2. 山西省高速公路集团有限责任公司 山西高速集团朔神有限责任公司,朔州 036000
2. Shanxi Expressway Group Shuoshen Co., Ltd., Shanxi Provincial Expressway Group Co., Ltd., Shuozhou 036000, China
随着社会经济水平的持续发展和人们对生活质量要求的不断提高,中国的交通隧道工程建设规模和数量在总体上呈不断增长的趋势,截至2023年年底,中国公路隧道总里程达3 023.18万延米,总数量达27 297处[1]。然而,隧道是狭长受限空间,一旦发生火灾,产生的高温烟气和有毒有害气体难以排出,同时,烟气的扩散沉降会降低能见度,极易造成大量的人员伤亡和财产损失。
全尺寸试验和数值模拟方法是研究隧道火灾烟气流动规律、开展烟气控制参数计算和防排烟设计的重要手段。Yan等[2]在海拔4 100 m的公路隧道内进行多次池火试验,通过对比,发现了无量纲温度在高海拔处衰减更慢。文[3-4]在含竖井的公路隧道内开展了全尺寸火灾试验,验证了竖井自然通风的有效性。针对车辆碰撞可能引起的双源火灾,Guo等[5]通过设计公路隧道的双火源火灾场景,分析了双火源之间的相互作用影响机制和烟气流动特性。陈俊沣等[6]通过在公路隧道中开展甲醇池火燃烧试验,分析了隧道火灾全尺寸试验中温度测量的不确定性。与全尺寸试验相比,数值模拟能获取更多测量参数。通过构建更加复杂的火灾场景,可对隧道火灾场景的火源规模、烟气热物性参数、烟气扩散速度、烟气层高度、烟气组分浓度等火灾危险性指标开展研究[7-12]。
目前,针对隧道火灾的防排烟设计主要采用纵向、半横向、全横向3种排烟模式,其中,纵向排烟模式具有技术难度低、投资造价及运营费用低等优点,在隧道防烟中的应用最为广泛[13]。Oka等[14]以无量纲火源热释放速率为判据,建立了临界风速模型。在此基础上,部分学者进一步研究了坡度、车辆障碍物、火源位置等因素对临界风速的影响[15-17]。针对复杂结构隧道或大断面隧道,纵向排烟模式难以有效将烟气排出,往往采用多种通风方式联动的通风排烟模式。在通风排烟模式方面,Du等[18]在环线隧道内划分了排烟岔道、火源上游防烟岔道和火源下游防烟岔道,将环线隧道的防排烟设计转变为分岔隧道的防排烟设计,极大地简化了隧道通风方案的优化过程。Li等[19]基于上述类似划分方法,从压强变化的角度推导了隧道最优的纵向通风策略,可为隧道的应急通风设计提供参考。文[20-21]结合实际工程项目,对不同半径的曲线隧道的纵向通风临界风速进行研究和分析,建立了曲线隧道的最优纵向通风模型,研究成果可为相关标准的编制提供参考。Yu等[22]通过改变排烟口和送风口的开关组合形式,对比分析了不同横向排烟方案下的隧道顶棚温度分布,提出最优热烟控制策略为从火源的下游方向送风,该通风方案可应用于带坡度隧道的横向通风系统的优化设计中。
现有研究集中于单洞或分岔隧道,缺少对双洞长距离隧道场景下的火灾试验研究,本文针对双洞长距离公路隧道开展了典型火灾场景下的全尺寸试验,研究自然通风条件下火灾烟气扩散特性和温度分布规律,获取双洞隧道火灾基础数据,同时基于全尺寸试验结果,进一步通过数值模拟分析讨论了火灾情况下的双洞通风排烟联动模式,研究结果可为类似结构的隧道工程防排烟设计提供数据支撑和技术参考。
1 研究方法 1.1 研究对象本试验所在隧道为分离式长高速公路隧道,采用双洞2车道单向独立隧道模式设计,设计速度为100 km/h,其中,左线长1 898 m,右线长1 870 m。两线之间通过2条车行横洞和2条人行横洞相连,由于试验期间隧道的人行横洞处于关闭状态,因此省略相关结构,试验隧道的整体情况如图 1所示。经过现场调研和与相关单位交流沟通,试验在以隧道左线与2#车行横洞连接处为中心的180 m范围内开展,为后续分析方便,将隧道一侧定义为A端,另一侧定义为B端。隧道主洞路面宽9.25 m,建筑限界净高5 m,地面至顶部最高处的距离为8.1 m。隧道左线放置10台射流风机,其中4台靠近A端,6台靠近B端;隧道右线放置8台射流风机,隧道2侧出口附近各放置4台,火灾情况下全部开启,可产生168.25 m3/s的通风量。常态运营下,隧道风机正向送风,方向与行车方向一致,当隧道内发生火灾时,风机可反转进行反向送风。
|
| 图 1 试验隧道示意图(单位:m) |
1.2 全尺寸试验 1.2.1 测量系统
本试验通过分布式测温电缆测量隧道火灾烟气的纵向与竖向分布,测试系统布置和火源位置如图 2所示。试验火源设置于左线隧道与2#车行横洞的连接区域,横向方向位于隧道中线上,模拟隧道火灾疏散关键节点位置的起火情形。利用隧道内现有设施设备,在距地面7 m处悬挂若干测温电缆,其中,在火源两侧各布置12根测温电缆,单根电缆上的测温传感器分布如图 3所示(1#—10#为热电偶编号),以6根为一组依次编号CH1-1—CH4-6,其中,与火源距离较近的2组电缆间距为5 m,较远的2组电缆间距为10 m,总测量区域覆盖范围180 m。测温电缆的测量量程和精度分别为0~127 ℃和0.125 ℃,测量误差为±0.1%,利用LTM-8000采集模块对温度数据进行实时记录。同时在火源上风向12 m处及车行横洞入口处布置风速测点,风速仪距地面1.5 m,用于记录隧道内的气流运动情况。
|
| 图 2 全尺寸试验测量系统布置图 |
|
| 图 3 测温电缆示意图 |
1.2.2 试验火源
模拟火源采用截面长和宽为59 cm×42 cm的铁制油盘盛放燃料,燃料选用柴油,利用电子天平称量试验过程中单个油盘的燃料质量损失,如图 4所示,选取燃烧达到准稳态阶段的质量损失曲线,测得的质量损失速率k约为0.0126 kg/s; R2为拟合曲线的相关指数。火源的热释放速率表示如下[23]:
| $ \dot{Q}=\chi \cdot \dot{m}_{\mathrm{f}} \cdot \Delta H $ | (1) |
|
| 图 4 单个油盘的燃料质量损失曲线 |
其中:
本文共开展4组试验,工况如表 1所示。试验在1 d内完成,环境条件相对稳定,在自然通风条件下开展2组试验,改变油盘数量,对比不同火源功率下的火灾烟气扩散特性和运移规律,同时开启机械风机,比较风机开启前后的控烟效果变化。由于隧道的初始温度低于0 ℃,超出测温电缆量程,因此,测量结果缺少低于0 ℃的温度数据。
1.3 数值模拟
利用火灾动力学模拟软件(Fire Dynamics Simulator,FDS),以试验隧道为原型构建数值模型(见图 5),获取试验中未测量的车行横洞和右线隧道数据,并研究不同通风模式下的烟气扩散情况和排烟效果。数值模型的主隧道长1 900 m,截面尺寸与试验隧道一致,车行横洞尺寸为24 m×6 m×5 m,火源设于2#车行横洞与左线隧道连接区域中线上,燃烧截面尺寸为2.4 m×0.8 m。由于火源位于左线隧道,含紧急停车带段,因此,相应的2#车行横洞附近区域的网格尺寸设置较小,为0.5 m×0.5 m×0.5 m,其余区域的网格尺寸设为1 m×1 m×1 m,总网格数约84万。
|
| 图 5 隧道模型及测点示意图 |
与全尺寸试验相对应,数值模拟设置
|
| 图 6 数值模型通风系统 |
| 工况编号 | 左线 | 右线 | v/(m·s-1) | ||||
| A端 | B端 | A端 | B端 | ||||
| test1 | 3.5 | — | — | — | — | — | |
| test2 | 5.2 | ||||||
| test3 | 3.5 | — | S | — | — | 1.0 | |
| test4 | 1.5 | ||||||
| test5 | 2.0 | ||||||
| test6 | 3.0 | ||||||
| test7 | 3.5 | E | S | — | — | 1.5 | |
| test8 | E | S | S | — | |||
| test9 | E | S | S | S | |||
| test10 | S | E | E | S | |||
| test11 | S | E | S | S | |||
| test12 | S | S | E | S | |||
| test13 | S | S | E | E | |||
| test14 | S | S | E | — | |||
| test15 | E | E | S | S | |||
| test16 | S | S | S | E | |||
| 注:E表示隧道口设置为排烟(exhaust);S表示隧道口设置为送风(supply)。 | |||||||
2 全尺寸试验结果与分析 2.1 气流速度
试验过程中,左线隧道内存在由B端(出口)向A端(入口)的定向自然气流,与车行方向相反,若定义上风向为火源上游,则当发生火灾时,火源上游12 m处(风速测点V#2)的风速变化情况如图 7a所示。在第1组试验中,火源上游风速约2.5 m/s,其余3组试验中的自然风速相对较大,约2.8~3.5 m/s。与过去在其他地下隧道工程(如地铁隧道[26](< 0.5 m/s)、水电站隧洞[27](0.5~0.9 m/s)、其他公路隧道[28](0.6~1.1 m/s))开展的全尺寸火灾试验相比,本试验的自然风速明显较大,自然风对火灾烟气的强迫作用明显,试验规律存在差别。本试验在隧道和车行横洞的连接口处(风速测点V#1)测量记录了风速变化,如图 7b所示,方向为由车行横洞吹向主线隧道,整个试验过程中的风速小于1.2 m/s,对左线隧道起火产生的烟气向右线的扩散有限制效果。
|
| 图 7 隧道风速变化 |
2.2 火源上下游烟气温度分布
未开启机械风机时,火源上下游的竖向烟气温度分布如图 8—9所示。当采用8个油盘时,火源功率较小,热烟气在火源上游逆流过程中,距离火源较近的位置受热辐射作用更强[29],同时,上升的热烟气受自然风带来的大量新鲜空气影响,温度降低,导致测量的最高点的温度并非最高,温度最高点出现在距离地面高度H为3 m的位置,当H为3~4 m时,区域整体温度较高。随着火源功率的增大,当采用12个油盘时,上升的热烟气温度更高,竖直方向上测量最高点的温升已与H为3 m处相近。在火源下游,烟气层相对稳定,随着距离地面高度的增大,烟气温度逐渐升高,上下游的最高烟气温度相近,高温区域集中在4 m以上,4 m以下的温度低于5 ℃。隧道常规通风方向与行车方向一致,与自然风方向相反,本试验中的机械通风主要通过开启远端风机送风,开启机械通风可减轻自然风的掺杂作用,使得火源上游烟气层分布趋于稳定,如图 10—11所示,在竖直方向上,火源上游烟气温度随高度的增大逐渐升高。由于机械通风与自然通风方向相反,因此,新鲜风掺杂量的减少使得通风带来的冷却效应减弱,导致机械通风下的温度高于自然通风,最高温度提高5~10 ℃。
|
| 图 8 工况1下的火源上下游烟气温度对比 |
|
| 图 9 工况2下的火源上下游烟气温度对比 |
|
| 图 10 工况3下的火源上下游烟气温度对比 |
|
| 图 11 工况4下的火源上下游烟气温度对比 |
2.3 烟气扩散情况
隧道中发生火灾后,施加纵向通风是最常用的一种通风方式[30],可将火灾产生的热烟气吹向下游,抑制热烟气向上游扩散,从而为人员的安全疏散提供有利环境。但是,如果纵向通风的速率偏小或者火灾的热释放速率过大,则纵向通风无法抑制顶棚热烟气向上游蔓延,从而形成烟气逆流。本试验中的自然风风速虽然较大,但仍未达到完全抑制火灾烟气逆流的临界风速值,因此也出现了逆流现象。图 12为测量记录的最高测点温升随测量点与火源距离的变化趋势。图 13为现场影像记录,设X为测量线缆与火源纵向距离,其中火源上游为正方向,在自然风作用下,上游的最高点温升快速降至0 ℃以下,在90 m的测量区域范围内,火源下游的温升均高于8 ℃,烟气扩散充满火源下游的隧道区域,此时由A端进入、位于火源下游的车辆的能见度骤降,面临极大风险,需立刻采取措施,封闭隧道入口。根据温升数据,当火源采用12个油盘时,上游25 m处的温度保持不变,20 m处的温升高于10 ℃,烟气最远逆流范围为20~25 m;当火源采用8个油盘时,上游15 m处的温度保持不变,10 m处的温升高于20 ℃,烟气最远逆流范围为10~15 m,与图 13的影像记录一致。对于火源上游的车辆来说,自然风限制了烟气的扩散,减轻了烟气的危险性,火灾发生后应立刻沿行车方向快速离开隧道。
|
| 图 12 测量最高点的温升分布 |
|
| 图 13 烟气逆流现场图 |
2.4 火焰形态特征
自然风会引入水平方向动量与火焰羽流浮力的对抗耦合作用,导致羽流偏离竖直方向[27]。在强自然风作用下,火焰会倾斜,并沿自然风方向伸长,使得燃烧面积增大,导致火灾在相邻的可燃物之间蔓延。由于使用柴油作为燃料,受点火方式和燃料性质的影响,点火后初始阶段,柴油的燃烧并不剧烈,仅油面起火,因此,在点火后,温度不会立刻出现明显上升,烟气量小且运动缓慢。经过一段时间后,火源的燃烧变得剧烈,选取开始出现温升至燃烧平稳段的火焰特征进行分析,图 14为工况3点火后,第270~500 s内的火焰倾角和长度变化,火焰倾角为火焰和法向之间的夹角。燃烧早期仅油面起火,热浮力不足,自然风导致火焰伸长,增加卷吸面积,并获得足够支持燃烧的空气,使得燃料充分燃烧。随着燃烧加剧,热浮力逐渐增大,由于火焰倾角由自然风的惯性力与竖直向上的浮力对抗决定,当热释放速率较大时,羽流浮力较大,并导致火焰倾角较小,因此使选取的时段内的火焰倾角逐渐减小。对于火焰长度来说,随着热释放速率的增大,羽流浮力增大,并导致火焰体积增大,火焰长度随之增大。
|
| 图 14 火焰形态及参数变化(工况3) |
3 数值模拟结果 3.1 全尺寸试验结果对比
全尺寸试验测量最高点温升与数值模拟对比如图 15所示,在火源下游40 m附近,隧道由含停车带段过渡至不含停车带段,隧道截面尺寸减小,烟气在此处发生蓄积,导致局部温升较高,而在全尺寸试验中,受现场条件限制,未在相应区域布设测点,其他区域的数值模拟数据与试验数据具有相近的分布规律,表明模型具有较高可信度。
|
| 图 15 全尺寸试验测量最高点温升与数值模拟对比 |
3.2 纵向通风影响
起火隧道B端送风风速的变化对烟气扩散的影响如图 16所示,图 16a—16c为风速1.0~3.0 m/s时隧道左线、右线、2#车行横洞等3个不同区域的顶棚温度分布情况。随着风速由1.0 m/s增至3.0 m/s,在左线隧道内,火灾烟气向上风向的逆流受到越来越强的约束,烟气逆流量逐渐减少,同时受送入新鲜空气的冷却效果影响,火源附近的温度也有所下降。此外,送风量的增大加强了隧道内的负压,导致烟气更容易从左线扩散至右线,如图 16b所示,升温范围由最初的车行横洞口逐渐扩大至整个右线含紧急停车带区域。图 16c为2#车行横洞内的顶棚温度分布情况,可以发现,随着送风风速的增大,横洞内的温度显著升高,证明有更多的烟气经由车行横洞进入右线。
|
| 图 16 左线隧道B端送风模式下的温度分布情况 |
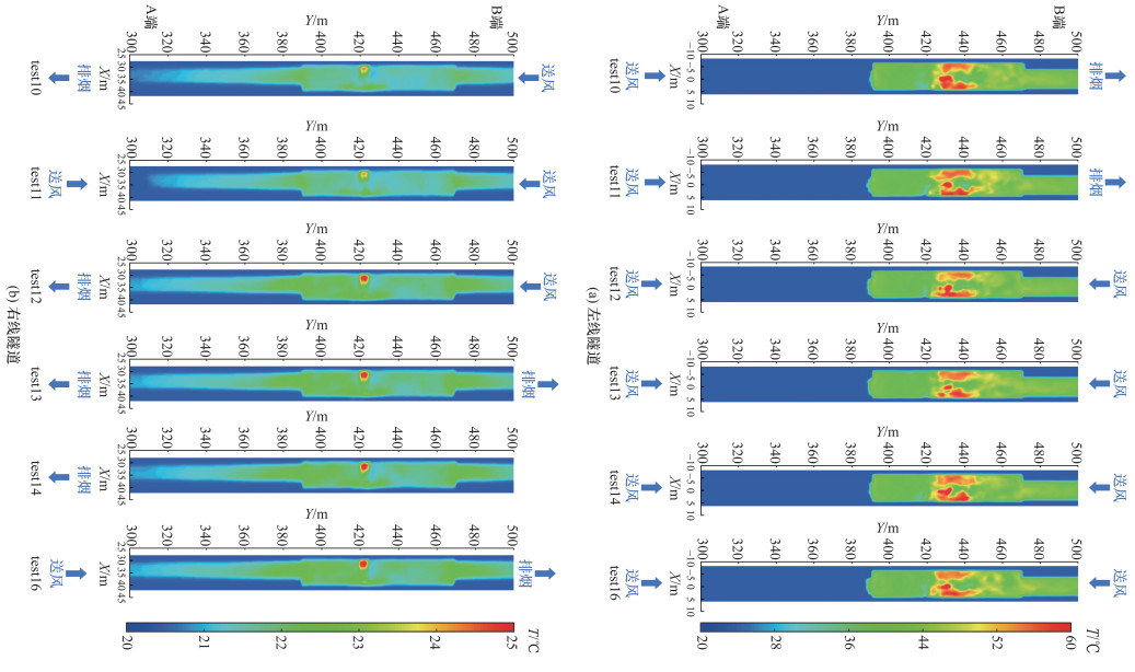
3.3 通风模式对比
将表 2中的test 4作为对照组,将test 7、8、9、15作为试验组(共同点是左线A端均排烟),与对照组进行比较,如图 17所示。与仅左线B端送风工况相比,当左线A端开启排烟后,左线内的温度明显下降,烟气向左线B端的扩散主要受B端风机开启模式影响,受右线通风方式影响较小,当B端风机采用送风模式时,烟气向B端的扩散存在明显的逆流极限距离,约为70 m。当左线A端开启排烟后,右线隧道无须开启机械通风,烟气便被阻隔在左线隧道内部而未扩散进右线隧道,综合考虑控制效果和经济,左线隧道A端排烟B端送风、右线隧道自然通风模式的效益较优。
|
| 图 17 左线隧道A端排烟模式下的温度分布情况 |
同时比较左线A端送风下的各种模式的烟气分布情况,如图 18所示,类似B端送风时的情形,送风带来的负压变化会增强烟气向右线的扩散趋势,且当A、B端同时采用送风时,上述增强作用更明显,右线的温度升高明显大于A端送风、B端排烟时,且由于火源与A端更近,A端的送风作用效果明显强于B端的排烟作用效果,因此,与A端采用排烟方式相比,A端采用送风方式下的烟气扩散范围和温度均较高,烟气控制效果较差。
|
| 图 18 左线隧道A端送风模式下的温度分布情况 |
4 结论
本文在双洞长距离公路隧道中开展火灾全尺寸试验和数值模拟,获取了隧道火灾的烟气扩散特征、温度分布规律和火源形态特征,同时对隧道火灾烟气控制的通风模式进行讨论,为此类隧道烟气控制参数计算、防排烟设计优化提供全尺寸试验数据支撑和技术参考,主要结论如下:
1) 试验过程中,由于开启的机械通风方向与自然风相反,导致机械通风的烟气控制效果不明显,未能有效控制火灾烟气温度,因此在防排烟设计中需要充分考虑自然风大小和风向的影响。
2) 对于火焰倾角来说,随着燃烧加剧,热浮力逐渐增大,羽流浮力较大导致火焰倾角较小。对于火焰长度来说,随着热释放速率增大,羽流浮力增大导致火焰体积增大,火焰长度随之增大。
3) 基于数值模拟对单一隧道通风与左右线联动通风模式的控烟效果进行对比,在设定的火源功率和位置下,采用左线隧道A端排烟、B端送风,右线隧道自然通风的通风模式综合效果最佳。
| [1] |
中华人民共和国交通运输部. 2023年交通运输行业发展统计公报[R/OL]. (2024-06-18) [2024-06-22]. https://xxgk.mot.gov.cn/2020/jigou/zhghs/202406/t20240614_4142419.html. Ministry of Transport of the People's Republic of China. Statistical bulletin on the development of the transportation industry in 2023 [R/OL]. (2024-06-18) [2024-06-22]. https://xxgk.mot.gov.cn/2020/jigou/zhghs/202406/t20240614_4142419.html. (in Chinese) |
| [2] |
YAN Z G, GUO Q H, ZHU H H. Full-scale experiments on fire characteristics of road tunnel at high altitude[J]. Tunnelling and Underground Space Technology, 2017, 66: 134-146. DOI:10.1016/j.tust.2017.04.007 |
| [3] |
TONG Y, SHI M H, GONG Y F, et al. Full-scale experimental study on smoke flow in natural ventilation road tunnel fires with shafts[J]. Tunnelling and Underground Space Technology, 2009, 24(6): 627-633. DOI:10.1016/j.tust.2009.06.001 |
| [4] |
GUO Q H, ZHU H H, ZHANG Y X, et al. Smoke flow in full-scale urban road tunnel fires with large cross-sectional vertical shafts[J]. Tunnelling and Underground Space Technology, 2020, 104: 103536. DOI:10.1016/j.tust.2020.103536 |
| [5] |
GUO C, ZHANG T, GUO Q H, et al. Full-scale experimental study on fire characteristics induced by double fire sources in a two-lane road tunnel[J]. Tunnelling and Underground Space Technology, 2023, 131: 104768. DOI:10.1016/j.tust.2022.104768 |
| [6] |
陈俊沣, 程辉航, 魏旋, 等. 隧道火灾全尺寸实验中温度测量误差[J]. 清华大学学报(自然科学版), 2022, 62(10): 1618-1625. CHEN J F, CHENG H H, WEI X, et al. Temperature measurement errors in full-scale tunnel fire experiments[J]. Journal of Tsinghua University (Science and Technology), 2022, 62(10): 1618-1625. DOI:10.16511/j.cnki.qhdxxb.2022.21.003 (in Chinese) |
| [7] |
仇培云, 史聪灵, 汪良旗, 等. 地铁长大区间隧道火灾排烟模式有效性研究[J]. 安全, 2020, 41(6): 47-52. QIU P Y, SHI C L, WANG L Q, et al. Study on the effectiveness of fire smoke exhaust model in long-large subway tunnels[J]. Safety & Security, 2020, 41(6): 47-52. (in Chinese) |
| [8] |
伍彬彬, 史聪灵, 赵晨, 等. 基于网络算法的地铁长大区间隧道火灾通风模式[J]. 城市轨道交通研究, 2020, 23(5): 163-166. WU B B, SHI C L, ZHAO C, et al. Fire ventilation mode in subway long and large interval tunnel based on network algorithm[J]. Urban Mass Transit, 2020, 23(5): 163-166. (in Chinese) |
| [9] |
张涛. 大风垭口长距离隧道火灾烟气蔓延规律及控制效果研究[D]. 淮南: 安徽理工大学, 2021. ZHANG T. Study on smoke spreading law and control effect of long distance tunnel fire in Dafengyakou [D]. Huainan: Anhui University of Science & Technology, 2021. (in Chinese) |
| [10] |
沈鑫. 长距离重载铁路隧道火灾火行为及温度场实验研究[D]. 淮南: 安徽理工大学, 2021. SHEN X. Experimental study on fire behavior and temperature field in long distance and heavy haul railway tunnel [D]. Huainan: Anhui University of Science & Technology, 2021. (in Chinese) |
| [11] |
胡萧越. 长大海底铁路盾构隧道结构抗火安全性研究[D]. 成都: 西南交通大学, 2021. HU X Y. Study on structural fire safety of long and large subsea railway shield tunnel [D]. Chengdu: Southwest Jiaotong University, 2021. (in Chinese) |
| [12] |
张念, 谭忠盛. 高海拔特长铁路隧道火灾烟气分布特性数值模拟研究[J]. 中国安全科学学报, 2013, 23(6): 52-57. ZHANG N, TAN Z S. Numerical simulation study on smoke distribution of fire in high-altitude super-long railway tunnels[J]. China Safety Science Journal, 2013, 23(6): 52-57. DOI:10.3969/j.issn.1003-3033.2013.06.009 (in Chinese) |
| [13] |
卢欣伶. 阻塞比对地铁区间隧道火灾烟气流动特性的影响[D]. 重庆: 重庆大学, 2016. LU X L. Effect of blockage ratio on subway tunnel fire smoke flow characteristics [D]. Chongqing: Chongqing University, 2016. (in Chinese) |
| [14] |
OKA Y, ATKINSON G T. Control of smoke flow in tunnel fires[J]. Fire Safety Journal, 1995, 25(4): 305-322. DOI:10.1016/0379-7112(96)00007-0 |
| [15] |
KO G H, KIM S R, RYOU H S. An experimental study on the effect of slope on the critical velocity in tunnel fires[J]. Journal of Fire Sciences, 2010, 28(1): 27-47. DOI:10.1177/0734904109106547 |
| [16] |
GANNOUNI S, MAAD R B. Numerical study of the effect of blockage on critical velocity and backlayering length in longitudinally ventilated tunnel fires[J]. Tunnelling and Underground Space Technology, 2015, 48: 147-155. DOI:10.1016/j.tust.2015.03.003 |
| [17] |
ZHONG W, LI Z Z, WANG T, et al. Experimental study on the influence of different transverse fire locations on the critical longitudinal ventilation velocity in tunnel fires[J]. Fire Technology, 2015, 51(5): 1217-1230. DOI:10.1007/s10694-015-0461-6 |
| [18] |
DU T, YANG D, PENG S N, et al. A method for design of smoke control of urban traffic link tunnel (UTLT) using longitudinal ventilation[J]. Tunnelling and Underground Space Technology, 2015, 48: 35-42. DOI:10.1016/j.tust.2015.02.001 |
| [19] |
LI P, YANG D. Prevention of multiple patterns of combined buoyancy-and pressure-driven flow in longitudinally ventilated sloping multi-branch traffic tunnel fires[J]. Tunnelling and Underground Space Technology, 2020, 103: 103498. DOI:10.1016/j.tust.2020.103498 |
| [20] |
胡顺利, 邵建霖, 王闯, 等. 小半径曲线隧道温度场与临界风速研究[J]. 铁路技术创新, 2013(5): 46-48. HU S L, SHAO J L, WANG C, et al. Research on temperature field and critical velocity in small radius curved tunnels[J]. Railway Technical Innovation, 2013(5): 46-48. (in Chinese) |
| [21] |
王峰, 董国海, 王明年. 曲线隧道火灾烟气控制临界风速的研究[J]. 现代隧道技术, 2015, 52(5): 84-89. WANG F, DONG G H, WANG M N. On the critical air velocity for fire smoke control in a curved tunnel[J]. Modern Tunnelling Technology, 2015, 52(5): 84-89. (in Chinese) |
| [22] |
YU L X, LIU F, LIU Y Q, et al. Experimental study on thermal and smoke control using transverse ventilation in a sloping urban traffic link tunnel fire[J]. Tunnelling and Underground Space Technology, 2018, 71: 81-93. DOI:10.1016/j.tust.2017.08.012 |
| [23] |
ZHAO P, YUAN Z Y, YU N Y, et al. Effect of heat release rate and exhaust vent settings on the occurrence of plug-holing during tunnel fires with two-point extraction ventilation[J]. Tunnelling and Underground Space Technology, 2020, 106: 103617. DOI:10.1016/j.tust.2020.103617 |
| [24] |
易亮, 霍然, 张靖岩, 等. 柴油油池火功率特性[J]. 燃烧科学与技术, 2006, 12(2): 164-168. YI L, HUO R, ZHANG J Y, et al. Characteristics of heat release rate of diesel oil pool fire[J]. Journal of Combustion Science and Technology, 2006, 12(2): 164-168. DOI:10.3321/j.issn:1006-8740.2006.02.015 (in Chinese) |
| [25] |
倪照鹏, 陈海云. 国内外隧道防火技术现状及发展趋势[J]. 交通世界, 2003(2): 28-31. NI Z P, CHEN H Y. Present situation and development trend for tunnel fireproof technigue at home and abroad[J]. TranspoWorld, 2003(2): 28-31. DOI:10.3969/j.issn.1006-8872.2003.02.003 (in Chinese) |
| [26] |
YANG Y X, LIU C, LONG Z, et al. Full-scale experimental study on fire under vehicle operations in a sloped tunnel[J]. International Journal of Thermal Sciences, 2020, 158: 106524. DOI:10.1016/j.ijthermalsci.2020.106524 |
| [27] |
CHENG H H, LIU C, CHEN J F, et al. Full-scale experimental study on fire under natural ventilation in the T-shaped and curved tunnel groups[J]. Tunnelling and Underground Space Technology, 2022, 123: 104442. DOI:10.1016/j.tust.2022.104442 |
| [28] |
钟茂华, 肖衍, 胡家鹏, 等. 地铁同站台高架换乘车站火灾全尺寸实验研究: (3)站台火灾[J]. 中国安全生产科学技术, 2018, 14(6): 14-20. ZHONG M H, XIAO Y, HU J P, et al. Full-scale experimental study on fire in one-platform-interchange elevated metro station: (3) platform fire[J]. Journal of Safety Science and Technology, 2018, 14(6): 14-20. (in Chinese) |
| [29] |
李立明. 隧道火灾烟气的温度特征与纵向通风控制研究[D]. 合肥: 中国科学技术大学, 2012. LI L M. Temperature characteristic and longitudinal ventilation control of fire smoke in tunnels [D]. Hefei: University of Science and Technology of China, 2012. (in Chinese) |
| [30] |
林俣洁. 环境风及倾斜壁面作用下池火火焰形态及贴地热流演化研究[D]. 合肥: 中国科学技术大学, 2021. LIN Y J. Investigation of flame geometry and downstream heat flux evolution of pool fires under cross flow and inclined surface [D]. Hefei: University of Science and Technology of China, 2021. (in Chinese) |



