建筑与交通、工业是中国三大能源消耗部门。据中国建筑节能协会统计,2020年建筑运行阶段能耗占全国能源消耗总量的21.3%,其中城镇住宅能耗占建筑运行阶段能耗的38.7%[1]。中国城镇住宅建筑面积320亿m2,占全国建筑存量的46%,且住宅家庭用电量随时间逐渐增大[2],城镇住宅节能潜力巨大。因此, 研究中国城镇住宅家庭用能特点,对制定精准化节能引导策略具有重要意义。
目前国内外住宅建筑能耗影响因素研究主要集中在建筑特征、建筑内部的家电设备和人员用能行为等方面。研究发现,建筑年限、建筑面积、房间数量等建筑特征是影响住宅建筑能耗的主要因素[3-4]。Lee等[5]通过现场调查收集了154户韩国城镇住宅家庭的用能数据,采用多元回归分析方法发现建筑特征、社会人口特征和家用电器对不同用能行为的影响程度不同。Hu等[6]分析了4 964户中国城镇住宅家庭的用能数据,发现部分家庭的建筑能耗相差10倍以上,造成这种差异的主要原因是家庭用能行为不同。Abrahamse等[7]根据计划行为理论发现用能行为与家庭成员的心理特征相关,且家电设备拥有率、家电能效等因素也对城镇住宅建筑能耗产生重要影响。周成栋等[8]采用关联规则算法探究了家庭结构参数与空调行为的关联规则,发现家庭结构参数中的人数、代数以及最小年龄均与空调行为存在显著相关性,家庭结构是影响住宅建筑能耗的重要因素,但未考虑家庭结构与其他用能行为的关系。Hao等[9]采用广义Divisia指数分解法(generalized Divisia index method,GDIM) 分析了2000—2018年中国城镇住宅居民生活用电量,发现居民收入和家用电器数量是城镇居民用电量增长的主要驱动因素,但该研究未聚焦于城镇住宅家庭。Bedir等[10]采用回归分析方法研究了323户荷兰城镇住宅家庭的用电量数据,发现家庭特征、家电设备数量、家电使用时间等因素是影响住宅建筑电力消耗的关键因素,但该研究未考虑燃气等能源。此外,王丞[11]指出,使用可再生能源可促进城镇住宅建筑的绿色规划发展、降低住宅建筑能耗。
综上所述,关于住宅建筑能耗的既有研究大多集中于家庭属性、建筑特征、家电设备和用能行为等某一维度,尚未从多维度视角对城镇住宅家庭用能情况进行综合分析。其次,城镇住宅家庭用能情况复杂,尚缺少基于家庭用能特征将城镇住宅家庭分类并精准化引导家庭节能的研究。
用户画像技术可精准刻画用户需求,从而实现个性化、精准化信息服务,已在电子商务、医疗健康、旅游和公铁联程等领域得到广泛应用[12-13]。为精准化引导城镇住宅家庭节能,亟需引入用户画像理论构建城镇住宅家庭用能画像模型。
本文基于用户画像理论,以京津冀地区城镇住宅家庭为研究对象,从家庭属性、建筑特征、家电设备、用能行为、能源消耗和可再生能源使用6个维度全方位构建城镇住宅家庭用能画像模型。通过分析城镇住宅家庭电力和燃气能源消耗情况,将不同家庭进行分类,挖掘不同类型家庭用能需求和特征,从而为制定精准化、个性化的家庭节能引导策略提供理论参考。
1 研究理论与方法 1.1 城镇住宅家庭用能画像本文提出的城镇住宅家庭用能画像,是将家庭用能信息标签化,通过分析城镇住宅家庭的各项用能行为数据,得到存在差异性的多维度的特征标识,并进行无监督聚类。该过程基于文献研究法构建城镇住宅家庭用能画像标签体系,并收集家庭用能数据,将家庭在使用能源过程中的用能行为特征进行聚类,并将不同类型家庭的基本特征和用能行为特征以可视化的方式呈现,进而分析不同类型家庭的用能特征。
1.2 家庭能源消耗估算北方城镇住宅广泛应用集中式供暖,而集中式供暖在能源使用系统、用能方式、能耗强度等方面与当前住宅中各类终端用能存在明显差异[14]。为简化分析,本文城镇住宅用能不含北方城镇供暖,主要包括空调、照明、炊事、生活热水和家用电器所消耗的能源,能源种类主要包括电力和燃气[15]。获取不同家用电器用电量最精准的方法是使用电量表测量不同家用电器单位时间内的用电量,用气量也是同样情况,然而此方法较为繁琐且成本高。因此,本文采用传统的调查方法,以半结构访谈的方式获取城镇住宅家庭中不同家用电器的额定功率、平均每日使用时间等数据,然后利用公式估算用电量。尽管该方法会有一定误差,但可以方便地计算出城镇住宅家庭不同用能行为的用电量。
1.2.1 家庭用电量本文根据京津冀地区城镇住宅家庭空调、照明、炊事、生活热水和家用电器(冰箱、冰柜、洗衣机、电视机、电脑等)的使用情况,估算家庭用电量的公式[16]为
| $ \begin{gathered} \mathrm{AEC}=\sum\limits_{i=1}^l \mathrm{CC}_i \times \mathrm{ACU}_i+\sum\limits_{j=1}^m P_j \times \mathrm{NH}_j+ \\ \sum\limits_{k=1}^r \mathrm{CPC}_k \times \mathrm{AUD}_k+\sum\limits_{x=1}^n \mathrm{LP}_x \times \mathrm{LH}_x . \end{gathered} $ | (1) |
式中:AEC为家电在工作时的年耗电量(kW·h/a);l为家庭中洗衣机的数量,CCi为第i台洗衣机耗电量(kW·h/cycle,cycle表示每次洗衣服洗衣机运转全过程),ACUi为第i台洗衣机的年使用次数(cycle/a);m为家庭中各电器(空调、电视机、电饭煲等,不含洗衣机、冰箱和冰柜)的数量,Pj为第j个电器的额定功率(kW),NHj为第j个电器的年使用时间(h/a);r为家庭中冰箱、冰柜的数量,CPCk为第k个冰箱或冰柜的综合耗电量(kW·h/d),ACUk为第k个冰箱或冰柜的年使用天数(d/a);n为家庭中灯泡的数量,LPx为第x个灯泡的功率(kW),LHx为第x个灯泡的年使用时间(h/a)。
1.2.2 家庭用气量京津冀地区城镇住宅家庭对燃气的需求主要来源于炊事和生活热水。
炊事设备(燃气灶)用气量估算公式为
| $ \mathrm{NG}_{\mathrm{c}}=F \times T \times N \times 52 \times 0.38 . $ | (2) |
式中:NGc为家庭年炊事设备用气量(m3/a),F为每星期平均在家吃饭次数,T为每次做饭燃气灶平均使用时长(h),N为每次做饭使用的灶眼数量,52为一年的星期数,0.38为家庭每h燃气用量(m3/h)[15]。
生活热水设备(燃气热水器)用气量估算公式为
| $ \mathrm{NG}_{\mathrm{d}}=\mathrm{HL} \times \mathrm{AUT} \times 3.6 \div 35.9 \text {. } $ | (3) |
式中:NGd为家庭年生活热水设备用气量(m3/a),HL为额定热负荷(kW),AUT为年使用时间(h/a),3.6为kW·h换为MJ的换算系数,35.9为每m3燃气热值(MJ/m3)。
1.3 k-means聚类算法 1.3.1 算法原理k-means算法是一种无监督学习,常用平方Euclid距离作为度量数据样本间相似度的指标。算法在执行时需预先确定初始聚类数目k和k个初始聚类中心,通过数据样本与聚类中心之间的相似度,算法迭代更新聚类中心位置,逐渐降低类簇的误差平方和(sum of squared error,SSE)。当SSE不再变化或目标函数收敛时,聚类过程终止,得到最终聚类结果[17]。
数据样本与聚类中心间的平方Euclid距离计算公式为
| $ d\left(x, C_i\right)=\sum\limits_{j=1}^m\left(x_j-C_{i j}\right)^2 . $ | (4) |
式中:x为数据样本,Ci为第i个聚类中心,m为数据对象的维度,xj和Cij为x和Ci的第j个属性值。
数据集的SSE计算公式为
| $ \mathrm{SSE}=\sum\limits_{i=1}^k \sum\limits_{x \in C_i}\left|d\left(x, C_i\right)\right|^2 . $ | (5) |
式中k为簇的个数。
1.3.2 聚类有效性检验本文选用轮廓系数作为聚类有效性评价指标,轮廓系数的计算公式为:
| $ s(i)=\frac{b(i)-a(i)}{\max [a(i)-b(i)]} . $ | (6) |
| $ S=\frac{1}{N} \sum\limits_{i=1}^N s(i) . $ | (7) |
式中:s(i)为个体i的轮廓系数;a(i)为个体i与同簇中所有其他样本的平均距离; b(i)为个体i与距离最近的其他簇中所有样本的平均距离;S为聚类整体轮廓系数,取值范围为[-1, 1],且值越接近1表示聚类效果越好。
1.4 家庭用能画像建模方法城镇住宅家庭用能画像建模方法如图 1所示。建模方法分为3个步骤:1) 数据收集。首先基于文献研究法构建家庭用能画像标签体系,再通过调查问卷和半结构式访谈收集城镇住宅家庭用能数据,包括家庭属性、建筑特征、家电设备、用能行为、能源消耗以及可再生能源使用等数据。2) 数据处理。通过穷举搜索法和向后特征选择法对家庭用能画像标签进行特征选择,构建家庭用能画像标签最优子集。3) 数据分析。使用k-means算法将家庭进行聚类,分析不同类型家庭在家庭属性、建筑特征、家电设备、用能行为、能源消耗以及可再生能源使用维度的画像特征。
|
| 图 1 城镇住宅家庭用能画像建模方法 |
2 研究结果 2.1 数据收集
本文问卷调查对象为京津冀地区城镇住宅家庭。问卷于2023年8月至9月发放,共回收问卷399份,剔除答题时间过短、回答不完整等问卷后,获得有效问卷351份,有效率88%。有效问卷中,北京市城镇住宅家庭151户,占比43%,天津市96户,占比27%,河北省104户,占比30%;三人户家庭占比达到38%,两人户家庭占比26%,四人户家庭占比19%,一人户家庭占比12%,而五人户及以上的家庭占比最少,仅为5%;家庭月均收入在5 000元及以下50户,占比14%,5 000~1万元104户,占比30%,1~1.5万元78户,占比22%,1.5~2万元59户,占比17%,2万元及以上60户,占比17%;51%的家庭住宅建筑面积在40~80 m2,80~100 m2占比23%,100~120 m2、小于40 m2、大于120 m2的分别占比11%、8%、7%。
2.2 家庭用能画像标签体系基于本文对家庭用能画像的定义,并综合考虑城镇住宅家庭属性特点及家庭用能行为特征,从家庭属性、建筑特征、家电设备、用能行为、能源消耗以及可再生能源使用6个维度构建家庭用能画像标签体系。
∙ 家庭属性:家庭人口、家庭结构、家庭月收入、家庭成员教育程度及年龄等;
∙ 住宅建筑特征:建筑年代、建筑面积、建筑户型以及房屋使用方式等,其中房屋使用方式分为短期租赁(1 a及以下)、长期租赁(1 a以上)、产权人自住;
∙ 家电设备特征:家电设备数量、家电能效等级、各家电设备额定功率和使用时间等;
∙ 用能行为:家庭典型的空调行为、照明行为以及电器行为等;
∙ 能源消耗特征:各用能行为的用电量、家庭年用电量和用气量等;
∙ 可再生能源:太阳能热水器和光伏发电板数量等。
为了充分挖掘家庭用能画像标签间的关系,构建了城镇住宅家庭用能画像标签矩阵,细分为6个维度18个子组,如图 2所示。聚类标签中,括号内的数值n表示该数据位于351×32矩阵的第n列,例如标签1(1)表示“家庭人口”数据位于351×32矩阵的第1列;标签2(2—3)表示“家庭结构”数据位于351×32矩阵的第2、3列,因为家庭结构包括2个子标签。
|
| 图 2 城镇住宅家庭用能画像标签矩阵 |
标签矩阵大小因分类数量而异,其中家庭结构包括家庭14岁以下少儿人数和60岁以上老年人数;教育程度包括初中及以下、高中或中专、专科、本科、研究生及以上共5个学历层次的家庭成员人数;成员年龄包括0~6岁、7~17岁、18~40岁、41~65岁、66岁及以上5个年龄层次的家庭成员人数;空调行为则分为单次运行时长及温度设定值;照明行为指灯具每天平均使用时间;电器行为指电器待机产生的能耗;行为消耗包括空调、照明、炊事、生活热水和家用电器5种用能行为的用电量;年用电量则为5种用能行为的用电量之和;年用气量为燃气灶和燃气热水器2类设备的用气量之和;太阳能设备指家中太阳能热水器和光伏发电板的数量。
2.3 家庭用能画像标签最优子集本文首先对家庭用能数据进行标准化处理。由聚类一般经验法则[18]可知,最优的聚类k值通常介于kmin=2和kmax=P1/2之间。图 2中共18个标签(P=18),故最佳聚类数应在2和4之间。最后,采用k-means算法对家庭用能数据集进行聚类。经初步计算,用能数据集聚类的轮廓系数为0.19,而一般当轮廓系数大于0.5时,聚类效果才为良好。
因此,进一步采用穷举搜索法求出家庭用能画像18个标签在不同组合方式下262 143个(2P-1,P=18)子集,分别计算每个子集的轮廓系数,结果如图 3所示。该方法虽运算时间较长,但在全局范围内进行搜寻,可确保充分挖掘出家庭用能画像标签间的关系。
|
| 图 3 城镇住宅家庭用能画像标签数量与轮廓系数的关系 |
由图 3可知,随着家庭用能画像标签数量减少,用能数据集的轮廓系数逐渐呈现上升趋势,且当标签数量≤9个时,用能数据集的轮廓系数达到良好。因此,有必要对城镇住宅家庭用能画像标签进行特征选择,筛选出标签最优子集。
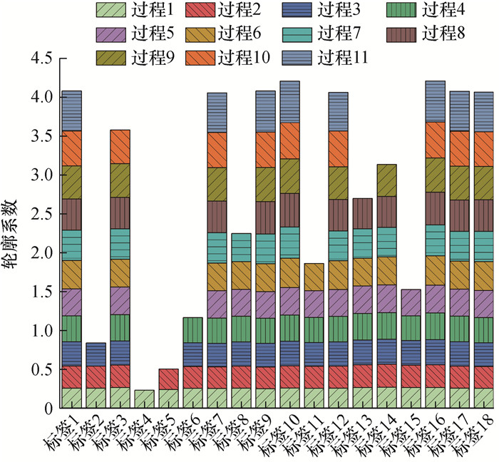
本文采用向后特征选择法[19],基于标签在不同家庭用能画像标签组合中的平均轮廓系数,逐个剔除城镇住宅家庭用能画像标签体系中不显著的标签。当剔除某标签无法产生聚类效果更好的子集且当前所余标签的聚类效果良好时,标签剔除过程终止,即可获得家庭用能画像标签最优子集。标签剔除过程中各标签的平均轮廓系数,详见图 4。
|
| 图 4 标签剔除过程中各标签的平均轮廓系数 |
在过程11完成标签剔除后,家庭用能数据集聚类的轮廓系数为0.53,聚类效果良好。此时,得到的城镇住宅家庭用能画像的标签最优子集由8个标签组成:家庭人口(标签1)、建筑面积(标签7)、房屋使用方式(标签9)、家电设备数量(标签10)、空调行为(标签12)、年用电量(标签16)、年用气量(标签17)和太阳能设备(标签18)。
2.4 家庭用能画像分类本节基于上述家庭用能画像标签最优子集对351户京津冀地区城镇住宅家庭聚类。首先,利用肘部法则确定最优的聚类k值。如图 5所示,SSE值下降的明显转折点为k=4,故以k=4为样本最优的聚类k值。然后,再次采用k-means算法对351户城镇住宅家庭用能数据集进行聚类,最终将城镇住宅家庭用能画像分为4类。4类城镇住宅家庭的用能画像标签最优子集中家庭人口、建筑面积、房屋使用方式、家电设备数量、空调行为、年用电量、年用气量和太阳能设备8个标签的平均值及各类家庭的样本量如表 1所示。
|
| 图 5 基于肘部法则的k值选择 |
| 样本量及维度 | 标签 | C1 | C2 | C3 | C4 |
| 样本量/户 | 95 | 129 | 78 | 49 | |
| 家庭属性 | 家庭人口 | 3.64 | 2.58 | 1.74 | 2.65 |
| 建筑特征 | 建筑面积/m2 | 88.46 | 72.81 | 48.78 | 78.06 |
| 房屋使用方式 | 2.84 | 2.88 | 1.71 | 2.78 | |
| 家电设备 | 家电设备数量/个 | 22.52 | 16.97 | 11.05 | 15.51 |
| 用能行为 | 单次运行时长/h | 9.24 | 6.90 | 5.06 | 3.86 |
| 设定温度/℃ | 22.20 | 23.98 | 24.44 | 25.80 | |
| 能源消耗 | 年用电量/(kW·h) | 2 809.28 | 2 229.26 | 1 648.21 | 1 898.05 |
| 年用气量/m3 | 190 | 139.01 | 103.98 | 233.90 | |
| 可再生能源 | 太阳能设备/个 | 0.85 | 0.56 | 0.62 | 1.47 |
| 注:为量化指标,对房屋使用方式指标赋值:短期租赁赋值1、长期租赁赋值2、产权人自住赋值3。单次运行时长、设定温度都隶属于空调行为标签。 | |||||
为清晰展示不同类型家庭的样本分布,采用t分布随机近邻嵌入(t-distributed stochastic neighbor embedding, TSNE)降维法将多维数据转化为2维数据进行可视化,如图 6所示。图 6的聚类结果进一步验证了基于标签平均轮廓系数进行特征选择的正确性以及家庭用能画像标签最优子集聚类的有效性。
|
| 图 6 TSNE降维后的4类家庭样本分布图 |
通过家庭用能画像标签最优子集的8个标签,可分析京津冀地区4类城镇住宅家庭的用能特征,如图 7a—7g和7i所示,此外图 7h分析了各用能行为的用电量。其中1.5IQR代表 1.5倍四分位距(interquartile range,IQR)。由图 7和表 1可知,第1类家庭(C1)的家庭人口、建筑面积、家电设备数量、空调单次运行时长和年用电量在4类家庭中均值最高,且空调温度设定最低,此类家庭在日常生活中偏向舒适环境,不在意能源消耗,不关心能源费用支出,特别注重生活的品质,因此将该类家庭命名为用能品质型家庭;第2类家庭(C2)的家电设备数量、空调单次运行时长和年用电量均值较高,且空调温度设定较低,太阳能设备拥有率最低,此类家庭的节能意识亟待提高,用能行为习惯亟待改变,节能潜力最大,因此将该类家庭命名为节能潜力型家庭;第3类家庭(C3)的家庭人口、建筑面积、房屋使用方式、家电设备数量和年用气量在4类家庭中均值最低,通过访谈可知此类家庭空调运行时间基本集中在夜间,家中白天通常无人,用能主要集中在早晨和夜间,因此将该类家庭命名为用能规律型家庭;第4类家庭(C4)的空调单次运行时长和年用电量均值最低,空调设定温度和年用气量均值最高,且太阳能设备拥有率最高,此类家庭倾向于节约能源,有较强的环保意识,因此将该类家庭命名为节能环保型家庭。
|
| 图 7 家庭用能画像标签分布图 |
本文研究的京津冀地区城镇住宅351户家庭样本中,用能品质型、节能潜力型、用能规律型和节能环保型家庭占比分别为27%、37%、22%和14%。其中节能环保型家庭占比最低,仅有49户,而用能品质型、节能潜力型和用能规律型家庭分别为95户、129户和78户,这说明京津冀地区大部分城镇住宅家庭能耗较高,开展精准化节能引导十分必要。
3 结果讨论京津冀地区城镇住宅不同类型家庭之间能源消耗差异显著。本文利用Word Art构建城镇住宅家庭用能画像标签云,其中家庭用能画像标签最优子集的8个标签大小取决于聚类结果的平均值,其他标签则选取调查问卷中出现频数较高的选项,结果如表 2所示。结合第2章中家庭用能画像类型统计,本文将对4类城镇住宅家庭用能画像进行特征分析。
3.1 用能品质型家庭用能画像分析
用能品质型家庭以四口之家为主,多为上班族夫妻与子女同住,且大部分家中有14岁以下儿童,家庭月均收入大部分在2万元以上,属于高收入家庭。此类家庭大功率家电拥有率较高,但高能效家电设备数量占比不高,关闭家电电源的方式多为直接使用遥控器待机,属于长久待机型;27%的家庭没有光伏发电板或太阳能热水器等太阳能设备。具体情况如图 7a—7e及表 1所示。
此类家庭空调设定温度以21~23 ℃为主,单次运行时长以8~10 h为主,通常到家就开启空调,属于到家即开型。年均用电量在4类家庭中最高,空调用电量占总用电量的41.7%,家用电器用电量占38.8%,明显高于其他3类家庭,家庭成员追求舒适感。年均用气量仅次于节能环保型家庭,在家做饭的频率多为2次/d,且常使用微波炉、电烤箱等高功率厨具。具体情况如图 7f—7i所示。
3.2 节能潜力型家庭用能画像分析节能潜力型家庭以三口之家为主,多为上班族夫妻与子女同住,小部分为退休老人与上班族夫妻同住,家庭月均收入主要集中在1~1.5万元,属于中高收入家庭。此类家庭高能效家电占比较低,关闭家电电源的方式多为直接使用遥控器待机,属于长久待机型;50%的家庭没有光伏发电板或太阳能热水器等太阳能设备,可再生能源利用率低。具体情况如图 7a—7e及表 1所示。
此类家庭空调温度设定以22~24 ℃为主,单次运行时长以6~8 h为主,平均为6.9 h。家用电器用电量占总用电量的40.1%,在4类家庭用能画像中占比最高,主要原因是此类家庭节能知识较匮乏,对能源消费不敏感,且家电能效较低,电脑、电视等设备使用较为频繁,使用时长多为30~45 min。具体情况如图 7f—7i所示。
3.3 用能规律型家庭用能画像分析用能规律型家庭以两口之家为主,多为上班族夫妻,小部分为单身上班族,家庭月均收入主要分布在1.5~2万元和2万元以上。此类家庭大部分是租户,35%是短期租赁,62%是长期租赁;家中高能效家电占比极低,大部分是四级、五级能效家电,且47%的家庭中没有光伏发电板或太阳能热水器等设备,亟待更换高效节能家电及可再生能源设备。具体情况如图 7a—7e及表 1所示。
此类家庭虽然空调单次运行时长较短,主要集中在4~6 h,但空调设定温度却较低,通常在晚上休息时开启,属于固定作息型。此类家庭的年均用电量、用气量在4类家庭用能画像中最低,因为此类家庭大多是租户,家电设备数量有限,亦不倾向于购买新家电,且在家时间有限,午、晚餐大部分选择在外就餐,白天基本不产生用能行为。具体情况如图 7f—7i所示。
3.4 节能环保型家庭用能画像分析节能环保型家庭以三口之家为主,多为上班族夫妻与子女同住,小部分为退休老人与孙子女同住,家庭月均收入主要分布在1~1.5万元。此类家庭高能效家电占比较高,且53%的家庭拥有1种太阳能设备,49%的家庭拥有2种太阳能设备,节能环保意识较强。具体情况如图 7a—7e及表 1所示。
此类家庭空调设定温度主要集中在25~27 ℃,且满足自身舒适性后会升高空调温度,单次运行时长以3~4 h为主,具有间歇使用特点,且一般在室内温度达到31~33 ℃时才会开启空调,属于室温调节型。空调用电量仅占总用电量的31.2%,在4类家庭画像中占比最低;而炊事用电量、年均用气量在4类家庭画像中占比最高,主要原因是此类家庭一日三餐以在家做饭为主,炊事设备使用时长较长。具体情况如图 7f—7i所示。
3.5 节能引导建议用能品质型家庭大部分有14岁以下儿童,节能意识较薄弱,因此学校可开设节能相关课程,从而构建学生与学生、学生与家长之间的多重节能正向反馈机制,提升家庭成员的能源素养;政府可进一步完善节能产品认证制度以及能效标准,引导家庭主动了解所购家电的能效等级,提高家庭更换高效节能家电的意向;社区可宣传节能环保型家庭模范,为用能品质型家庭提供节能经验,营造实施节能行为的良好社区氛围。
针对节能潜力型家庭,政府可通过电视、报纸、网络等渠道加大节能知识宣传,如空调温度每调高1 ℃可节电7%~10%等;拓展节能经济激励政策,如通过节能家电补贴和价格调节等措施鼓励家庭购买高效节能家电;加强用能信息干预的力度和效度,提高家庭对其能源消耗情况的认知;鼓励安装分布式光伏板,扩大可再生能源项目在家庭中应用的范围。
用能规律型家庭大多是租户,主动更换家电意愿不高,政府可通过多种渠道宣传节能家电的长期效益以及节能家电补贴政策,引导他们更换高效节能家电;条件具备时,政府也可考虑制定相关政策,要求业主在房屋出租时符合一定的节能标准,倒逼业主对房屋进行节能改造,由政府、业主、租户三方协同来降低住宅建筑能耗。
4 结论本文基于京津冀地区城镇住宅家庭能源使用特征,从家庭属性、建筑特征、家电设备、用能行为、能源消耗和可再生能源使用6个维度,构建了18个标签,结合特征选择和k-means聚类算法构建了家庭用能画像分析过程模型,提出了京津冀地区城镇住宅家庭用能画像刻画方法。
1) 基于文献研究法提取城镇住宅家庭用能画像标签要素,从家庭属性、建筑特征、家电设备、用能行为、能源消耗及可再生能源使用6个维度对城镇住宅家庭能源使用情况及行为特征进行概念剖析与标签分类,构建京津冀地区城镇住宅家庭用能画像多维度特征标签体系。
2) 基于穷举搜索法和向后特征选择法从家庭用能画像标签体系中筛选出家庭用能画像标签最优子集,最优子集包括家庭人口、建筑面积、房屋使用方式、家电设备数量、空调行为、年用电量、年用气量和太阳能设备8个标签。
3) 结合家庭用能画像标签最优子集进行聚类分析,获得了用能品质型、节能潜力型、用能规律型和节能环保型4类具有显著特征的家庭用能画像,并详细分析了4类家庭的用能特征。针对用能品质型、节能潜力型、用能规律型家庭,提出了精准化节能引导建议,为相关部门整体掌握京津冀地区城镇住宅家庭用能特征以及进一步制定节能引导策略提供新的思路。
本文存在以下局限:1) 由于城镇住宅家庭不同用能行为的能源消耗数据采集难度大,故本文进行了简化处理,仅对家庭用电量、用气量进行了理论估算,可能对结果准确性造成一定影响;2) 不同气候区域的城镇住宅家庭用能特点差异较大,本文面向以京津冀地区为代表的温带季风气候区域构建了家庭用能画像,今后可进一步拓展本文方法构建其他气候区域城镇住宅家庭用能画像,为相关部门制定精准节能引导策略提供参考借鉴。
| [1] |
中国建筑节能协会, 重庆大学城乡建设与发展研究院. 中国建筑能耗与碳排放研究报告(2022年)[J]. 建筑, 2023(2): 57-69. China Association of Building Energy Efficiency, Institute of Urban-Rural Construction and Development, Chongqing University. Research report on building energy consumption and carbon emissions in China (2022)[J]. Construction and Architecture, 2023(2): 57-69. (in Chinese) |
| [2] |
王春艳, 张景翔, 龙洁, 等. 基于面板数据回归模型的家庭水-能消费时空特征与影响因素[J]. 清华大学学报(自然科学版), 2022, 62(3): 614-626. WANG C Y, ZHANG J X, LONG J, et al. Panel data regression model for identifying the spatiotemporal characteristics and key factors influencing household water-energy consumption[J]. Journal of Tsinghua University (Science and Technology), 2022, 62(3): 614-626. DOI:10.16511/j.cnki.qhdxxb.2021.26.021 (in Chinese) |
| [3] |
KUANG B, SCHELLY C, OU G, et al. Data-driven analysis of influential factors on residential energy end-use in the US[J]. Journal of Building Engineering, 2023, 75: 106947. DOI:10.1016/j.jobe.2023.106947 |
| [4] |
IRAGANABOINA N C, ELURU N. An examination of factors affecting residential energy consumption using a multiple discrete continuous approach[J]. Energy and Buildings, 2021, 240: 110394. |
| [5] |
LEE S J, SONG S Y. Time-series analysis of the effects of building and household features on residential end-use energy[J]. Applied Energy, 2022, 312: 118722. DOI:10.1016/j.apenergy.2022.118722 |
| [6] |
HU S, YAN D, GUO S Y, et al. A survey on energy consumption and energy usage behavior of households and residential building in urban China[J]. Energy and Buildings, 2017, 148: 366-378. DOI:10.1016/j.enbuild.2017.03.064 |
| [7] |
ABRAHAMSE W, STEG L. How do socio-demographic and psychological factors relate to households' direct and indirect energy use and savings?[J]. Journal of Economic Psychology, 2009, 30(5): 711-720. DOI:10.1016/j.joep.2009.05.006 |
| [8] |
周成栋, 刘猛, 李子桥, 等. 家庭结构对住宅空调使用时间的影响及关联性分析[J]. 土木与环境工程学报(中英文), 2024, 46(2): 188-196. ZHOU C D, LIU M, LI Z Q, et al. The influence of family structure on operation time of residential air-conditioning and correlation analysis[J]. Journal of Civil and Environmental Engineering, 2024, 46(2): 188-196. (in Chinese) |
| [9] |
HAO P, YIN S M, WANG D, et al. Exploring the influencing factors of urban residential electricity consumption in China[J]. Energy for Sustainable Development, 2023, 72: 278-289. DOI:10.1016/j.esd.2022.12.015 |
| [10] |
BEDIR M, HASSELAAR E, ITARD L. Determinants of electricity consumption in Dutch dwellings[J]. Energy and Buildings, 2013, 58: 194-207. DOI:10.1016/j.enbuild.2012.10.016 |
| [11] |
王丞. 我国绿色建筑和低碳建筑评价体系的发展比较及优化建议[J]. 建筑科学, 2023, 39(2): 235-244. WANG C. Comparison of the development for green building and low-carbon building evaluation systems in China and optimization suggestions[J]. Building Science, 2023, 39(2): 235-244. (in Chinese) |
| [12] |
徐芳, 应洁茹. 国内外用户画像研究综述[J]. 图书馆学研究, 2020(12): 7-16. XU F, YING J R. A review of user profile research at home and abroad[J]. Researches on Library Science, 2020(12): 7-16. (in Chinese) |
| [13] |
杨敏, 李宏伟, 任怡凤, 等. 基于旅客异质性画像的公铁联程出行方案推荐方法[J]. 清华大学学报(自然科学版), 2022, 62(7): 1220-1227. YANG M, LI H W, REN Y F, et al. Road-rail intermodal travel recommendations based on a passenger heterogeneity profile[J]. Journal of Tsinghua University (Science and Technology), 2022, 62(7): 1220-1227. DOI:10.16511/j.cnki.qhdxxb.2022.26.011 (in Chinese) |
| [14] |
江亿, 彭琛, 胡姗. 中国建筑能耗的分类[J]. 建设科技, 2015(14): 22-26. JIANG Y, PENG C, HU S. Classification of building energy consumption in China[J]. Construction Science and Technology, 2015(14): 22-26. (in Chinese) |
| [15] |
清华大学建筑节能研究中心. 中国建筑节能年度发展研究报告2021[M]. 北京: 中国建筑工业出版社, 2021. Building Energy Conservation Research Center, Tsinghua University. 2021 Annual report on China building energy efficiency[M]. Beijing: China Architecture & Building Press, 2021. (in Chinese) |
| [16] |
TETE K H S, SORO Y M, SIDIBÉ S S, et al. Urban domestic electricity consumption in relation to households' lifestyles and energy behaviours in Burkina Faso: Findings from a large-scale, city-wide household survey[J]. Energy and Buildings, 2023, 285: 112914. DOI:10.1016/j.enbuild.2023.112914 |
| [17] |
杨俊闯, 赵超. K-Means聚类算法研究综述[J]. 计算机工程与应用, 2019, 55(23): 7-14, 63. YANG J C, ZHAO C. Survey on K-Means clustering algorithm[J]. Computer Engineering and Applications, 2019, 55(23): 7-14, 63. (in Chinese) |
| [18] |
杨善林, 李永森, 胡笑旋, 等. k-means算法中的k值优化问题研究[J]. 系统工程理论与实践, 2006(2): 97-101. YANG S L, LI Y S, HU X X, et al. Optimization study on k value of k-means algorithm[J]. Systems Engineering— Theory & Practice, 2006(2): 97-101. (in Chinese) |
| [19] |
OFETOTSE E L, ESSAH E A, YAO R M. Evaluating the determinants of household electricity consumption using cluster analysis[J]. Journal of Building Engineering, 2021, 43: 102487. DOI:10.1016/j.jobe.2021.102487 |



