FREP方法的效果均优于OPUT方法的。为了更好地比较2种方法。将图 7中径流和节点溢流削减情况进行单位面积的求算,得到每hm2布设LID设施面积(简称为“每hm2”)的径流及内涝削减情况如图 8所示。
|
| 图 8 每hm2径流及溢流削减情况 |
图 8中,OPUT方法短历时下每hm2径流体积削减百分比、径流峰值流量削减百分比、径流系数削减量和节点溢流体积削减百分比随着重现期的变化而变化,其范围如表 4所示。
| 评价指标 | FREP方法 | OPUT方法 | |||
| 短历时 | 长历时 | 短历时 | 长历时 | ||
| 每hm2径流体积削减百分比 | 0.76%~ 0.61% | 0.65%~0.57% | 0.81%~0.63% | 0.63%~0.60% | |
| 每hm2径流峰值流量削减百分比 | 0.89%~0.54% | 0.79%~0.30% | 0.34%~0.24% | 0.48%~0.15% | |
| 每hm2径流系数削减量 | 0.006 0~0.005 3 | 0.005 9~0.005 4 | 0.006 4~0.005 4 | 0.005 7~0.005 6 | |
| 每hm2节点溢流体积削减百分比 | 1.87%~ 1.22% | 1.87%~0.83% | 12.82%~1.73% | 8.16%~1.12% | |
在径流方面,OPUT方法所得每hm2径流峰值流量削减百分比、径流体积削减百分比及径流系数削减量均随着重现期的不断增大出现波动,原因是2.1节提到的布设LID设施面积没有规律。FREP方法在径流峰值流量的削减情况虽一直优于OPUT方法,但是随着重现期的增大,OPUT方法与FREP方法差距在变小。在重现期较小时,FREP方法对径流体积削减效果要优于OPUT方法,但是在重现期较大时,OPUT方法要优于FREP方法,原因可能为:降雨量较小时,径流比较分散,全局布设的FREP方法效果更优;而降雨量较大时,径流较多的会集中在地势低洼地区,此时在溢流点位上游布设LID设施的OPUT方法效果会更好。在内涝方面,OPUT方法对节点溢流体积削减效果要始终大于FREP方法,原因为OPUT方法将LID设施布设在产生溢流的上游位置,此处溢流的体积较大,相比FREP进行全局布设可充分发挥LID设施的能力,而FREP方法存在部分LID设施没有起到削减溢流体积的作用的情况。
2.4 FREP和OPUT的成本比较针对城市内涝问题,更多地需要考虑溢流削减的情况,所以为比较2种方法,将FREP方法所得LID设施布设面积进行多次调整,使FREP方法的节点溢流削减效果近似等于OPUT方法的节点溢流削减效果,此时2种方法布设成本如图 9所示。OPUT方法和FREP方法的成本均随着重现期的增大而增加,OPUT方法所得变化范围在短历时下为6.15×103~3.25×104万元,在长历时下为7.37×103~3.33×104万元;FREP方法所得变化范围在短历时下为6.61×103~4.23×104万元,在长历时下为1.37×104~4.23×104万元。
|
| 图 9 2种方法溢流效果相同时布设成本对比 |
OPUT方法针对节点溢流源头三级布设LID设施,充分发挥了LID设施的能力,而FREP方法全范围进行布设较为分散,存在部分LID设施没有发挥减少节点溢流体积的作用,即OPUT方法以更小的LID设施布设面积得到了更优的节点溢流削减效果。所以当2种方法节点溢流削减效果一致时,OPUT方法布设LID设施面积小于FREP方法,OPUT方法的成本小于FREP方法。
上述结果针对径流和溢流的消减情况对比分析了OPUT和FREP方法的优劣,可以看出将LID设施布设在产生溢流较小的位置,虽然可以得到较好的径流控制效果,但对节点溢流的缓解较差。此外,LID设施的增加将产生增加建设面积和减少节点溢流量的双向影响,以单位面积的节点溢流削减量为目标评价LID设施布设效果,可实现以更小的设施投入获取更好的内涝防控效果。
OPUT方法主要依靠识别雨水溢流节点进行LID设施布设,若排水系统溢流节点数量过多时,应先通过增设排水泵站、管网改造等基础设施建设的手段来消除一定数量的溢流点位,再运用OPUT方法布设LID设施辅助内涝防控。
3 结论大部分针对LID设施的布设都采用FREP方法,而本文提出了OPUT方法,即通过锁定不同重现期降雨下管网产生溢流的点位,追踪溢流节点所在的上游管段的节点,并将LID设施布设在追踪的节点所在的汇水区。通过SWMM建立水文模型,采用短历时180和长历时1 440 min两种降雨历时,在8种不同的重现期下,对FREP和OPUT两种方法从径流削减、内涝防治和成本3方面进行综合分析,得到主要结论如下:
1) 本文验证了LID设施的径流控制、内涝缓解效果在低重现期下要优于高重现期,在短历时降雨情景下要优于长历时。在长、短历时降雨情况下,FREP方法中LID设施对径流及内涝的削减均随着重现期的增大而不断减小;同时短历时的削减效果要优于长历时的。
2) OPUT方法对溢流的削减效果更好,从内涝削减方面来考虑效果更优。随着重现期的增大,FREP方法对峰值流量削减及较小重现期的径流体积削减效果更好,但是由于没有集中在内涝严重地区布设LID设施,内涝缓解效果差;而OPUT方法针对溢流源头布设LID设施,对溢流削减效果更好。对发生高重现期及短历时降雨的地区进行LID设施布设,采用OPUT方法将会以更小的LID设施布设面积得到更优的内涝防治效果。
3) OPUT方法比FREP方法具有更高的经济性。当2种方法的溢流削减效果相同时,在长短2种历时降雨情况下,2种方法的LID设施布设面积均随重现期的增大而增大,但OPUT方法的LID设施布设面积均小于FREP方法,所以OPUT方法的LID设施布设成本均低于FREP方法。
4) OPUT方法缩减了布设LID设施的汇水区范围,对于LID设施布设空间优化布置而言,该方法可在一定程度上缩减寻优范围,提高优化效率。该方法与优化算法的组合使用有待下一步研究。
| [1] |
卓浩, 王云, 李元松, 等. 基于SWMM的海绵道路典型LID设施布局影响分析[J]. 公路, 2019, 64(7): 1-7. ZHUO H, WANG Y, LI Y S, et al. Impact analysis of typical LID facility layout of sponge road based on SWMM[J]. Highway, 2019, 64(7): 1-7. (in Chinese) |
| [2] |
朱梅, 何君涛, 黎江少, 等. 基于SWMM模型的不同LID设施对雨洪控制效果模拟分析[J]. 水力发电, 2020, 46(3): 24-27, 79. ZHU M, HE J T, LI J S, et al. Simulation of different LID facilities on rainwater control based on SWMM[J]. Water Power, 2020, 46(3): 24-27, 79. (in Chinese) |
| [3] |
刘碧云, 任建民, 张进丽, 等. 基于SWMM模型的兰州交通大学校园区城市雨洪模拟及LID效果评价[J]. 水电能源科学, 2021, 39(7): 9-12. LIU B Y, REN J M, ZHANG J L, et al. Urban rainfall-runoff simulations of campus area of Lanzhou Jiaotong University and assessment of low impact development facilities using SWMM model[J]. Water Resources and Power, 2021, 39(7): 9-12. (in Chinese) |
| [4] |
戎贵文, 李姗姗, 甘丹妮, 等. 不同LID组合对水质水量影响及成本效益分析[J]. 南水北调与水利科技(中英文), 2022, 20(1): 21-29. RONG G W, LI S S, GAN D N, et al. Impact of different low impact developmental combinations on water quality and quantity and cost-benefit analysis[J]. South-to-North Water Transfers and Water Science & Technology, 2022, 20(1): 21-29. (in Chinese) |
| [5] |
王婷, 刁秀媚, 刘俊, 等. 基于SWMM的老城区LID布设比例优化研究[J]. 南水北调与水利科技, 2017, 15(4): 39-43, 128. WANG T, DIAO X M, LIU J, et al. Optimization of LID layout proportions in old city area based on SWMM[J]. South-to-North Water Transfers and Water Science & Technology, 2017, 15(4): 39-43, 128. (in Chinese) |
| [6] |
杜颖恩, 侯精明, 马红丽, 等. 基于SWMM的LID设施空间格局优化模拟研究[J]. 中国给水排水, 2021, 37(19): 120-125. DU Y E, HOU J M, MA H L, et al. Spatial pattern optimization of LID facility based on SWMM[J]. China Water & Wastewater, 2021, 37(19): 120-125. (in Chinese) |
| [7] |
QIN H P, LI Z X, FU G T. The effects of low impact development on urban flooding under different rainfall characteristics[J]. Journal of Environmental Management, 2013, 129: 577-585. DOI:10.1016/j.jenvman.2013.08.026 |
| [8] |
王琳, 陈刚, 王晋. 基于SWMM的济南韩仓河流域宏观LID实践模拟[J]. 中国农村水利水电, 2020(4): 1-4. WANG L, CHEN G, WANG J. Simulation of macro LID practice in Hangcang river of Jinan based on SWMM[J]. China Rural Water and Hydropower, 2020(4): 1-4. (in Chinese) |
| [9] |
YU Y, ZHOU Y C, GUO Z Y, et al. A new LID spatial allocation optimization system at neighborhood scale: Integrated SWMM with PICEA-g using MATLAB as the platform[J]. Science of the Total Environment, 2022, 831: 154843. DOI:10.1016/j.scitotenv.2022.154843 |
| [10] |
肖婉婷, 宋聚生, 马翔, 等. 基于SWMM的校园海绵城市布局优化研究: 以深圳市某中学校园为例[J]. 水利水电技术(中英文), 2023, 54(9): 48-60. XIAO W T, SONG J S, MA X, et al. Optimization of LID facilities planning strategy based on PSO algorithm and SWMM model: A case study of middle school campus in Shenzhen[J]. Water Resources and Hydropower Engineering, 2023, 54(9): 48-60. (in Chinese) |
| [11] |
章双双, 潘杨, 李一平, 等. 基于SWMM模型的城市化区域LID设施优化配置方案研究[J]. 水利水电技术, 2018, 49(6): 10-15. ZHANG S S, PAN Y, LI Y P, et al. SWMM model-based study on optimal allocation of LID facilities in urbanized region[J]. Water Resources and Hydropower Engineering, 2018, 49(6): 10-15. (in Chinese) |
| [12] |
陈龙, 龙瀛. 基于雨洪管理模型和NSGA-Ⅱ算法的低影响开发设施空间布局优化——以北京通州某住宅组团为例[J]. 国际城市规划, 2022, 37(6): 42-48. CHEN L, LONG Y. The spatial optimization of LIDs based on SWMM and NSGA-II algorithm: A case study of a residential group in Tongzhou District, Beijing[J]. Urban Planning International, 2022, 37(6): 42-48. (in Chinese) |
| [13] |
张潇月, 李玥, 王晨杨, 等. 面向不同需求的未来社区海绵源头设施布局方法[J]. 清华大学学报(自然科学版), 2023, 63(9): 1483-1492. ZHANG X Y, LI Y, WANG C Y, et al. Layout methods of sponge source facilities for future community based on different needs[J]. Journal of Tsinghua University (Science & Technology), 2023, 63(9): 1483-1492. (in Chinese) |
| [14] |
LAI Y, LU Y Y, DING T T, et al. Effects of low-impact development facilities (water systems of the park) on stormwater runoff in shallow mountainous areas based on dual-model (SWMM and MIKE21) Simulations[J]. International Journal of Environmental Research and Public Health, 2022, 19(21): 14349. DOI:10.3390/ijerph192114349 |
| [15] |
BAE C, LEE D K. Effects of low-impact development practices for flood events at the catchment scale in a highly developed urban area[J]. International Journal of Disaster Risk Reduction, 2020, 44: 101412. DOI:10.1016/j.ijdrr.2019.101412 |
| [16] |
潘二虎, 严程, 李毓, 等. 基于BIM和SWMM的LID措施住宅区降雨径流模拟研究[J]. 给水排水, 2022, 58(S1): 944-949. PAN E H, YAN C, LI Y, et al. Study on rainfall runoff simulation of residential area with LID measures based on BIM and SWMM[J]. Water & Wastewater Engineering, 2022, 58(S1): 944-949. (in Chinese) |
| [17] |
许文斌, 江竹青, 袁翼, 等. 基于MIKE & SWMM的南昌市内涝分析及LID改造研究[J]. 水电能源科学, 2023, 41(1): 77-81, 171. XU W B, JIANG Z Q, YUAN Y, et al. Analysis of urban waterlogging and LID reconstruction scheme in Nanchang City based on MIKE & SWMM[J]. Water Resources and Power, 2023, 41(1): 77-81, 171. (in Chinese) |
| [18] |
房亚军, 于川淇, 金鑫, 等. 基于SWMM-CCHE2D单向耦合模型的山地海绵城市内涝管控效果研究[J]. 武汉大学学报(工学版), 2021, 54(10): 898-906, 941. FANG Y J, YU C Q, JIN X, et al. Research on water-logging control effect of mountain sponge city based on SWMM-CCHE2D unidirectional coupling model[J]. Engineering Journal of Wuhan University, 2021, 54(10): 898-906, 941. (in Chinese) |
| [19] |
房亚军, 于川淇, 金鑫. 基于SWMM-CCHE2D耦合模型的海绵城市内涝管控效果评价[J]. 吉林大学学报(地球科学版), 2022, 52(2): 582-591. FANG Y J, YU C Q, JIN X. Evaluation of SWMM-CCHE2D model-based sponge city inland food control effects[J]. Journal of Jilin University (Earth Science Edition), 2022, 52(2): 582-591. (in Chinese) |
| [20] |
姚焕玫, 卢燕南, 王石. 基于SWMM模型的南宁市海绵城市建设优化模拟[J]. 环境工程, 2019, 37(11): 102-109, 188. YAO H M, LU Y N, WANG S. An optimizing simulation study of sponge city construction in Nanning based on SWMM[J]. Environmental Engineering, 2019, 37(11): 102-109, 188. (in Chinese) |
| [21] |
李怀民, 常晓栋, 徐宗学, 等. 基于SWMM模型的坡地小区海绵城市改造效果评估[J]. 南水北调与水利科技(中英文), 2021, 19(1): 43-49, 82. LI H M, CHANG X D, XU Z X, et al. Assessment of sponge city scheme in a hillside area based on SWMM model[J]. South-to-North Water Transfers and Water Science & Technology, 2021, 19(1): 43-49, 82. (in Chinese) |
| [22] |
陈刚, 王琳, 张寒. 利用SWMM进行低影响开发模拟的模型误差分析[J]. 中国给水排水, 2021, 37(13): 98-102. CHEN G, WANG L, ZHANG H. Model error analysis of low impact development simulated by SWMM[J]. China Water & Wastewater, 2021, 37(13): 98-102. (in Chinese) |
| [23] |
沈炜彬, 邱梦雨, 陈盛达. SWMM模型下海绵城市建设效果核心指标评价——以萧山世纪城区域为例[J]. 给水排水, 2021, 57(8): 61-65, 94. SHEN W B, QIU M Y, CHEN S D. Evaluation of core indicators of sponge city construction effect based on SWMM model: A case of the century city area in Xiaoshan[J]. Water & Wastewater Engineering, 2021, 57(8): 61-65, 94. (in Chinese) |
| [24] |
周志才. 基于SWMM模型的上海市松江国际生态商务区海绵城市建设效果评价[J]. 环境工程, 2020, 38(8): 167-173. ZHOU Z C. Effect assessment of sponge city construction in the international eco-business district in Songjiang District in Shanghai based on SWMM[J]. Environmental Engineering, 2020, 38(8): 167-173. (in Chinese) |
| [25] |
HUA P, YANG W Y, QI X C, et al. Evaluating the effect of urban flooding reduction strategies in response to design rainfall and low impact development[J]. Journal of Cleaner Production, 2020, 242: 118515. DOI:10.1016/j.jclepro.2019.118515 |
| [26] |
KOC K, EKMEKCIOǦLU Ö, ÖZGER M. An integrated framework for the comprehensive evaluation of low impact development strategies[J]. Journal of Environmental Management, 2021, 294: 113023. DOI:10.1016/j.jenvman.2021.113023 |
| [27] |
北京市规划和自然资源委员会, 北京市市场监督管理局. 城镇排水防涝系统数学模型构建与应用技术规程: DB11/T 2074-2022[S]. 北京: 北京市规划和自然资源委员会, 北京市市场监督管理局, 2022. Beijing Municipal Commission of Planning and Natural Resources, Beijing Municipal Bureau of Market Supervision and Administration. Technical specification for construction and application of mathematical model of urban flooding prevention and control system: DB11/T 2074-2022[S]. Beijing: Beijing Municipal Commission of Planning and Natural Resources, Beijing Municipal Bureau of Market Supervision and Administration, 2022. (in Chinese) |



