2. 北京理工大学 管理学院, 北京 100081;
3. 浙江省应急管理科学研究院, 杭州 310000
2. School of Management, Beijing University of Technology, Beijing 100081, China;
3. Zhejiang Academy of Emergency Management Science and Technology, Hangzhou 310000, China
突发公共危机事件具有突发性、复杂性、不确定性和破坏性等特点,会导致公众所处环境发生剧烈变化、脱离个体固有的认知框架,从而唤醒恐慌、焦虑等负面情绪[1-2]。例如,新型冠状病毒感染疫情不仅对个人生命健康构成严重威胁,病毒的高传染性和变异的不确定性还引发了恐惧、焦虑、愤怒和不满等复杂负面情绪[3-4]。现代互联网媒体技术的成熟应用,为负面情绪的宣泄与传播扩散提供了便捷的社会平台,导致负面情绪在网络空间中迅速蔓延[5]。突发公共危机事件情境叠加社交网络的快速传播与信息不对称,会使恐慌、焦虑等负面情绪进一步恶化,严重影响公众对事件的客观认知与判断,进而导致他们通过不理性的社会行为影响事件的发展态势[6],使社会陷入“突发公共危机事件—负面情绪唤醒/扩散—社会心理安全感/信任度下降—不理性社会行为—突发公共危机事件……”的恶性循环。因此,深入研究突发公共危机事件中负面情绪的传播路径及演化规律已成为提升应急管理水平的重要课题,不仅有助于理解负面情绪的传播机制,还能为制定有效的舆情管理和危机应对策略提供科学依据,符合国家“加强全媒体传播体系建设,塑造主流舆论新格局;健全网络综合治理体系,推动形成良好网络生态”[7]的战略目标。
自2014年发表在《美国国家科学院院刊》(Proceedings of the National Academy of Sciences,PNAS)上的一项研究[8]证实社交媒体上的情绪传染以来,研究者们对数字情绪传染的研究逐渐深入。迄今为止,针对网络空间的情绪传染模型主要以传染病模型为基础,关注情绪性信息在社交网络用户之间的传播[9]。然而,这些研究大多认为网民在接触负面情绪性信息后即以独立概率被感染,忽视了社会传染中所特有的社会强化效应[10]。社会强化是指个体在采取一种观点或行为之前,需要从其邻居处得到多次提示的情况。实验研究表明,单一信号对个体决策的影响较弱,但当个体多次收到相同或相似信号时,他们更有可能接受信号所传递的信息并实施行动[11]。个体在接收弱连接网络中的负面情绪性信息后,其感染概率往往与接触负面情绪性信息的次数密切相关[12-13]。在突发公共危机事件情境下,大量网络谣言及负面情绪会优先在网络中生成、传播,增加个体对负面情绪信息的接触频率,社会强化作用在这种情况下更多地表现为外界因素对负面情绪扩散的负向强化。
负面情绪的产生与传播除了社会强化等外驱动力外,认知评价作为一种内驱动力在情绪传播中也起着至关重要的作用[14]。社会心理学理论认为,在面对突发公共危机事件时,个体可能会因为接触过多的负面情绪性信息而产生认知失调,此时个体会采取多种措施来维持心理平衡,情绪调节就是其中之一[15]。情绪调节是“个体对具有何种情绪、情绪何时发生、如何进行情绪体验与表达施加影响的过程”[16],有助于个体应对负面的生活事件[17]。然而,个体的成长环境、受教育水平以及社会经历等方面的差异,会导致其对负面情绪性信息的应对能力显著不同。为了描述这一现象,本文用负面情绪感染阈值来表征个体网民在情绪调节能力方面的差异;负面情绪感染阈值越高,该个体越不易被负面情绪性信息所影响。
综上所述,突发公共危机事件中,社会强化与个体情绪调节均发挥重要作用。社会强化作为外部社会网络中的一种集体行为现象,通过重复的社会互动和信息传递,显著加剧了负面情绪的传播;情绪调节则作为个体内在的心理过程,通过认知评价机制影响情绪的产生和表达,从而在一定程度上抑制负面情绪的扩散。为了更加全面地理解和应对突发公共危机事件中的负面情绪传播问题,本文在现有研究的基础上,对“社会强化-情绪调节”双重机制影响下的负面情绪传播机制进行了深入探究,主要贡献在于:1) 提出了考虑双重机制的负面情绪传播模型,系统性地分析了负面情绪在异质社交网络中的传播过程,揭示了社会强化和情绪调节两种机制在不同情境下对负面情绪传播的影响。这种整合不同机制的模型为理解和管理负面情绪传播提供了全新的理论框架。2) 为了描述所提模型的时间演化过程,将复杂网络中的边划分方法进行扩展以求解具有非Markov特性的情绪传播动力学,发现负面情绪的最终传播规模随传播速率的变化会出现从离散变化到连续变化的相变现象。3) 对湖北红十字会事件的实证分析表明,本文提出的模型能够较好地模拟负面情绪在社交网络中的实际传播过程,并通过对比传统模型,凸显了考虑社会强化和个体情绪调节机制的重要性。这一实证研究不仅验证了模型的准确性,也为政策制定和舆情管理提供了实际的应用参考。
1 模型构建 1.1 过程分析结合突发公共危机事件中社交媒体负面情绪传播过程中的用户状态,本文将网络用户划分为易感者(susceptible,S)、感染者(exposed,E)、传播者(infected,I)以及免疫者(recovered,R),并将所涉及的用户及用户关系进行抽象处理。为了更好地进行定量分析,将社会强化机制抽象为负面情绪积累量c,每当网民接收一次来自其邻居的负面情绪信息,c增加Δc,Δc为强化因子,取值范围为[0, 1];个体情绪调节能力抽象为感染阈值T,阈值越大,个体情绪调节能力越强,越不易感染负面情绪。由于不同个体的教育程度、文化背景和成长环境各异,情绪调节能力也不同,即感染阈值具有异质性。为了描述这种差异,设置感染阈值T=βk。其中:k为节点的度;调节能力参数β服从截断正态分布,截断区间为[0, 1],均值和标准差分别为μ和σ。为了便于分析,在仿真实验中将区间[0, 1]按照间隔ε分割为1/ε个微元,从而离散化调节能力参数β的概率密度函数。
假设负面情绪在一个具有N个节点的异质社交网络中传播,每个节点代表社交媒体中的用户,节点的度k的分布为p(k),节点间的连边代表用户间的关注关系。为了启动负面情绪的传播过程,首先随机选择极小比例的种子节点ρ0,将其设置为I态,其余节点均处于S态。传播开始时,所有S态节点i的负面情绪累积量为0,即ci(0)=0。在每个时间步,每个I态节点j随机选择其易感邻居节点i,以概率α传递负面情绪信息。若S态节点i成功接收到I态邻居节点的负面情绪信息并被感染,则i的负面情绪积累量ci增加1 (Δc=1)。由于网络禁止冗余信息传输[18],因此负面情绪信息不能在i和j之间再次传输。当S态节点i的负面情绪累积量ci(t)≥Ti时,该节点在t+1时刻以概率π转换为E态,或以概率1-π转换为I态。E态节点进一步受到外部刺激后,以概率γ转换状态,转换为I态的概率为ω。研究表明,舆情事件发生一段时间后,用户可能对事件失去兴趣和注意力[19],此时网络中的情绪信息数量逐渐下降。在每个时间步中,E态节点以概率γ(1-ω)转换为R态,I态节点以概率λ转换为R态。一旦所有E态和I态节点都转换为R态,传播动力学过程终止。本文将所建立的考虑社会强化机制和个体情绪调节的负面情绪传播模型称为SI-SEIR(social reinforcement and individual regulation-SEIR)模型(图 1)。
|
| 图 1 SI-SEIR负面情绪传播模型 |
1.2 模型构建
考虑到非冗余信息的社会强化效应,相邻节点的状态之间有很强的动态相关性,使得平均场理论、渗流理论以及消息传递等传统方法不再适用。为了分析具有异质情绪调节能力的SI-SEIR模型的动态演化过程,本文构建了一个基于边的划分模型[20],并在理论上分析了负面情绪的爆发阈值。在负面情绪停止传播之前,个体的状态是变化的,因此分别设置S(t)、E(t)、I(t)和R(t)为t时刻S、E、I以及R态个体的密度。当t→∞时,R(∞)表示负面情绪的最终传播规模。
首先,计算一个S态节点在t时刻负面情绪积累量低于个体情绪调节能力的概率。对于一个度为k的S态节点i,其状态为S且在t时刻之前从c个邻居处收到c条负面情绪信息的概率为
| $ \varTheta_{c}(k, \theta(t))=\left(1-\rho_{0}\right) \mathrm{C}_{k}^{c} \theta(t)^{k-c}[1-\theta(t)]^{c} . $ | (1) |
其中:θ(t)为节点i的随机邻居节点直到时刻t仍未沿随机选择的边向节点i传递负面情绪的概率,1-ρ0为选中S态节点的概率,
| $ S(k, \theta(t))=\sum\limits_{\beta} f(\beta) \sum\limits_{c=0}^{\lceil\beta k]-{1}} \varTheta_{c}(k, \theta(t)) . $ | (2) |
考虑节点所有可能的度,可得时刻t的S态节点的比例为
| $ S(t)=\sum\limits_{k}^{\infty} p(k) S(k, \theta(t)) . $ | (3) |
由于节点i的随机邻居节点可能处于S、E、I或R态之一,因此将θ(t)表示为
| $ \theta(t)=\psi_{S}(t)+\psi_{E}(t)+\psi_{I}(t)+\psi_{R}(t) . $ | (4) |
其中:ψS(t)、ψE(t)、ψI(t)、ψR(t)分别表示个体i的邻居直到时刻t仍未向节点i传递负面情绪,并且在时刻t分别处于状态S、E、I、R的概率。
在t时刻,从节点i的邻居节点中选择一个未向节点传递消息且处于S状态的节点j。根据空洞理论[21]所描述的信息传递方式,节点i无法向其邻居j传递负面情绪信息,但可以从其邻居j处接收负面情绪信息。假设节点j的度为k′, 则直到t时刻,j从其邻居节点处共收到c条负面情绪信息的概率为
| $ \eta_{c}\left(k^{\prime}, \theta(t)\right)=\mathrm{C}_{k^{\prime}-1}^{c} \theta(t)^{k^{\prime}-c-1}[1-\theta(t)]^{c} . $ | (5) |
| $ \zeta\left(k^{\prime}, \theta(t)\right)=\sum\limits_{\beta} f(\beta) \sum\limits_{c=0}^{\left\lceil\beta k^{\prime}\right\rceil-1} \eta_{c}\left(k^{\prime}, \theta(t)\right) . $ | (6) |
为了区别个体情绪调节能力的差异,本文将网络中的S态节点划分为两类:1) 如果一个节点的阈值满足βk≤1,即一旦有一个邻居向该节点传递负面情绪,该节点就会立刻被感染,则该节点被定义为敏感节点;2) 如果一个节点的情绪调节能力满足βk>1,则该节点被定义为稳定节点。度为k的敏感节点在网络中的占比为
| $ F(k)=\sum\limits_{\beta=0}^{1 / k} f(\beta) . $ | (7) |
相应地,度为k的稳定节点在网络中的占比为1-F(k)。因此,可将ζ(k′, θ(t))的表达式改写为
| $ \begin{gather*} \zeta\left(k^{\prime}, \theta(t)\right)=F\left(k^{\prime}\right) \theta(t)^{k^{\prime}-1}+ \\ \sum\limits_{\beta=1 / k^{\prime}+\varepsilon}^{1}\left[f(\beta) \sum\limits_{c=0}^{\left\lceil\beta k^{\prime}\right\rceil-1} \eta_{c}\left(k^{\prime}, t\right)\right] . \end{gather*} $ | (8) |
在无关联网络中,节点i沿着一条边连接一个度为k′的节点的概率为
| $ \psi_{S}(t)=\left(1-\rho_{0}\right) \frac{\sum\limits_{k^{\prime}} k^{\prime} p\left(k^{\prime}\right) \zeta\left(k^{\prime}, \theta(t)\right)}{\langle k\rangle} . $ | (9) |
负面情绪传播过程表明,ψE(t)的变化与以下过程相关:1) S态节点以概率π转换为E态节点;2) E态节点以概率γω转换为I态节点;3) E态节点以概率γ(1-ω)转换为R态节点。考虑以上过程,则
| $ \frac{\mathrm{d} \psi_{E}(t)}{\mathrm{d} t}=-\pi \frac{\mathrm{d} \psi_{S}(t)}{\mathrm{d} t}-\gamma \psi_{E}(t) . $ | (10) |
对式(10)两侧进行Laplace反变换后,可得
| $ \psi_{E}(t)=\pi\left[\left(1-\rho_{0}\right) \mathrm{e}^{-\gamma t}+\gamma \psi_{S}(t) * \mathrm{e}^{-\gamma t}-\psi_{S}(t)\right]. $ | (11) |
其中*表示卷积运算。
同样地,ψR(t)也有两个来源:1) 未向节点j传播负面情绪的I态节点,且以概率λ恢复;2) E态节点。因此,未传播负面情绪的R节点占比的动力学方程为
| $ \frac{\mathrm{d} \psi_{R}(t)}{\mathrm{d} t}=\gamma(1-\omega) \psi_{E}(t)+\lambda(1-\alpha) \psi_{I}(t) . $ | (12) |
式中:γ(1-ω)表示未传播负面情绪的E态节点转换为R态节点的概率;λ(1-α)表示在当前时刻,I态节点既不向节点j传播负面情绪(概率为1-α),又恰好转变为R态节点(概率为λ)的概率。
在时刻t,状态I的邻居节点向节点j传播负面情绪的概率为α,此时该邻居节点不再满足未向节点j传递负面情绪这一条件,可得θ(t)的动力学方程为
| $ \frac{\mathrm{d} \theta(t)}{\mathrm{d} t}=-\alpha \psi_{I}(t) . $ | (13) |
根据式(10)可得
| $ \psi_{E}(t)=-\frac{1}{\gamma}\left[\pi \frac{\mathrm{~d} \psi_{S}(t)}{\mathrm{d} t}+\frac{\mathrm{d} \psi_{E}(t)}{\mathrm{d} t}\right] . $ | (14) |
将式(13)和(14)代入式(12)中,并对两侧同时积分,可得
| $ \begin{gather*} \psi_{R}(t)=\pi(\omega-1) \psi_{S}(t)+(\omega-1) \psi_{E}(t)- \\ \frac{\lambda(1-\alpha)}{\alpha} \theta(t)+C_{R} . \end{gather*} $ | (15) |
其中CR为常数。考虑初始条件,则
联立式(4)、(11)、(13)和(15),可得θ(t)随时间t演化的动力学方程为
| $ \begin{gather*} \frac{\mathrm{d} \theta(t)}{\mathrm{d} t}=\alpha\left[(1-\pi) \psi_{S}(t)+\pi\left[\gamma \omega \psi_{S}(t) * \mathrm{e}^{-\gamma t}+\right.\right. \\ \left.\left.\left(1-\rho_{0}\right)\left(1-\omega+\omega \mathrm{e}^{-\gamma t}\right)\right]-\theta(t)\right]+ \\ \lambda(1-\alpha)[1-\theta(t)] . \end{gather*} $ | (16) |
其中ψS(t)可表示为
| $ \begin{gathered} \psi_{S}(t)=\frac{1-\rho_{0}}{\langle k\rangle} \sum\limits_{k} k p(k)\cdot\\ \left\{F(k) \theta(t)^{k-1}+\sum\limits_{\beta=1 / k+\varepsilon}^{1}\left[f(\beta) \sum\limits_{c=0}^{\lceil\beta k\rceil-1} \eta_{c}(k, \theta(t))\right]\right\} . \end{gathered} $ | (17) |
对整体网络而言,E(t)、I(t)和R(t)的演化动力学方程分别为:
| $ \frac{\mathrm{d} E(t)}{\mathrm{d} t}=-\pi \frac{\mathrm{d} S(t)}{\mathrm{d} t}-\gamma E(t), $ | (18) |
| $ \frac{\mathrm{d} I(t)}{\mathrm{d} t}=(\pi-1) \frac{\mathrm{d} S(t)}{\mathrm{d} t}+\gamma \omega E(t)-\lambda I(t) , $ | (19) |
| $ \frac{\mathrm{d} R(t)}{\mathrm{d} t}=\gamma(1-\omega) E(t)+\lambda I(t) . $ | (20) |
式(3)、(18)—(20)给出了负面情绪在异质社交网络中传播的完整动力学过程,由此可以求解在任意时刻处于各状态的节点密度,即S(t)、E(t)、I(t)和R(t)的值。
当t→∞时,网络中负面情绪传播趋于稳定,此时
| $ \begin{gather*} \theta(\infty)=H[\theta(\infty)]=(1-\pi) \psi_{S}(\infty)+ \\ \pi\left[\gamma \omega \lim\limits _{t \rightarrow+\infty}\left(\psi_{S}(t) * \mathrm{e}^{-\gamma t}\right)+\left(1-\rho_{0}\right)(1-\omega)\right]+ \\ \frac{\lambda(1-\alpha)[1-\theta(\infty)]}{\alpha} . \end{gather*} $ | (21) |
对式(21)中的卷积运算进行分析,可得
| $ \lim\limits _{t \rightarrow+\infty}\left(\psi_{S}(t) * \mathrm{e}^{-\gamma t}\right)=\lim\limits _{t \rightarrow+\infty} \int_{0}^{t} \psi_{S}(\tau) \mathrm{e}^{-\gamma(t-\tau)} \mathrm{d} \tau=\frac{\psi_{S}(\infty)}{\gamma}. $ | (22) |
整理式(21)可得
| $ \begin{gather*} \theta(\infty)=H[\theta(\infty)]=[1-\pi(1-\omega)] \psi_{S}(\infty)+ \\ \pi\left(1-\rho_{0}\right)(1-\omega)+\frac{\lambda(1-\alpha)[1-\theta(\infty)]}{\alpha} . \end{gather*} $ | (23) |
将式(23)代入式(1)—(3),可以得到S(∞)以及R(∞)=1-S(∞)的值。
若不考虑个体的情绪调节能力和社会强化效应,则网络中所有节点均为敏感节点,此时的传播动力学过程退化为传统的SEIR模型,负面情绪的爆发规律由网络空间结构主导,负面情绪会随时间从种子节点逐层向外传播。当σ>0时,个体具有不同的情绪调节能力,即便所有个体处于相同的社会强化环境中,具有相同度的节点仍具有不同的动力学过程。由于个体转换为感染态的事件分散在不同的时段,感染者的占比不会在短时间内达到峰值,从而减缓了负面情绪的传播速度,降低了负面情绪最终的爆发规模。从上述分析中也可以发现,传统的SEIR模型为本文模型的一个特例,本文模型相对于传统模型能够更加准确地描述负面情绪传播模式。
1.3 负面情绪爆发阈值分析与疾病传播相似,负面情绪是否会发生大规模传播是应急管理者重点关注的内容。因此,推导出临界状态下负面情绪的爆发阈值α*至关重要。当α>α*时,负面情绪会在网络中爆发,导致网络中发生大规模感染,甚至可能出现局部的广泛性个体感染;当α≤α*时,网络中的负面情绪则不会爆发,在早期传播扩散阶段,该传播过程可能会因为所有I节点全部转变为R节点而提前结束。
根据式(23),式(16)可表示为
| $ \frac{\mathrm{d} \theta(t)}{\mathrm{d} t}=\alpha\{H[\theta(t)]-\theta(t)\} . $ | (24) |
由稳定性理论可知,当
显然,H(1)-1=-ρ0≤0,
若θ=1是唯一解,式(23)两侧同时对θ求导并代入θ=1,可得
| $ \begin{gather*} 1=[1-\pi(1-\omega)] \frac{1-\rho_{0}}{\langle k\rangle} \sum\limits_{k} k p(k) \cdot\\ F(k)(k-1)-\frac{\lambda(1-\alpha)}{\alpha} . \end{gather*} $ | (25) |
令
| $ \alpha_{1}^{*}=\frac{\lambda}{[1-\pi(1-\omega)]\left(1-\rho_{0}\right) A+\lambda-1}. $ | (26) |
此时,系统表现为连续相变,并且阈值α1*与敏感节点比例、网络拓扑的结构、I态节点的恢复概率以及E态节点的转换概率有关。α1*随A的减小而增大,随λ的增大而增大;当F(k)=1时,
若H[θ(∞)]-θ(∞)=0还有其他平凡解,令
| $ \alpha_{2}^{*}=\frac{\lambda}{[1-\pi(1-\omega)]\left(1-\rho_{0}\right) B+\lambda-1} . $ | (27) |
根据式(5)和(8)可得
| $ \begin{gather*} \frac{\partial \zeta(k, \theta(t))}{\partial \theta}=F(k)(k-1) \theta(t)^{k-2}+ \\ \sum\limits_{\beta=1 / k+\varepsilon}^{1}[f(\beta) D(t)] . \end{gather*} $ | (28) |
其中
此时,系统表现为非连续相变,相变与敏感节点及稳定节点的占比有关,并且仅当网络中具有足够多的稳定节点时才会发生相变。
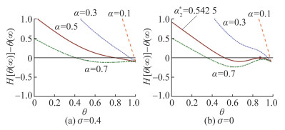
为了更加直观地显示式(23)解的情况,本文在Erdös-Rényi (ER)网络上使用了图形法,如图 2所示。其中:图 2a表示在σ=0.4时,R(∞)随α连续变化;图 2b表示在σ=0时,R(∞)随α不连续变化。黑色实线表示水平轴,红点是切点。设置μ=0.2,π=0.2,γ=0.4,ω=0.5,λ=1.0,〈k〉=10,N=10 000。当ρ0取一个较大值时,θ=1不再是式(23)的解。在该情况下,无论其他参数的值如何变化,依然有一部分个体会感染负面情绪。当固定除α之外的参数时,若式(23)仅有1个解(图 2a),继续增大α,θ(∞)会连续增加,从而导致R(∞)的连续增加。当式(23)还有其他非平凡解(图 2b),这意味着发生了鞍节点分叉[22]。式(23)的分叉分析揭示了系统经历了一个尖点突变,H[θ(∞)]-θ(∞)在切点附近的曲线从下方经过横轴时,系统是不稳定的,继续增大α会使θ(∞)跳跃到另一个稳定解。在这种情况下,R(∞)会随着α的增加不连续增加,系统表现为非连续相变。当α=0.542 5时,式(23)的解恰好为切点,此时α2*=0.542 5。
|
| 图 2 ER网络中式(23)的图形解 |
2 仿真分析
利用英国爱丁堡大学2019年公布的Facebook网络拓扑数据[23]作为负面情绪传播的实验网络,对本文所提模型进行仿真验证,理论值通过数值求解式(23)获得。为减少随机误差,每个实验重复30次,并取平均值作为最终结果进行展示与分析。
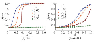
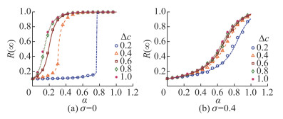
2.1 个体调节能力对负面情绪传播规律的影响由于感染阈值T=βk,且β服从均值为μ、标准差为σ的截断正态分布,因此可以通过设置不同的μ和σ值,研究个体情绪调节能力对负面情绪爆发阈值和传播规模的影响。图 3分别显示了σ=0和σ=0.4时,μ不同取值下的负面情绪最终扩散规模R(∞)。其中,线型和不同形状的点分别表示R(∞) 的理论结果和仿真结果。由图 3可见,理论结果与仿真结果表现出较好的一致性,验证了模型的准确性。
|
| 图 3 负面情绪的爆发规模R(∞)在不同均值μ下随α变化趋势 |
由图 3a可见,在μ和σ均较小时,负面情绪在网络中一定会爆发,这是因为此时网络中各节点的个体情绪调节能力均处于较低水平,网络由敏感节点主导,传播动力学过程与传统的SEIR模型类似;随着μ的增大,网络中的个体情绪调节能力整体持续提升,爆发阈值不断增大,网络转而开始由稳定节点主导,然而由于σ较小,这些稳定节点会在相近的时段达到亚临界状态并迅速集中爆发,使系统表现为非连续相变。
对比图 3a和3b可以发现,当σ增大后,网络中负面情绪的爆发阈值、爆发规模整体下降。这是因为个体会在不同时段达到临界状态,无论网络由敏感节点主导还是稳定节点主导,网络中感染者的占比始终处于较低水平。但当μ=0.35时,图 3a中负面情绪没有爆发,而图 3b中发生了大规模爆发,这是因为σ增大后网络中的个体感染阈值分布分散,导致敏感节点增多,促进了负面情绪的传播。
从上述分析可以得出以下结论:假设通过疏导和管控措施能够有效提升个体情绪调节阈值,那么应优先针对敏感节点进行疏导和管控。这是因为提升所有敏感节点的情绪调节能力将直接导致参数μ的增大;显然,在任意σ情况下,随着μ的增大,爆发阈值也会上升。此外,若重点提升部分敏感节点的调节能力,则在μ较小时能够增大σ、在μ较大时能够减小σ。这两种情境均有助于进一步提高爆发阈值,同时有效降低负面情绪的传播规模。
2.2 社会强化对负面情绪传播规律的影响图 4分析了网络中不同社会强化量下负面情绪爆发规模随α的变化趋势。其中,线形和不同形状的点分别表示R(∞)的理论结果和仿真结果。显然,理论结果与仿真结果表现出较好的一致性。由图 4可知,在α固定的情况下,随着社会强化量的不断增加,R(∞)不断增大。当σ=0时,随着Δc的减小,R(∞)对α的依赖关系从连续增长转变为爆发式增长,且爆发阈值不断增大。这是由于随着社会强化作用的减弱,网络中的稳定节点增加,负面情绪扩散速度和规模均减弱,网络中会积累较多的亚临界节点,这些节点在某个时刻会集体发生“跳跃”,从而出现不连续相变现象。
|
| 图 4 负面情绪的爆发规模R(∞)在不同社会强化量下随α变化趋势 |
2.3 网络拓扑结构对负面情绪传播的影响
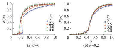
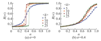
文[18]表明,网络的拓扑特征也会对传播阈值模型中负面情绪的动态扩散过程产生影响。事实上,R(∞)的值及负面情绪的扩散过程在很大程度上取决于网络的平均度和度的异质性[18]。本节分别在ER网络和无标度(scale free,SF)网络上进行了一系列的仿真实验。ER与SF网络的规模和平均度分别设置为N=10 000,〈k〉=10。SF网络的度分布为p(k)~k-γD,且
首先,在具有不同平均度〈k〉的ER网络上分析负面情绪的爆发规模。图 5中彩色的曲线是通过数值求解式(23)得到的理论值,散点代表仿真结果。对于σ=0(图 5a),随着〈k〉的增加,R(∞)对α的依赖关系由连续变为不连续,且α2*不断增加。对于小平均度(如〈k〉=5)的网络,敏感节点占比更高,这些节点在接触到邻居节点的负面情绪信息后会立即转换为感染态,因此R(∞)随着α的变化连续变化;而在大平均度(如〈k〉=15)的网络中,稳定节点占比更高,这些节点在感染负面情绪后会逐步累积至亚临界状态,当大量个体处于亚临界状态时,稍微增加α就会导致R(∞)出现不连续的“跳跃”现象。对于σ=0.4(图 5b),随着〈k〉的增加,R(∞)不断增大,且α1*不断减小,这与式(26)的结论一致,即增加网络平均度会促进负面情绪的大规模传播。在当前的个体情绪调节能力分布下,敏感节点占比相对较低,使得爆发阈值与爆发规模均有所降低。由于个体间情绪调节能力的差异,稳定节点无法同时达到亚临界状态,因此R(∞) 对α的依赖关系始终表现为连续相变。
|
| 图 5 ER网络中网络平均度对负面情绪爆发规模的影响 |
总结以上分析可以发现,在感染阈值分布β相同时,增加网络的平均度会增大稳定节点的占比。当稳定节点的感染阈值分布较为集中时,增加平均度会使稳定节点不易被感染。然而,当α增大后,这些稳定节点会在一段时间内同时达到亚临界状态,随后同时转变为E态,出现非连续相变现象;当稳定节点的感染阈值分布较为分散时,稳定节点转变为E态的时间较为分散,而处于E态的节点由于具有更大的度,反而促进了负面情绪的传播。
2.3.2 网络度异质性对负面情绪传播的影响在SF网络上分析度异质性对负面情绪传播的影响,结果如图 6所示。其中:彩色的曲线是通过数值求解式(23)得到的理论值,散点代表仿真结果。另外,SF网络的度分布为p(k)~k-γD,度分布的异质性随着幂指数γD的增大而减小。由图 6可知,网络度异质性越强,负面情绪的爆发阈值越大,这与实际情况相符。当σ=0时(图 6a),随着网络度异质性的增强,R(∞)对α的依赖关系由连续变为不连续。这是因为在强异质性网络中(如γD=2.1)存在少数度较大的枢纽节点和大多数度较小的节点,其中枢纽节点的情绪调节能力较强,而这些枢纽节点可能是小度节点的唯一邻居,对负面情绪的传播起着关键作用。一旦枢纽节点被感染,网络中与枢纽节点相连接的大量小度节点迅速转换为感染态,从而产生了分叉现象。对于弱异质性网络来说(如γD=4.0),小度节点可能有更多的邻居,负面情绪的传播不仅仅依赖枢纽节点的扩散,这些小度节点可能会在枢纽节点感染前即达到感染状态,因此R(∞)随α连续增加。当σ=0.2时(图 6b),β的分布会更加分散,此时网民情绪调节能力的差异性增加,从而减弱了网络度异质性的影响,此时R(∞)的变化趋势为随α增大连续增加。
|
| 图 6 SF网络中网络度异质性对负面情绪爆发规模的影响 |
3 实证分析
为了进一步验证本文所提的SI-SEIR模型的有效性,选取湖北红十字会事件作为研究案例对模型进行实证分析。湖北红十字会事件是新型冠状病毒感染疫情期间发生的一起具有较大影响力的网络舆情事件。根据“知微事见”网络舆情平台的数据,该事件的网络影响力指数为84.3。并且,在此次网络舆情事件初期,网民情绪表现出明显的负性偏向,负面情绪一度成为网络中的主流情绪;随着权威机构及政府部门的介入,网络情绪开始出现分化。
利用微博官方提供的应用程序编程接口(application programming interface,API)根据事件话题对该事件的微博数据进行采集,采集时间范围为2020年1月30日—2月14日。累计采集微博博文与评论数据74 409条,每条数据包含用户名称、ID、发布时间、发布内容以及转评赞数量。经过清洗、去重与筛选后,实际使用数据为57 291条。采用大连理工大学信息检索研究室开发的“中文情感词汇本体库”[24]为基础词汇库,补充事件相关词汇后,对湖北红十字会事件的微博数据进行情感判定,负面情绪词云分析结果如图 7所示。根据以上情绪计算结果,对湖北红十字会事件中的网民情绪进行分析。在此次事件中,各种情绪都有所体现,但总体以负面情绪为主。
|
| 图 7 湖北红十字会事件负面情绪词云分布图 |
图 8显示了湖北红十字会事件中负面情绪实际传播趋势、SI-SEIR模型、仅考虑社会强化效应和个体情绪调节能力的S-SEIR和I-SEIR模型以及不考虑双重机制的SEIR模型计算结果的对比。
|
| 图 8 各模型得到的湖北红十字会事件中负面情绪传播趋势对比 |
首先,SI-SEIR模型在模拟负面情绪在社交网络的传播过程中表现得最好。该模型不仅准确地捕捉了负面情绪传播的峰值,而且得到的下降趋势与实际数据高度一致,充分彰显了双重机制的重要性。相比之下,未考虑社会强化和个体情绪调节机制的SEIR模型明显高估了负面情绪的扩散规模,且预测的爆发时间显著提前。在仅考虑社会强化或个体情绪调节能力的情况下,模型预测的负面情绪爆发时间早于实际爆发时间,爆发规模大于实际情况,尽管相对于SEIR模型更接近实际传播趋势。这表明,综合考虑社会强化与个体情绪调节机制,对于准确模拟和预测社交网络中负面情绪传播具有重要意义。
以上结果表明,个体情绪调节能力在负面情绪传播过程中起到更为显著的作用。通过有效的自我调节,网络用户能够显著抑制负面情绪的扩散,从而防止其大规模爆发。因此,在针对负面情绪扩散制定干预措施时,不仅要关注社会环境和外部因素的影响,还应特别重视提升公众的个体情绪调节能力。此外,社会强化机制的作用也不容忽视。社会环境中的集体情绪和外部反馈可以放大或减弱个体的情绪反应。因此,通过加强心理健康教育、提供心理支持和疏导,不仅能够帮助公众更好地管理自身情绪,还能在社会层面上增强整体的心理韧性,有效应对突发事件,减缓负面情绪的传播。
4 结论社交网络作为现实社会在虚拟空间中的映射,不仅反映了复杂网络的统计特性,还凝聚了人类行为的社会属性。与传染病传播不同,线上社交网络中的情绪传播具有独特性。将这种差异作为独立机制融入传播动力学分析框架,有助于揭示负面情绪在网络空间中的传播规律,并为负面情绪的有效管控提供理论支持。本研究结合社会心理学与情绪理论,从微观视角出发,聚焦突发公共危机事件,分析了“社会强化-个体调节”双重机制对社交网络中负面情绪传播的影响。首先,通过异质传播阈值模型,从理论上分析了双重机制下负面情绪在异质社交网络中的传播过程;随后,利用仿真实验深入探讨了个体情绪调节能力、社会强化效应对负面情绪爆发规模的影响;最后,通过实证案例验证了模型的有效性。
研究结果表明,个体情绪调节能力和社会强化效应显著影响负面情绪的传播。综合分析发现,增强个体情绪调节能力以及降低社会强化量,可以有效抑制突发公共危机事件中网络负面情绪的大规模爆发。此外,网络拓扑结构与负面情绪的传播结果密切相关。当网络中个体情绪调节能力趋于一致时,增加网络平均度会显著提高负面情绪的爆发阈值,从而减少负面情绪大规模扩散的可能性;但当个体情绪调节能力存在显著差异时,情况则相反。提高网络度异质性同样有助于增大负面情绪的爆发阈值,抑制负面情绪的扩散。
基于以上结论,可以得到以下启示:1) 在社交网络主流情绪为负面的情况下,社会强化作用越强,负面情绪大规模传播的可能性越大。因此,减弱社会强化强度是控制负面情绪传播的关键策略。具体措施包括通过社会宣传和教育倡导积极情绪,打破负面情绪传播链条,以及强化媒体责任以减少对负面情绪的渲染。2) 增强个体情绪调节能力是控制负面情绪传播的重要策略。可以通过情绪教育、心理健康宣传、支持性社交网络建设,以及在线情绪调节工具推广,提升网民的个体情绪管理能力,使他们更有效地应对和处理负面情绪,从而抑制负面情绪在社交网络中的传播。
| [1] |
郑昱. 突发公共事件中舆论信息传播倾向的影响因素: 基于民众负性情绪的研究视角[J]. 情报理论与实践, 2017, 40(7): 80-87. ZHENG Y. The influencing factors of information dissemination propensity of public opinion in public emergency[J]. Information Studies: Theory & Application, 2017, 40(7): 80-87. (in Chinese) |
| [2] |
赵云泽, 薛婷予. 多重突发事件下的群体恐慌情绪传播与风险治理[J]. 苏州大学学报(哲学社会科学版), 2023, 44(3): 162-169. ZHAO Y Z, XUE T Y. Research on the communication of group panic and risk management[J]. Journal of Soochow University (Philosophy & Social Science Edition), 2023, 44(3): 162-169. (in Chinese) |
| [3] |
WANG J H, FAN Y C, PALACIOS J, et al. Global evidence of expressed sentiment alterations during the COVID-19 pandemic[J]. Nature Human Behaviour, 2022, 6(3): 349-358. DOI:10.1038/s41562-022-01312-y |
| [4] |
YANG Y X, ZHANG Y Y, ZHANG X W, et al. Spatial evolution patterns of public panic on Chinese social networks amidst the COVID-19 pandemic[J]. International Journal of Disaster Risk Reduction, 2022, 70: 102762. DOI:10.1016/j.ijdrr.2021.102762 |
| [5] |
吴琦, 李阳. 融入领域风险词典的社会安全事件网络舆情风险评估研究[J]. 情报理论与实践, 2024, 47(6): 175-183. WU Q, LI Y. Research on network opinion risk evaluation of social security incidents with the domain risk dictionary[J]. Information Studies: Theory & Application, 2024, 47(6): 175-183. (in Chinese) |
| [6] |
杨阳, 王杰. 情绪因素影响下的突发事件网络舆情演化研究[J]. 情报科学, 2020, 38(3): 35-41, 69. YANG Y, WANG J. The evolution of emergency network public opinion influenced by emotional factors[J]. Information Science, 2020, 38(3): 35-41, 69. (in Chinese) |
| [7] |
习近平. 高举中国特色社会主义伟大旗帜为全面建设社会主义现代化国家而团结奋斗: 在中国共产党第二十次全国代表大会上的报告[EB/OL]. (2022-10-16)[2024-04-22]. https://www.gov.cn/gongbao/content/2022/content_5722378.htm. XI Jinping. Hold high the great banner of socialism with Chinese characteristics and strive in unity to build a modern socialist country in all respects: Report to the 20th National Congress of the Communist Party of China[EB/OL]. (2022-10-16)[2024-04-22]. https://www.gov.cn/gongbao/content/2022/content_5722378.htm. (in Chinese) |
| [8] |
KRAMER A D I, GUILLORY J E, HANCOCK J T. Experimental evidence of massive-scale emotional contagion through social networks[J]. Proceedings of the National Academy of Sciences of the United States of America, 2014, 111(24): 8788-8790. |
| [9] |
LIU H, LU D J, ZHANG G J, et al. Recurrent emotional contagion for the crowd evacuation of a cyber-physical society[J]. Information Sciences, 2021, 575: 155-172. DOI:10.1016/j.ins.2021.06.036 |
| [10] |
ZHENG M H, LV L Y, ZHAO M. Spreading in online social networks: The role of social reinforcement[J]. Physical Review E, 2013, 88(1): 012818. DOI:10.1103/PhysRevE.88.012818 |
| [11] |
PÉREZ-RECHE F J, LUDLAM J J, TARASKIN S N, et al. Synergy in spreading processes: From exploitative to explorative foraging strategies[J]. Physical Review Letters, 2011, 106(21): 218701. DOI:10.1103/PhysRevLett.106.218701 |
| [12] |
CENTOLA D. The spread of behavior in an online social network experiment[J]. Science, 2010, 329(5996): 1194-1197. DOI:10.1126/science.1185231 |
| [13] |
WEISS C H, PONCELA-CASASNOVAS J, GLASER J I, et al. Adoption of a high-impact innovation in a homogeneous population[J]. Physical Review X, 2014, 4(4): 041008. DOI:10.1103/PhysRevX.4.041008 |
| [14] |
朱代琼, 王国华. 热点公共事件中网络社会情绪演进的影响因素研究: 基于"高铁霸座"事件的探讨[J]. 情报杂志, 2020, 39(8): 94-100, 116. ZHU D Q, WANG G H. Research on influencing factors of emotional evolution of cyber society in hot public events: Based on the "high speed rail overlord" incident[J]. Journal of Intelligence, 2020, 39(8): 94-100, 116. (in Chinese) |
| [15] |
GROSS J J. Emotion regulation: Affective, cognitive, and social consequences[J]. Psychophysiology, 2002, 39(3): 281-291. DOI:10.1017/S0048577201393198 |
| [16] |
GROSS J J. The emerging field of emotion regulation: An integrative review[J]. Review of General Psychology, 1998, 2(3): 271-299. DOI:10.1037/1089-2680.2.3.271 |
| [17] |
KOBYLI$\acute{И}$SKA D, KUSEV P. Flexible emotion regulation: How situational demands and individual differences influence the effectiveness of regulatory strategies[J]. Frontiers in Psychology, 2019, 10: 72. DOI:10.3389/fpsyg.2019.00072 |
| [18] |
WANG W, TANG M, ZHANG H F, et al. Dynamics of social contagions with memory of nonredundant information[J]. Physical Review E, 2015, 92(1): 012820. |
| [19] |
KARSAI M, IÑIGUEZ G, KASKI K, et al. Complex contagion process in spreading of online innovation[J]. Journal of the Royal Society Interface, 2014, 11(101): 20140694. |
| [20] |
MILLER J C, SLIM A C, VOLZ E M. Edge-based compartmental modelling for infectious disease spread[J]. Journal of the Royal Society Interface, 2012, 9(70): 890-906. |
| [21] |
KARRER B, NEWMAN M E J. Message passing approach for general epidemic models[J]. Physical Review E, 2010, 82(1): 1-9. |
| [22] |
STROGATZ S H. Nonlinear dynamics and chaos: With applications to physics, biology, chemistry, and engineering[M]. 2nd ed. Boca Raton: CRC Press, 2019.
|
| [23] |
王家坤, 孟祥宇, 郭筱彤, 等. 耦合情绪与收益的网络舆情传播及治理研究[J]. 情报理论与实践, 2024, 47(10): 140-150. WANG J K, MENG X Y, GUO X T, et al. Research on the propagation and governance of public opinion coupled emotion and payoff[J]. Information Studies: Theory & Application, 2024, 47(10): 140-150. (in Chinese) |
| [24] |
徐琳宏, 林鸿飞, 潘宇, 等. 情感词汇本体的构造[J]. 情报学报, 2008, 27(2): 180-185. XU L H, LIN H F, PAN Y, et al. Constructing the affective lexicon ontology[J]. Journal of the China Society for Scientific and Technical Information, 2008, 27(2): 180-185. (in Chinese) |



