2. 清华大学 热科学与动力工程教育部重点实验室, 北京 100084
2. Key Laboratory for Thermal Science and Power Engineering of Ministry of Education, Tsinghua University, Beijing 100084, China
射流火焰是实际能源动力系统中最为基础的现象,了解射流火焰的结构、动态响应、火焰不稳定性、污染物生成、辐射特性、极限现象以及相关的潜在应用是推进燃烧理论与实际应用的桥梁。微重力环境下进行的射流火焰实验能够消除浮力对火焰形貌和流体不稳定性的影响,对于揭示不同燃料燃烧过程中流体特征时间与化学特征时间形成竞争关系的问题具有重要意义。
燃烧科学一直是微重力科学中的重要领域,日本东京大学于1957年进行了首次自由落体的地基微重力液滴燃烧实验[1-2],美国航空航天局(National Aeronautics and Space Administration,NASA)在Apollo航天器火灾[3-4]后进一步重视了燃烧科学的发展,在1970—1990年持续资助了大量地基微重力科学实验[5-8],使用的设施包括NASA Lewis研究中心的2座落塔(The NASA Lewis 2.2-second drop tower、The NASA Lewis zero-gravity facility (5s自由落体时间))及Learjet 25失重飞机。图 1总结出了不同设施的微重力实验时长以及代表性的微重力水平[5],可以看出落塔可实现短时间内10-4 g(g为重力加速度)或更低的微重力水平,失重飞机可提供10 s级的微重力实验时长,但是由于重力水平振荡无法稳定维持较优的微重力水平。为争取到更长的微重力实验时间,各国研究者逐渐聚焦于航天飞机(space shuttle)、空间实验室(skylab)及载人空间站的建设。选择适当的微重力实验设施与燃烧过程的时间尺度和微重力水平需求息息相关。
截至1999年,NASA的微重力燃烧研究计划所资助的燃烧科学实验项目[8]包含燃烧学基础研究、火灾及其他应用、通用测量与诊断。计划目标主要包括:1) 利用空间环境扩展科学知识(首位);2) 促进商业航天与共享人类有关空间探索的知识与技术,提高地球生活品质;3) 提高燃烧系统的效率、降低污染物排放;4) 通过只能从微重力环境得到的实验数据和结论降低火灾风险;5) 针对航天器和地外栖息地的材料可燃特性、降低危害和火灾的探测等重要问题,发展测试方法、数据库和验证测试。
值得一提的是,在1999年以前微重力燃烧学基础研究方面已有13项飞行验证研究,58项地面研究,6个飞行任务,3个手套箱实验项目得到资助,受到资助的研究方向包括预混气体燃烧、非预混气体燃烧、液滴与颗粒物燃烧、喷雾与气溶胶燃烧、碳烟过程、液体和固体表面燃烧、阴燃、金属燃烧、燃烧合成材料等,其中重点方向最终逐步完善成为国际空间站(International Space Station,ISS)上的系列燃烧科学实验项目,例如微重力先进燃烧实验(advanced combustion via microgravity experiments,ACME)、燃烧实验中的结构和升举(structure & liftoff in combustion experiment,SLICE)、火焰熄灭实验(flame extinguishment experiment,FLEX)、同流实验中的烟点(smoke point in co-flow experiment,SPICE)、固体燃料点火与灭火(solid fuel ignition and extinction,SoFIE)、航天器消防安全实验(spacecraft fire safety experiments,Saffire)、固体的燃烧和抑制(burning and suppression of solids,BASS)等。
预混气体燃烧和非预混气体燃烧项目中包含一系列的微重力气体火焰研究[7],例如对冲预混火焰和扩散火焰的拉伸熄灭极限、Carmen涡街中的边界火焰(edge flame)、气体扩散火焰的辐射熄灭、微重力条件下的预混层流和湍流火焰、层流预混火焰中的碳烟生成、火焰传播研究、球形射流火焰结构和响应研究等。作为微重力燃烧研究的重要方向,上述实验结果以及至今尚未解决的科学问题,仍为相关领域的发展带来持续影响。
本文回顾微重力气体射流火焰相关问题的理论分析,并围绕射流扩散火焰的结构、升举和稳定机理、层流向湍流的转捩、辐射与碳烟研究、声场电场和磁场对火焰的影响等介绍相关研究进展并进行总结和展望。
1 微重力气体射流火焰的理论分析Law和Faeth[9]在1994年撰写的微重力燃烧研究综述中凝练了微重力燃烧中与射流火焰相关的科学问题,射流预混火焰方面包括火焰拉伸、火焰面不稳定性、可燃极限、近极限现象;射流非预混火焰方面包括火焰结构、火焰稳定性和碳烟生成过程等,并可以通过以下常见的无量纲数大致判断浮力对宏观反应流现象的具体影响。例如评估浮力克服流体黏度能力的Grashof数(Gr)。
| $G r=\frac{(\Delta \rho / \rho) g L^3}{\nu^2} .$ | (1) |
其中:ρ为流体密度,Δρ为流体的密度差值,L为空间尺度,ν为运动黏度。Gr对于设计微重力实验具有重要意义。例如一般的燃烧问题由于燃烧产物的低密度,Δρ/ρ≈1,ν~O(10-5)m2/s,对于浮力效应可忽略的问题Gr~O(10-1),这意味着gL3应该保持在O(10-6)m4/s2以下。因此,g和L3的数值变化对于Gr具有等效的作用。举例来说,对于常重力燃烧问题(g~O(10)m/s2),当L~O(100)μm,gL3~O(10-7)m4/s2,火焰的浮力效应与落塔微重力实验(g~O(10-4)m/s2)中数十厘米尺度的火焰问题(L~O(10-1)m)类似。这一方面说明了足够微小的火焰进行微重力实验的必要性较低,另一方面说明了若在燃烧特征速度固定的情况下,微小火焰的特征时间非常短。在常重力条件下可利用高速摄像来解析燃烧的全过程,而微重力条件下的实验可通过降低g从而实现利用更低的光学诊断成本观测较大空间尺度的同类燃烧问题(例如:使用mm级液滴的微重力燃烧实验预示μm级液滴的行为),这更有助于观察燃烧现象的全过程。上述分析同时预示了微型燃烧器中的火焰问题可能与宏观微重力火焰问题具有理论一致性[10],一些载人航天火灾相关的固体材料燃烧基础研究利用此原理建立窄通道和低压实验模拟微重力环境,例如ISS上SoFIE实验计划的窄通道(narrow channel apparatus, NCA)项目[11]。然而,由于环境压力直接影响反应动力学,对于反应阶数、碳烟的生成以及辐射的影响通常是难以忽略的。
对于预混火焰,一般可用Richardson数(Ri)来评估浮力和强迫流动的比率。
| $R i=\frac{(\Delta \rho / \rho) g L}{u^2} .$ | (2) |
其中u为特征速度,对于预混火焰来说通常用层流火焰速度SL来评估。同理,若Ri~O(10-1)代表浮力可忽略,对于预混火焰问题尺度L~O(1)m来说,层流火焰速度SL < O(10-1)m/s的近可燃极限燃烧问题在常重力实验中容易观察到显著的浮力效应,例如贫燃极限附近的甲烷燃烧问题[12-13]、稀释条件下的氢气燃烧问题[14-16]和一般的氨气燃烧问题[17-18]。
结合Gr和Ri这2个无量纲数则可以得到流体Reynolds数(Re):
| $R e=\frac{u L}{\nu}=\left(\frac{G r}{R i}\right)^{1 / 2} .$ | (3) |
对于高流速的燃烧问题来说,u主要受流体惯性速度主导,重力不影响宏观燃烧现象,这也是在火焰求解的主导方程中不用加入重力项仍能精准描述此类反应流现象的原因。对于低流速的燃烧问题来说,u将受火焰浮力驱动的流动主导,因此无法通过常重力环境获得低Re(Stokes流区) 的理想燃烧实验数据。常用反应流计算软件Chemkin或Cantera中的一维层流火焰速度计算模块(PREMIX)的主导方程并未加入重力项,设计合理的微重力层流火焰速度测量实验理论上应能直接用于验证此类数值仿真在近极限工况附近的预测,推动近极限反应动力学的发展。
Ronney[19]在1998年进行了当量比和近极限条件下的一般碳氢燃料预混火焰特征时间分析,如表 1所示。由表可知,在常重力情况下浮力几乎不影响燃烧化学,浮力比辐射热损失对火焰的影响更大。辐射的效应通常能在几秒内的落塔进行研究,而失重飞机由于微重力水平较低(10-2 g),不足以消除浮力对火焰的效应,因此辐射效应将难以观察。表中对近极限火焰分析的核心在于:化学时间尺度接近浮力和辐射尺度的条件。这个问题与航天器的火灾防治策略极为相关,这一分析可适时地应用到弱反应火焰,除了实际能源系统中贫燃或富燃技术的基础研究之外,可考虑用在稀释气体较多的灭火问题上[20]。此外,基于此分析思路,在未来的无人驾驶的战机中可能需要克服超重力火焰的稳定性问题,表 1中的浮力特征时间将有可能在数十个g的条件下比当量比化学特征时间更短,将不可避免地形成浮力主导的火焰现象。
2 微重力射流扩散火焰结构研究
1928年,Burke和Schumann[21]首次针对轴对称和平面二维坐标系提出了扩散火焰结构的分析方法。通过假设无限快的化学反应,即空间中具有极薄的火焰面,能够将主导方程简化为扩散和对流主导的冻流(frozen flow)方程,其中假设只有与射流方向垂直的方向存在扩散,且热扩散和质量扩散速度均等(Le=1),模型中不考虑重力影响。以轴对称的同流火焰为例,不同的同流管氧化剂流量能够形成“过通气(overventilated)”和“低通气(underventilated)” 2种火焰面形貌。Law[22]总结的Burke-Schumann火焰示意图和2种典型火焰如图 2所示。
Burke-Schumann火焰的结构具有解析解,主要可分为2部分描述:1) 当量比为1的曲线被视为扩散火焰面,具有特定的空间分布;2) 由当量比为1的位置向内和向外经过一定的坐标变换得到线性的温度和浓度分布。Turns的燃烧学教科书[23]描述的Burke-Schumann火焰结构如图 3所示。Burke-Schumann理论火焰结构中流速与火焰高度的相关性是微重力射流火焰研究的重要出发点之一。
Cochran等[24]自1971年起通过NASA的Lewis研究中心2.2 s微重力落塔开始研究层流气体射流扩散火焰在微重力环境下的燃烧情况。由于落塔实验需要搭建绝对封闭的实验设施,一般包括了用于隔绝外部流动的燃烧室、流量控制器、气瓶、减压阀、电磁阀、控制系统、相机等,这些装置在落舱内形成系统闭环,可在自由落体过程中进行实验,如图 4所示。这样的通用实验装置设置至今仍具有参考价值。
Roper[25]于1977年修改了关于Burke-Schumann火焰的部分假设并提出了层流射流火焰尺寸计算方法,Edelman和Bahadori[26]在1986年利用采集的微重力甲烷射流火焰形貌并与实验值进行了对比。结果表明考虑不同产物对理论预测结果有较大的影响。
在射流火焰问题中,火焰的高度可视为燃料在特征时间内被消耗的高度,而火焰的宽度为燃料自射流出口向外扩散的速度,由于动量的特征射流时间tjet~d02/D,而浮力的特征射流时间tjet~(U0d02/gD)1/2[19](其中d0为流体出口直径,D为扩散系数,U0为出口流速),浮力效应对火焰的影响将消失在U0>gd02/D的条件下,形成动量主导的火焰问题。对于没有同流的射流火焰来说,由于边界层影响,射流速度将随着轴向长度而下降,火焰高度Lf和射流出口直径的比值与Re和Sc数(Sc=ν/D)呈如下关系[27]:
| $\frac{L_{\mathrm{f}}}{d_0}=A {ReSc} ^{\frac{1}{2}} \sqrt{\ln \left(\frac{1}{1-c_{\mathrm{F}}}\right)}+B .$ | (4) |
其中:cF为当量比燃料摩尔分数;A和B为常数,在Haggard Jr.和Cochran[27]的实验中用于区别碳氢燃料和氢气。由于许多碳氢火焰的Sc~1[19],微重力射流火焰的结果在Lf/d0与Re的关系图中呈近似线性关系,但丙烷类(Sc明显大于1)的火焰除外[27]。考虑重力效应时,则需要同时考虑Froude数(Fr=U2/gLf,U为运动速度),而Lf∝ReaFrb[28]。
与常重力火焰相比,因为微重力实验通常使用较低的流速U0,大多数文献中的微重力层流射流火焰都具有较大的火焰宽度Wf。事实上,Wf取决于U在射流空间中如何与横向的扩散形成竞争关系。例如,当浮力主导火焰时,U可能在场中加速,当火焰较为符合Burke-Schumann假设时,U应为定值,而在动量主导的火焰中由于剪切作用U可能随距离而降低。因此,一般认为Wf的理论预测并不比Lf容易,但Sunderland等[28]通过一系列的实验(包括甲烷、乙烷和丙烷等燃料)中的火焰形状总结出如下关系式:
| $\frac{W_{\mathrm{f}}}{d_0} \propto F r^{\frac{1}{4}} R e^{-\frac{1}{4}}.$ | (5) |
实验图像如图 5所示。
由于火焰受浮力或动量控制的实验仍需更宽Fr数范围的实验数据,一些学者使用离心旋转台进行15g以下的超重力射流火焰实验[29-32]。Sunderland等[32]指出,此类实验应通过设计工况以降低碳烟生成对结果的影响。
3 微重力射流火焰的升举和稳定机理研究由于射流喷射出的扩散火焰中燃料在环境气或伴流氧气中会在燃烧器壁面附近形成“预混段(premixed segment)”,因此火焰根部能稳定在燃烧器喷嘴出口附近。此时扩散火焰的根部具有预混火焰的传播特性,并具有典型的三叉(tri-brachial/triple)火焰结构,包括富燃预混火焰、扩散火焰、贫燃预混火焰3个分支,如图 6a所示[22]。当燃料流速增加时,流体的剪切作用使得更大的空间范围内出现燃料和氧化剂的预混,扩散火焰的三叉火焰结构能够向下游移动直到预混火焰的层流火焰速度与当地的流体速度匹配。此现象被称为扩散火焰的“升举”,如图 6b所示[33]。
|
| 注:φ为当量比。 图 6 扩散火焰根部预混区与升举结构 |
事实上,层流扩散火焰的升举更广泛地被认为与湍流扩散火焰中的微结构相关[34],边界三叉火焰在湍流扩散火焰中传播的情况如图 7所示。
已有学者对常重力下层流非预混射流中的升举火焰进行了广泛研究[35-39], 其中围绕火焰的升举[40-41]、火焰根部的三叉火焰[42](又称边界火焰[43]或部分预混火焰[44])特性等也有综述进行了介绍。Chung和Lee[35]在1991年发现了某些氢气火焰无法通过增加燃料流量达到升举状态,而是越过了升举状态直接发生吹熄。Lee和Chung[36]的研究和分析表明,Sc数对火焰稳定升举起决定性作用。只有Sc大于1才能实现稳定的火焰升举,如图 8所示。
由于扩散火焰升举所跨越的距离中,流体仍是冷流,可通过速度和燃料质量分数的相似性解推导出扩散火焰的升举高度HL[33, 36]。
| $H_{\mathrm{L}}=\frac{3}{24}\left(\frac{4 Y_{\mathrm{s}}}{2 S c+1}\right)^{\frac{1}{S c-1}}\left(\frac{U_0}{S_{\mathrm{L}}}\right)^{\frac{2 S c-1}{S c-1}} \frac{d^2 S_{\mathrm{L}}}{\nu} .$ | (6) |
其中:Ys为燃料在当量比条件下的质量分数,SL为层流火焰速度。
不同重力环境下火焰浮力对流体产生加速作用,而上述的速度场解析解可能不再适用,因此火焰的升举高度HL表达式可能更为复杂。不同重力条件下的边界火焰传播的速度Uedge(Uedge=U0-Sd)可用以下关系式[45-46]表示:
| $U_{\text {edge }}=U_{\text {edge, } g=0}\left(1+2 \frac{\rho_{\mathrm{b}}}{\rho_{\mathrm{u}}} \frac{L_{\mathrm{f}}}{S_{\mathrm{L}}^2} g\right)^{\frac{1}{2}} .$ | (7) |
其中:Sd为固定坐标系下边界火焰的传播速度;ρb和ρu分别为已燃侧和未燃侧的气体密度;Uedge, g=0为零重力情况下边界火焰传播速度。
重力造成的加速作用同时增加气流向火焰的卷吸和横向压缩,进一步影响整体火焰结构和升举行为[35-36]。此外,对于升举火焰根部的预混火焰来说,火焰面不稳定性发生的原因较为多样。例如:在重力场作用下,火焰面前后密度差引起Rayleigh-Taylor(RT)不稳定性;由于射流引起的流体剪切Kelvin-Helmholtz(KH)不稳定性;在近极限条件下发生的热扩散不稳定性(大Lewis数不稳定性[47]);由于声场激励交互作用发生的声场不稳定性等[33]。同时,一般认为常重力扩散火焰的振荡闪烁(flickering)与燃烧速率和浮力对流的周期性相互作用有关。这些火焰的不稳定因素能通过设计射流混合气比例和微重力实验进行解耦研究。
Won等[48]通过实验研究了高稀释丙烷在常重力和微重力条件下的伴流扩散火焰振荡特性。为测试浮力驱动的不稳定性机制,通过从常重力进入微重力的实验观察振荡升举火焰的特性。此研究观察到了微重力条件下火焰升举高度大幅降低,且附着于喷嘴而振荡消失的现象,证实了浮力驱动升举火焰不稳定性机制,如图 9所示。
射流火焰能通过剪切层的发展形成具有预混气体的混合层,使火焰成功升举。另一种实验方法是直接在燃料中掺混一定比例的氧化剂(或反之),可以形成较大空间范围的预混气,摆脱燃料氧化剂混合对剪切层的参数依赖,直接形成部分预混火焰。Lock等[49]使用NASA Glenn研究中心的2.2 s落塔设施在微重力环境中研究了甲烷-空气部分预混火焰的升举特性。采用射流速度相等的伴流配置,将射流剪切层对火焰升举行为的影响降至最低。结果如图 10所示,在相同条件下,常重力和微重力火焰的升举高度随着当量比的增加而降低,随着火焰升举高度的降低,火焰根部结构从三重火焰结构转变为双火焰结构。由于浮力引起的不稳定性,常重力升举火焰表现出有序振荡,微重力火焰仍未观察到振荡现象。数值仿真揭示了辐射热损失使升举高度下降。
升举火焰的结构可能因为多段的燃烧放热而改变。Deng等[50]使用二甲醚扩散火焰在自着火热环境下的数值仿真研究了火焰结构对流速振荡的响应。如图 11所示,由于二甲醚燃烧的多段放热特性,升举火焰根部可以是多分叉的结构。二甲醚在常温环境的微重力射流火焰实验[51]目前并未揭示这些额外的火焰分支,而与Won等[48]和Lock等[49]的实验结果类似,微重力条件下并未出现火焰振荡。基于以上,就Buckmaster和Zhang[47]基于边界火焰理论分析提出的近极限大Lewis数的边界火焰振荡来说,目前尚未有微重力升举火焰实验观察到类似现象。
当提升火焰根部的传播速度与当地流速相同时,升举的火焰是稳定的,不相同时则会发生回火或吹熄。中文将“blowoff”和“blowout”均翻译为“吹熄”,国内外教科书中对于这两个词的解释不全然一致,甚至存在交互替代使用的情况。笔者理解off具有离开之意,且blowoff指的是在升举火焰结构不变的情况下离开了固定坐标系的位置[22],即“吹离”,而吹离之后火焰可能仍然存在,与回火恰恰相反。而out具有熄灭之意,blowout指的是在流体和化学特征时间竞争情况下的火焰熄灭,即“吹熄”,可以是弱反应或是强流动造成的熄灭现象。当升举火焰blowoff之后可以因为下游剪切层对燃料的稀释或湍流形成的强拉伸而发生blowout。在下文中统一使用“吹熄”描述这些现象。
Vanquickenborne和Van Tiggelen[52]于1966年提出基于当地速度匹配的吹熄条件。Kalghatgi[53]基于该模型量化了静止空气中非预混湍流射流火焰中各种燃料的吹熄极限。而Broadwell等[54]提出了一种大规模混合模型,强调将热燃烧气体重新夹带到未反应的燃料混合物中以稳定火焰。基于Damköhler数(湍流混合时间与化学反应时间之比)的吹熄准则表征了吹熄行为。研究人员先后对常重力下同流对湍流射流的影响、湍流射流火焰升举和吹熄极限提出了多种模型并进行了理论研究[55-59]。
在此基础上,Wang等[60]研究了常重力和微重力下伴流非预混湍流射流火焰的吹熄行为。微重力下的吹熄速度明显大于常重力下的吹熄速度。利用层流同流速度的相似性解、湍流射流中心速度解以及等效浮力速度建立理论模型来预测伴流速度与重力对吹熄极限的影响。这个基于Damköhler数的物理模型能表征不同重力条件下吹熄极限的差异,模型的预测能力优于Dahm和Mayman[56]及Feikema等[57]提出的模型。
流体是否进入湍流状态能大幅度改变火焰的行为,如图 13所示[61]。流体的状态同时决定了升举稳定和吹熄的理论模型中的径向输运机理,而射流从层流向湍流转捩的过程较为复杂,原因也较为多样,对于火焰的稳定机理具有非常大的影响。下节就此方向的研究展开讨论。
4 微重力射流火焰中的层流向湍流转捩研究
射流与周围环境气体的流体剪切效应促进了KH不稳定性的发展。火焰在常重力情况下所产生的浮力能加剧射流不稳定性,导致火焰中的层流更容易向湍流转捩,进一步促进了层流火焰向湍流火焰转捩。即使在失重的环境条件下,火焰中各处不均等的热膨胀也可能造成流体的扰动,为流体不稳定性提供不确定因素。
Hegde Nyma等[62]研究了常重力和微重力条件下丙烷射流扩散火焰向湍流过渡情况。微重力实验的火焰根部出现的大规模的间歇性对流结构,并在高Re数的实验中被认为是形成过通气的闭口火焰结构的原因。随着Re数的增加,微重力火焰高度逐步接近一个定值。常重力火焰由于浮力加速度引起的有效扩散系数增加,进一步增加了局部Re数,在接近Re=5 800时发生吹熄,而微重力火焰在Re=7 300左右才被吹熄 [63],如图 14所示。
|
| 图 14 微重力下的层流和湍流射流火焰以及其火焰高度与常重力火焰的对比 |
Lee等[64]在常重力条件下使用氮气作为燃料流中的稀释剂,通过实验研究了燃料稀释对非预混射流火焰升举特性的影响。根据喷嘴直径和稀释程度的不同,升举行为可分为3种不同的模式:1) 升举和吹熄都发生在层流状态下;2) 升举发生在层流状态下,而吹熄发生在流体过渡到湍流状态之后;3) 升举和吹熄都发生在湍流状态下。对于过渡情况(即模式2),火焰在层流状态下被升举,并且升举高度迅速增加,直到高度与射流的破碎长度相当。此时,升举高度和破裂长度都随着射流速度的提高而缓慢减小。随着射流速度进一步增加,接近过渡到湍流的临界Re,升举高度突然降低。在此转变之后,升举高度随喷流速度线性增加。该实验的不同火焰升举模式如图 15所示。
|
| 图 15 丙烷/氮气射流实验(Ye, o=0.51, d=2.6 mm) |
Li等[65]在常重力状态下研究了转捩性弱湍流升举射流扩散火焰的稳定特性,发现升举火焰转捩主要是由湍流射流与火焰基底相互作用引起的。随着流体发生间歇性转捩,火焰升举高度随着流体的转捩上下波动,如图 16所示。
基于在常重力下的研究,Li等[66]利用中国国家微重力实验室的3.6 s落塔进行了微重力状态下层流到湍流射流扩散火焰的实验,研究了升举和浮力对火焰转捩的影响,如图 17所示。结果表明,对升举火焰而言,火焰从层流到湍流的转捩主要是由火焰根部附近的早期湍流引起的,而流体湍流化是由火焰上游发生的燃料射流破碎引起的。此外,常重力和微重力的临界转捩Re数范围几乎相同(Re=1 720~2 650)。此研究基于浮力和动量特征时间尺度的调和平均方法,推导了无量纲火焰高度与火焰Fr数之间的2/3幂律相关性。
相较于Delichatsio[67]的2/5幂律模型,此模型在转捩和湍流区与射流火焰高度实验数据吻合更好,如图 18所示。
流体在湍流化之后,随着流速增加,常重力火焰的行为应该由动量主导,即浮力效应趋于不重要。然而,总结目前的实验研究结果[62-66],在吹熄发生之前,微重力和常重力的火焰高度仍是非常不同的,代表浮力仍具有一定的影响。Idicheria等[68]对不同重力条件下过渡型和湍流型非预混射流火焰的结构进行了实验研究。实验在3种重力水平下进行,即1g、20×10-3g和100×10-6g。通过在德克萨斯大学奥斯汀分校的1.25 s和美国宇航局格伦研究中心的2.2 s落塔,分别实现毫重力和微重力条件的实验。研究的火焰是非预混丙烷、乙烯和甲烷射流火焰,Re数从2 000至10 500不等。主要的诊断方法是对火焰碳烟亮度进行时间分辨成像(如图 19所示),并计算图像均值和均方根(root mean square, RMS),研究大尺度结构演化和火焰尖端动态。浮力的相对重要性用Becker和Yamazaki[69]提出的基于浮力和动量长度组合的参数来量化。结果表明,与先前的一些微重力研究结果相反,高Re数火焰长度与重力水平无关,其原因可能是过去的微重力实验都不具备湍流诱导的涡扰动。当无量纲浮力参数ξL小于约2~3时,归一化火焰结构速度与纯动量驱动火焰基本相同。当ξL < 6时,归一化火焰结构速度为常数,但当ξL > 8时,其归一化火焰结构速度正比于ξL3/2。
5 微重力射流火焰中的辐射与碳烟研究
火焰一般是高温气体,因此辐射传热作用能对射流扩散火焰的行为产生影响。就辐射传热的原理来说,表面之间的辐射传热可以发生在真空中,净热流一般与表面的绝对温度和辐射特性相关。然而,非真空的气体火焰的辐射与气体和辐射交互作用相关,能通过发射、吸收和散射等体积性的现象使辐射传热的通量有所增减。因此,辐射传热能发生在火焰与环境壁面之间的所有气体,而微重力火焰由于没有浮力对流,火焰的体积较常重力火焰更大,具有更大的辐射热,表 2展示了不同重力条件下三叉火焰数值仿真中的热辐射占比及相应的火焰温度[70]。
| 重力/g | Tmax/K | qmax/(W·cm-3) | Qrad/W | χrad /% | H /mm | f /Hz |
| 0 | 1 980 | 1 047 | 31.02 | 30.13 | 16.8 | — |
| 0.1 | 1 982 | 1 059 | 23.53 | 22.76 | 16.7 | — |
| 1.0 | 2 002 | 1 135 | 13.12 | 12.59 | 16.5 | 15.2 |
| 2.0 | 2 020 | 1 246 | 9.43 | 9.44 | 16.0 | 20.4 |
| 3.0 | 2 027 | 1 298 | 9.19 | 8.71 | 15.8 | 24.3 |
| 5.0 | 2 042 | 1 402 | 7.01 | 7.29 | 15.6 | 32.1 |
| 10.0 | 2 052 | 1 628 | 4 079 | 4.45 | 15.3 | 51.7 |
| 注:Tmax为最大火焰温度,qmax为最大释热率。 | ||||||
Ronney[19]对于火焰中的辐射传热进行了时间尺度分析(见表 1),由于常重力浮力流动的特征时间远小于辐射对流体的特征传热时间,辐射传热对常重力下的火焰可忽略不计;此外,其分析发现近极限和高压2种工况可能对辐射传热特别敏感,因此需要进一步考虑气体中的辐射再吸收。
燃烧过程中的每个反应物和产物在不同的波长具有不同的发射和吸收截面,但一般无法穷尽对所有组分的辐射传热建模,一般只考虑浓度较高且光谱特性明确的燃料和产物,例如甲烷燃烧过程中的CH4、CO、CO2、H2O等[71]。
Atreya和Agrawal[72]通过光学薄辐射模型的数值仿真,揭示了微重力条件下扩散火焰的化学反应速度随时间1/2次方递减,意味着微重力扩散火焰可能通过辐射热损失导致熄灭。Bahadori等[73]通过失重飞机和数值仿真揭示了微重力甲烷扩散火焰的热辐射是常重力的7倍,而在月球和火星重力场景下是3~4倍。Lock等[74]利用落塔和数值仿真研究了常重力和微重力CO2稀释对部分预混火焰的辐射和熄灭极限,结果表明,辐射热占总释热的比例随着CO2的比例上升,而且伴流火焰与对冲火焰的熄灭行为非常类似。Takahashi等[75-76]的落塔实验和数值仿真揭示了在伴流中加入CO2或与灭火剂相关的CF3Br和C2HF5将造成较低的火焰温度以及削弱的反应火核,因此引发吹熄的熄灭模式;而加入不同稀释气体可将火焰推至近极限工况,火焰熄灭的模式受反应控制并且直接与火焰传播特性相关[76]。
当火焰中具有碳烟或其他颗粒物时,有些工况的火焰动力学同时考虑碳烟辐射现象,相较于常重力的射流火焰,微重力的火焰通过更大的辐射热损失降低火焰温度,通过更慢的特征流体速度增加燃料滞留时间,这些因素直接影响碳烟的生成[77]。Kong和Liu[78]针对不同流速和重力的层流同流甲烷扩散火焰进行了数值仿真,模型中使用了基于统计窄带相关- k的宽带辐射模型,包括了CO、CO2、H2O和碳烟的辐射,使用离散坐标法解析辐射强度,结果如图 20所示。
数值仿真加入辐射模型将使预测温度大幅降低,尤其是对低流速(v=5 cm/s)的火焰,预测火焰温度差异能达到800 K左右。一般来说微重力条件下的流体滞留时间较长,能较常重力生成更多的碳烟,而极低流速工况则会抑制碳烟生成,如图 21所示。
Liu等[79-83]自2002年起针对扩散火焰数值仿真中的辐射和碳烟模型进行了系统性研究,分析了辐射如何影响碳烟生成[79],总结了碳烟和辐射模型在层流扩散火焰中的耦合作用及近似模型[83],包括:固体碳生成、平面生长及氧化的半经验反应动力学模型,描述碳烟颗粒之间凝并和碰撞的分布平衡模型,辐射传热方程中不同气体和碳烟的非灰体吸收系数描述方法等。
碳烟在射流火焰中的生成行为非常复杂,尤其是射流中出现湍流时,碳烟生成的研究需要同时耦合辐射和湍流-化学交互作用的子模型[83]。一般碳烟生成过程的物理和化学模型来自理想流动的燃烧实验,而这些实验在层流射流条件下出现了许多不一致的结果,尤其是来自常重力和微重力环境的实验。
在过去很长一段时间内,研究者认为碳烟生成与燃料分子饱和度相关,但需要火焰达到某碳烟温度(约1 650 K,详见Glassman的多篇综述[84-86])才能生成碳烟。对于射流扩散火焰来说,能通过“烟点”(smoke point)定义火焰开始产生碳烟的高度[87]。这些宏观的参数事实上与燃料射流速度、燃料扩散速度和燃料滞留时间相关,可以用于广泛地定义并研究不同碳氢燃料的火焰。Law和Faeth[9]在1994年回顾了射流扩散火焰中碳烟生成的因素,并总结了微重力对其的影响,主要可通过Sunderland等[88]1994年文章中的碳烟在火焰中的路径示意图进一步分析,如图 22所示。
射流扩散火焰中的碳烟基本上在火焰面内部燃料浓度较高(当量比约为1~2[89])的区域形成,而此区域的大小与浮力相关,同时限制了碳烟的高温区的成核、生长及氧化的时间。对常重力的火焰来说,浮力形成的流动特征速度约为(Δρgz/ρ)1/2[9],沿轴向方向z发展,而微重力射流火焰的流速因为动量守恒约正比于1/z,这直接导致了微重力环境下燃料到达火焰面(以及穿过火焰面)所需要的时间比常重力环境下更长。这个更长的燃料滞留时间未必代表微重力火焰一定形成更多的碳烟。Ronney[19]指出,解释扩散火焰中的碳烟时只考虑燃料滞留时间会产生误导。微重力火焰碳烟的生成仍取决于瞬态和空间组分分布,不能忽略燃料稀释比和压力的影响[86]以及火焰热辐射体积增加所导致的降温。例如,Bahadori等[27]通过微重力射流火焰实验观察到了火焰下游的开口现象(tip-opening),尤其是丙烷射流火焰。此开口现象的火焰形貌类似于图 2中描述的低通气火焰,但是在火焰开口处通常伴随着受辐射热损失以及碳烟形成主导的微弱火焰。Fujita和Ito[90-91]通过微重力实验总结了一种碳烟在火焰下游穿过火焰面而形成“冠状”结构的机制,其中热泳对碳烟路径的效应不可忽略[19],如图 23所示。
不可否认的是,微重力环境为研究扩散火焰中的碳烟提供了一个较为宽裕的工况设计范围,同时由于碳烟生成区域较宽,降低了对火焰碳烟进行光学诊断的空间分辨率要求。表 3是Law和Faeth[9]总结文[88, 92-93]中乙烯和丙烷在微重力和常重力条件下的烟点特性,包括火焰长度和滞留时间。
如表 3所示,在同样的工况条件下,常重力的烟点火焰高度可以是微重力的数倍,而滞留时间比微重力能小一个量级。
微重力射流火焰中的碳烟体积分数(soot volume fraction, fv)是实验结果和数值仿真的比较重点。Megaridis等[94]通过NASA路易斯研究中心2.2落塔研究了微重力层流射流非预混火焰在烟点以上运行时的烟场结构。在相同流速下,在微重力下测得的最大碳烟体积分数几乎是常重力下的两倍,如图 24所示。Greenberg和Ku[95]利用NASA Glenn 2.2 s落塔进行射流火焰从常重力到微重力的转变实验,碳烟体积分数峰值在微重力条件下增加了2~4倍。
Walsh等[96]在常重力和NASA KC-1335抛物线飞机的甲烷共流层流扩散火焰实验中,通过激光诱导白炽灯(laser induced incandesence, LII)信号方式测量了碳烟的相对体积分数,实验结果表明,烟尘浓度和分布对存在的“重力抖动”极为敏感,在没有重力的情况下,碳烟峰值体积分数可以增加多达15倍。Jeon和Choi[97]采用滑轮组和配重改变重力水平,对高温空气燃烧技术(high-temperature air combustion technology,HiCOT)系统进行了0.3 g、0.5 g和0.7 g的部分重力射流火焰实验。尽管火焰温度恒定,但随着空气温度的升高,火焰中的碳烟体积分数增加。由此推断,由于火焰与空气的温差,在火焰周围产生的浮力流动能够影响火焰中碳烟的形成和氧化。
Reimann等[98-99]利用Bremen落塔,对非浮力层流射流扩散火焰的二维光学测量扩展到正庚烷作为燃料,采用双色热分析法获得了温度场,采用激光诱导白炽光测量了烟尘的浓度和初级粒径。与常重力下的火焰相比,非浮力火焰由于颗粒停留时间较长,表现出明显的温度降低和初级颗粒尺寸增大。在这种情况下,最高温度降低了约300 K,最大初级颗粒尺寸在微重力下增加了一倍以上。
Diez等[100]通过哥伦比亚号航天飞机3次飞行在微重力条件下进行的实验,研究了圆形、非浮力、层流射流扩散火焰的碳烟分布特性。实验条件包括乙烯和丙烷燃料火焰在环境温度为298 K、环境压力为35~100 kPa的静止空气中燃烧。测量包括使用去卷积激光消光成像的碳烟体积分数分布和使用去卷积多线发射成像的碳烟温度分布。研究发现碳烟体积分数与每种燃料/压力组合的估计混合物分数具有很好的相关性。这些结果佐证了在稳定的非浮力层流扩散火焰中存在碳烟属性状态关系,且具有推广至湍流扩散火焰碳烟预测的潜力。
但是由于短时间落塔实验中的火焰往往未完全达到稳态,且抛物线飞机实验中的重力抖动会极大地干扰低动量火焰,需通过长时间稳定微重力水平的环境取得更可靠的实验数据。国际空间站上的微重力科学手套箱(microgravity science glovebox, MSG)中进行了射流火焰实验,包括SPICE和SLICE这2个共用实验装置的项目,如图 26所示。
风管上游的直流风机和蜂窝板用于循环手套箱内的空气提供实验的层流同流空气,使用热线风速计测量了单元内流场。由于硬件缺陷,燃油喷嘴附近的同流流动不是完全对称的。采用单反彩色摄像机(Nikon D300S)加上特定波段的滤光片(BG7)拍摄火焰。
Giassi等[103]除了通过滤光后的RGB三色图像对火焰结构中的CH自由基、C2自由基、CO2自由基空间分布进行分析之外,Ma等[104]对一组独特的甲烷/空气共流层流扩散火焰在正常重力和微重力下进行了测量和计算,以研究重力对这些火焰中的碳烟的影响。如图 27所示,实验发现微重力下火焰峰值碳烟体积分数约为常重力下的4~8倍(基于碳烟散射指数和温度测量的不确定性)。碳烟分布在常重力从火焰中心线向微重力时的翼部偏移。由于碳烟辐射损失较高,微重力时的火焰温度低于常重力时的火焰温度。数值仿真成功地预测了微重力扩散火焰碳烟分布较常重力向两侧移动的实验结果。
然而,在Ma等[104]的研究中,数值仿真结果的碳烟体积分数被低估了,特别是在微重力条件下。准确预测碳烟体积分数仍然是一个挑战,需要通过建立高效且准确的反应动力学碳烟前驱物模型以及碳烟生长模型来解决。
SLICE项目为ISS的CIR装置培育了ACME装置计划中的同流层流扩散火焰(coflow laminar diffusion flame,CLD Flame)项目。Dobbins等[105]对常重力(Yale同流燃烧器)和微重力条件(ACME-CLD Flame)下的乙烯层流同流扩散火焰进行了实验和数值仿真研究。在微重力条件下,火焰更长且宽,火焰温度更低,碳烟水平和气体停留时间增加。数值仿真中的碳烟模型考虑了热泳、扩散、碳烟起始(inception)、表面成长、氧化和老化近似模型。辐射模型使用了Monte Carlo光追踪法耦合谱线数据库,包含了吸收、发射和非灰体散射等模型。然而,研究结果表明,该模型仍可能无法准确预测温度场,而将实验测得温度用于求解可以提供更准确的碳烟场,如图 28所示。
碳烟在扩散火焰中的具体分布情况与燃料稀释比和压力相关[106],Veshkini和Dworkin[107]的数值仿真揭示了由于微重力条件下较长的滞留时间,使HACA(hydrogen abstraction carbon addition)的碳烟表面生长以及多环芳烃(polycyclic aromatic hydrocarbons,PAH)的生长具有更充分的时间,尤其促进了扩散火焰在两翼处的高碳烟体积分数,而火焰中心线的碳烟分布对于重力较不敏感。Kempema等[108]研究了使用Yale Coflow燃烧器燃烧40%乙烯空气火焰实验的二维温度曲线来约束共流层流扩散碳烟火焰的详细数值解,因为此方法不求解能量方程和辐射输运方程,能够直接避免辐射模型预测不准确对碳烟分布预测的影响。结果显示,在无约束情况下,碳烟起始是主要的凝聚相形成机制,因此碳烟体积分数的峰值位置从沿火焰翼迁移到中心线,而受实验温度约束的碳烟分布相对准确很多,如图 29所示。此研究说明了扩散火焰中的碳烟分布预测与辐射模型的准确性高度相关。
6 声场、电场和磁场对微重力火焰的影响
火焰和声场的交互作用常见于能源动力系统中燃烧室热声振荡。许多实际应用中的重要故障模式,都是由于热声振荡无法抑制的过度发展造成的,火焰释放的热量或流体产生的压力波振幅产生叠加能会对燃烧室产生直接的力学破坏。由于燃烧的热声振荡现象和压力波与环境包络面所产生的共振相关,许多宏观的热声振荡研究使用火焰响应函数和反馈模型对热声振荡的频率和振幅发展进行研究[109-110],而许多实验或数值仿真分析直接针对具体燃烧室规模开展[111],一些基础研究使用Rijke管分析特定尺寸共振腔燃烧中的热声耦合现象和热声振荡的Rayleigh稳定条件[112]。由于微重力实验对于装置体积和安全性要求较高,微重力条件下的宏观燃烧与燃烧腔体的热声振荡实验较难进行。一些研究者基于火灾场景的应用进行声场影响火焰稳定性的实验,为声致灭火提供重要依据[113-115]。
Xiong等[115]指出,火焰脉动位移主要是由扬声器膜(或振膜)运动引起的气流,该气流比纯声波(纵压振荡)引起的空气分子位移大100倍左右。因此,声场灭火不是由声波引起的,而是由扬声器(声源)引起的脉动风引起的。Sugui等[116]利用狭缝燃烧器形成部分预混火焰并在火焰两侧施加声场,观察了声压对火焰传播前锋(图 30)以及火焰分支结构(图 31)的影响。
由于火焰是弱等离子体,火焰中带电的组分(H3O+, C3H3+, CH3+, CHO+, O2-, OH-, O-, CHO2-, CHO3-, CO3-)[117-119]和电子在空间中的分布可受电场影响,造成了宏观火焰形貌和结构受其控制的现象。此类现象容易在没有浮力对流的环境下体现出来,因此这是适合在微重力条件下研究的燃烧现象。Dunn-Rankin团队[120-122]研究了利用电场在常重力环境下模拟微重力射流火焰的方法,火焰形貌如图 32所示。初期的实验通过毛细管提供燃料,2012年之后的实验使用气体燃料并在燃烧器和下游远场形成电场,如图 33所示。事实上,笔者认为电场与带电燃烧产物交互作用所产生的体积力与浮力所产生的体积力并不能完全等价,即便是常重力火焰在电场中的形貌近似微重力火焰也不能完全视为模拟微重力环境的手段。
Karnani等[122]利用NASA的2.2s落塔研究了电场对微重力火焰的影响。对于所研究的火焰条件,1 kV/cm范围内的电场可以模拟1 g环境下浮力的影响。根据燃料平均喷射速度,来自同流的强制对流也可以产生类似的对流效果。弱电场对射流火焰的影响在1 g下被浮力对流所掩盖。离子电流的瞬态测量表明碳烟颗粒的存在降低测量的离子电流。碳烟辐射通过淬火反应区来降低火焰温度,这会对离子产生巨大影响,而碳烟的产生及其随后的氧化将动力学途径转向非电离的组分,这也可能减少离子的产生和降低测量的离子电流。
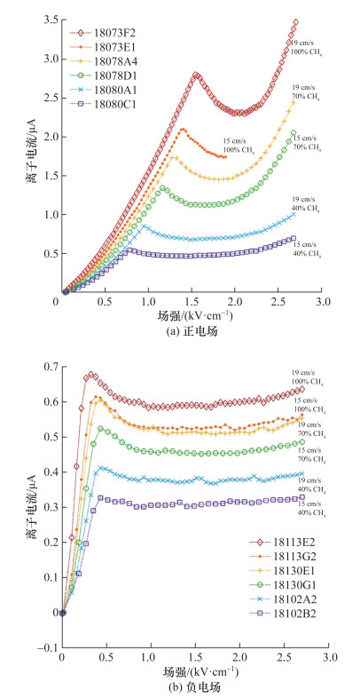
近年来国际空间站ACME计划中的E-FIELD项目已经得到一些实验结果。Chien等[123]通过研究国际空间站上甲烷同流火焰的电场效应,得到了微重力电场中甲烷扩散火焰的图像和离子电流,如图 34所示。结果表明,火焰在饱和时最为致密,而实测的电压-电流特性(VCC)曲线在饱和后表现出抛物线行为,这与地球上常重力的观测结果不同。浮力的消除使分析结果更为清晰明确。
甲烷/空气同流火焰的形貌可以通过无碳烟火焰图像的自然化学发光进行观察。实验结果表明,在负电场中,当火焰处于最短的高度(即向下驱动的风最强)时,就会出现峰值离子电流。在正电场中,火焰显示为常重力状态下的烛状,显示出类似于重力驱动的浮力流的向上离子驱动风。此外,对于正场,离子电流峰值随着碳流入而线性增加,如图 35所示。由于火焰形状和离子电流是相关的,因此难以量化饱和离子电流与火焰动力学的关联。在离子电流达到饱和时,火焰产生每个碳原子流入的可预测离子电流水平,这表明所有火焰都具有一致的化学动力学,导致每个碳原子的正离子饱和产生之间存在一致的关系作为燃料稀释的函数。
磁场施加在火焰中的磁性物质能使这些物质在空间受力移动,磁力Fm在一维均匀的磁场梯度中可以通过真空磁导率(vacuum magnetic permeability, μ0)、磁化率(magnetic susceptibility, χ)和磁场强度(magnetic-field strength, H)表示,如下所示:
| $F_{\mathrm{m}}=\mu_0 \chi H\left(\frac{\mathrm{~d} H}{\mathrm{~d} x}\right) .$ | (8) |
表 4展示了Fujita等[124]总结的火焰场中代表性气相物质的磁化率χ。
| 气相物质 | χ/(emu·mL-1) |
| O2 | 1.54×10-7 |
| N2 | -0.54×10-9 |
| CO2 | -0.11×10-9 |
| H2O | -0.58×10-9 |
| C3H8 | -1.80×10-9 |
表 4中磁化率为正的称为顺磁性物质,为负的称为抗磁性物质。顺磁性物质沿着递增的磁场强度移动。由于O2具有相当于其他物质约2个量级的磁化率,一般认为火焰中O2的含量决定了火焰受磁场移动的方向[124]。同理,研究火焰受磁场的影响可以通过微重力环境以降低浮力对流对火焰的影响。
Wakayama等[125-126]使用日本微重力中心(Japan Microgravity Center, JAMIC)的落井研究了一种在微重力条件下利用磁场产生对流气流并支持燃烧的简单方法,如图 36所示。磁场作用于顺磁性氧,吸引富含氧气的新鲜空气,并将燃烧产物推出。因此,微重力条件下空气中的扩散火焰能在几秒内熄灭。然而,当火焰周围布置紧凑型永磁铁时,扩散火焰变得比正常重力下更明亮,更短。这些实验表明,在微重力条件下,磁场可以诱导空气流动并完全支持燃烧,并且证明该方法也可用于在微重力下燃烧液体或固体燃料,而无需压缩机强制对流。
Fujita等[124]在微重力环境下,研究了不同强度的磁场(0~215 mT)对层流射流扩散火焰的影响,尤其是利用微重力实验揭示弱磁场对燃烧的影响。当磁场强度超过临界值时,火焰能够保持稳定。火焰的形状、长度、亮度和颜色,被用于形成评估磁场强度的函数。火焰长度随磁场强度的增加而减小,火焰颜色由红色变为黄色,表明温度随磁场强度的增加而升高,如图 37所示。
磁场对火焰的影响可以通过由磁性定义的Grashof数Grm评估[124],如下所示:
| $G r_{\mathrm{m}}=\mu_0\left(\chi_{\mathrm{f}}-\chi_{\mathrm{o}}\right) H\left(\frac{\mathrm{~d} H}{\mathrm{~d} x}\right) d^3 / \rho v^2$ | (8) |
其中:χf为火焰平均磁导率,χo是环境气体的平均磁导率。此研究表明,当Grm大于102~103(在Pr数统一的条件下依赖于边界条件)时,火焰能够在微重力条件下具有类似常重力自然对流的磁对流。Fujita等[124]使用由氧气质量分数定义的磁力F[O2],能将不同氧气质量分数的实验结果归一化,如图 38所示。
7 总结与展望
本文回顾了自20世纪60年代起的微重力射流扩散火焰研究,包括了利用落塔、抛物线飞机和载人航天器搭载的实验研究以及相应的建模手段和理论发展。需要注意的是,本文重点在于“射流”及“扩散火焰”相关研究,仍有许多微重力气体火焰动力学现象未涵盖在本文的讨论范围,例如:微重力点火临界极限与可燃极限、自维持火焰球、近极限球形火焰传播、微重力条件下的预混火焰面不稳定性、近极限对冲火焰拉伸熄灭现象以及近期在国际空间站ACME计划中通过球形扩散火焰得到的冷火焰和熄灭现象等。这些现象在理论层面上皆与燃烧化学释热和辐射热损的竞争,或扩散或流体交互作用相关,而微重力能够提供理想可控的流场,为揭示交互作用中的微弱竞争关系带来可能性,尤其是围绕着远离当量比混合比例的弱反应体系产生的应用需求,微重力条件下的火焰动力学研究仍是发展相应理论的重要途径。
关于微重力射流扩散火焰研究,从近极限化学反应的角度而言,需要更多微重力条件下进行的弱火焰实验。这些弱火焰的研究与实际能源动力系统中对于减排和分级燃烧的火焰稳定性相关。同时,当火焰在空间分布上不具有跨越当量比为1的区域,实验现象将挑战基于无限快反应假设的扩散火焰理论,火焰的稳定、升举和吹熄将与反应动力学和当地流体的细微交互作用相关,并且需要对具体的输运参数进行分析。此类的弱火焰研究需要辅以数值仿真,然而,目前的反应动力学基础研究仍未能准确预测近可燃极限附近的火焰传播特性,有待于更多创新性的研究手段优化近可燃极限附近的反应动力学模型。
从流体和燃烧转捩的角度而言,由于流体转捩直接影响火焰的转捩,因此流体从层流到湍流的转捩问题是此类研究的重要基础。然而,流体的转捩实验研究仍具有相当大的挑战性,任何管道或是流动本身的不完美都可能使流体提前转捩至湍流。此类研究也许需要国内外学者建立标准燃烧器,并对标准燃烧器的加工精度和表面粗糙度提出统一要求。从模型的角度,若流体产生统计上可控的湍流流动,流体与燃烧的交互作用方能通过微重力实验总结成为置信度更好的模型。
从碳烟和辐射的角度而言,不论是碳烟前驱物的反应动力学还是碳烟成核之后的物理过程都需要更精简而准确的模型。然而,碳烟前驱物在气相的反应动力学过程需要涵盖从小分子到大分子的描述,足够精确的模型往往需要进行二维或三维火焰数值仿真,付出巨大的计算成本。在微重力极大地简化流场的同时,也许能够考虑更细致的反应动力学模型,但仍需要对更精确的碳烟前驱物反应动力学模型进行简化或针对代表性反应路径提供预训练的机器学习模型。目前辐射传热模型对于大分子燃料及其衍生的产物较难实现精确预测,在计算代价较高的辐射模型中仍需要关注燃料组分的辐射特性,尤其是在高压的微重力火焰实验中。微重力火焰中的辐射和碳烟对于火焰的影响存在双向耦合,需要研究者通过实验工况的设计将2个现象解耦。此外,火焰中颗粒物的生成是比碳烟更宏观的问题,应用了功能性纳米材料的火焰合成技术。通过微重力条件的理想流场能够针对一些层流火焰的工况对颗粒物形成过程进行研究,由于微重力实验的光学诊断设备通常较为精简,可能需要一些特殊的光学或采集手段研究颗粒物形成的全过程。
声场和微重力火焰交互作用的研究可以结合近极限火焰和流体交互作用方向的研究进行,目前有一些微重力预混火焰的研究使用声场作为流体的扰动源,在微重力近极限扩散火焰研究方面需要从驻波、流体扰动等常规实验思路总结声场对理论和建模层面的影响。电场和微重力火焰交互作用的研究应对诊断手段提出更高的要求,可从火焰整体的离子电流进步到电子密度和关键组分的时空诊断测量,或针对理想的均匀电场进行设计,否则较难揭示火焰带电物质在电场作用下迁移的机理。近极限火焰的研究或能够通过等离子体对于宏观反应速率的调控进行研究。磁场对于微重力火焰的影响可总结为对顺磁性氧分子的影响,微重力扩散火焰能够形成与浮力非常类似的流体作用力,而部分预混火焰中氧分子具有一定空间分布,对这种问题的研究较少,可通过微重力环境所带来的理想流场进一步揭示交互作用和宏观火焰形貌变化的机理,以探索对磁场拓宽可燃极限的应用。
| [1] |
KUMAGAI S, ISODA H. Combustion of fuel droplets in a falling chamber[J]. Symposium (International) on Combustion, 1957, 6(1): 726-731. DOI:10.1016/S0082-0784(57)80100-3 |
| [2] |
ISODA H, KUMAGAI S. New aspects of droplet combustion[J]. Symposium (International) on Combustion, 1958, 7(1): 523-531. DOI:10.1016/S0082-0784(58)80087-9 |
| [3] |
THOMPSON F L, BORMAN F, VAN DOLAH R W, et al. Report of apollo 204 review board[R]. Washington: NASA, 1967.
|
| [4] |
FRIEDMAN R. Fire safety practices in the shuttle and the space station freedom[C]//The Second International Microgravity Combustion Workshop. Cleveland, Ohio, USA: NASA, 1993.
|
| [5] |
NASA. Microgravity combustion science: A program overview[C]//NASA Technical Memorandum 101424. Cleveland, Ohio, USA: Lewis Research Center, 1989.
|
| [6] |
SACKSTEDER K R. Fourth international microgravity combustion workshop[C]. Cleveland: NASA, 1997.
|
| [7] |
SACKSTEDER K R. Fifth international microgravity combustion workshop[C]. Cleveland: NASA, 1999.
|
| [8] |
FRIEDMAN R, GOKOGLU S A, URBAN D L. Microgravity Combustion Research: 1999 Program and Results[C]. Cleveland: Glenn Research Center, 1999.
|
| [9] |
LAW C K, FAETH G M. Opportunities and challenges of combustion in microgravity[J]. Progress in Energy and Combustion Science, 1994, 20(1): 65-113. DOI:10.1016/0360-1285(94)90006-X |
| [10] |
JU Y, MARUTA K. Microscale combustion: Technology development and fundamental research[J]. Progress in energy and combustion science, 2011(6). DOI:10.1016/j.pecs.2011.03.001 |
| [11] |
HOSSAIN S, WICHMAN I S, MILLER F J, et al. Opposed flow flame spread over thermally thick solid fuels: Buoyant flow suppression, stretch rate theory, and the regressive burning regime[J]. Combustion and Flame, 2020, 219: 57-69. DOI:10.1016/j.combustflame.2020.05.001 |
| [12] |
RONNEY P D, WACHMAN H Y. Effect of gravity on laminar premixed gas combustion Ⅰ: Flammability limits and burning velocities[J]. Combustion and Flame, 1985, 62(2): 107-119. DOI:10.1016/0010-2180(85)90139-7 |
| [13] |
WANG S F, ZHANG H, JAROSINSKI J, et al. Laminar burning velocities and Markstein lengths of premixed methane/air flames near the lean flammability limit in microgravity[J]. Combustion and Flame, 2010, 157(4): 667-675. DOI:10.1016/j.combustflame.2010.01.006 |
| [14] |
QIAO L, GU Y X, DAHM W J A, et al. A study of the effects of diluents on near-limit H2-air flames in microgravity at normal and reduced pressures[J]. Combustion and Flame, 2007, 151(1-2): 196-208. DOI:10.1016/j.combustflame.2007.06.013 |
| [15] |
QIAO L, GU Y X, DAHM W J A, et al. Near-limit laminar burning velocities of microgravity premixed hydrogen flames with chemically-passive fire suppressants[J]. Proceedings of the Combustion Institute, 2007, 31(2): 2701-2709. DOI:10.1016/j.proci.2006.07.012 |
| [16] |
PU Y K, HU J, JAROSINSKI J. Experimentally determined flame properties near flammability limits under gravity and microgravity conditions[J]. Combustion Science and Technology, 2009, 181(12): 1431-1442. DOI:10.1080/00102200903074220 |
| [17] |
RONNEY P D. Effect of chemistry and transport properties on near-limit flames at microgravity[J]. Combustion Science and Technology, 1988, 59(1-3): 123-141. DOI:10.1080/00102208808947092 |
| [18] |
HAYAKAWA A, GOTO T, MIMOTO R, et al. Laminar burning velocity and Markstein length of ammonia/air premixed flames at various pressures[J]. Fuel, 2015, 159: 98-106. DOI:10.1016/j.fuel.2015.06.070 |
| [19] |
RONNEY P D. Understanding combustion processes through microgravity research[J]. Symposium (International) on Combustion, 1998, 27(2): 2485-2506. DOI:10.1016/S0082-0784(98)80101-X |
| [20] |
VANDERWEGE B A, BUSH M T, HOCHGREB S, et al. Effect of CF3H and CF3Br on laminar diffusion flames in normal and microgravity[C]// The 3rd International Microgravity Combustion Conference. Cleveland, Ohio, USA: NASA Lewis Research Center, 1995.
|
| [21] |
BURKE S P, SCHUMANN T E W. Diffusion flames[J]. Proceedings of the Symposium on Combustion, 1948, 1-2: 2-11. DOI:10.1016/S1062-2888(65)80003-X |
| [22] |
LAW C K. Combustion physics[M]. Cambridge: Cambridge University Press, 2006.
|
| [23] |
TURNS S R. An introduction to combustion: Concepts and applications[M]. 3rd ed. New York: McGraw-Hill, 2012.
|
| [24] |
COCHRAN T H, MASICA W J. An investigation of gravity effects on laminar gas-jet diffusion flames[J]. Symposium (International) on Combustion, 1971, 13(1): 821-829. DOI:10.1016/S0082-0784(71)80084-X |
| [25] |
ROPER F G. The prediction of laminar jet diffusion flame sizes: Part Ⅰ. theoretical model[J]. Combustion and Flame, 1977, 29: 219-226. DOI:10.1016/0010-2180(77)90112-2 |
| [26] |
EDELMAN R B, BAHADORI M Y. Effects of buoyancy on gas-jet diffusion flames: Experiment and theory[J]. Acta Astronautica, 1986, 13(11-12): 681-688. DOI:10.1016/0094-5765(86)90018-4 |
| [27] |
HAGGARD JR J B, COCHRAN T H. Hydrogen and hydrocarbon diffusion flames in a weightless environment[C]. Cleveland: Lewis Research Center, 1973.
|
| [28] |
SUNDERLAND P B, MENDELSON B J, YUAN Z G, et al. Shapes of buoyant and nonbuoyant laminar jet diffusion flames[J]. Combustion and Flame, 1999, 116(3): 376-386. DOI:10.1016/S0010-2180(98)00045-5 |
| [29] |
ALTENKIRCH R A, EICHHORN R, HSU N N, et al. Characteristics of laminar gas jet diffusion flames under the influence of elevated gravity[J]. Symposium (International) on Combustion, 1977, 16(1): 1165-1174. DOI:10.1016/S0082-0784(77)80405-0 |
| [30] |
DUROX D, YUAN T, BAILLOT F, et al. Premixed and diffusion flames in a centrifuge[J]. Combustion and Flame, 1995, 102(4): 501-511. DOI:10.1016/0010-2180(95)00051-7 |
| [31] |
ARAI M, SATO H, AMAGAI K. Gravity effects on stability and flickering motion of diffusion flames[J]. Combustion and Flame, 1999, 118(1-2): 293-300. DOI:10.1016/S0010-2180(98)00159-X |
| [32] |
SUNDERLAND P B, HAYLETT J E, URBAN D L, et al. Lengths of laminar jet diffusion flames under elevated gravity[J]. Combustion and Flame, 2008, 152(1-2): 60-68. DOI:10.1016/j.combustflame.2007.08.011 |
| [33] |
AKKERMAN V, LAW C K. Coupling of harmonic flow oscillations to combustion instability in premixed segments of triple flames[J]. Combustion and Flame, 2016, 172: 342-348. DOI:10.1016/j.combustflame.2016.07.019 |
| [34] |
VERVISCH L, POINSOT T. Direct numerical simulation of non-premixed turbulent flames[J]. Annual Review of Fluid Mechanics, 1998, 30: 655-691. DOI:10.1146/annurev.fluid.30.1.655 |
| [35] |
CHUNG S H, LEE B J. On the characteristics of laminar lifted flames in a nonpremixed jet[J]. Combustion and Flame, 1991, 86(1-2): 62-72. DOI:10.1016/0010-2180(91)90056-H |
| [36] |
LEE B J, CHUNG S H. Stabilization of lifted tribrachial flames in a laminar nonpremixed jet[J]. Combustion and Flame, 1997, 109(1-2): 163-172. DOI:10.1016/S0010-2180(96)00145-9 |
| [37] |
KIONI P N, ROGG B, BRAY K N C, et al. Flame spread in laminar mixing layers: The triple flame[J]. Combustion and Flame, 1993, 95(3): 276-290. DOI:10.1016/0010-2180(93)90132-M |
| [38] |
VERVISCH L. Using numerics to help the understanding of non-premixed turbulent flames[J]. Proceedings of the Combustion Institute, 2000, 28(1): 11-24. DOI:10.1016/S0082-0784(00)80190-3 |
| [39] |
GHOSAL S, VERVISCH L. Stability diagram for lift-off and blowout of a round jet laminar diffusion flame[J]. Combustion and Flame, 2001, 124(4): 646-655. DOI:10.1016/S0010-2180(00)00224-8 |
| [40] |
PITTS W M. Assessment of theories for the behavior and blowout of lifted turbulent jet diffusion flames[J]. Symposium (International) on Combustion, 1989, 22: 809-816. DOI:10.1016/S0082-0784(89)80090-6 |
| [41] |
LAWN C J. Lifted flames on fuel jets in co-flowing air[J]. Progress in Energy and Combustion Science, 2009, 35(1): 1-30. DOI:10.1016/j.pecs.2008.06.003 |
| [42] |
CHUNG S H. Stabilization, propagation and instability of tribrachial triple flames[J]. Proceedings of the Combustion Institute, 2007, 31(1): 877-892. DOI:10.1016/j.proci.2006.08.117 |
| [43] |
BUCKMASTER J. Edge-flames[J]. Progress in Energy and Combustion Science, 2002, 28(5): 435-475. DOI:10.1016/S0360-1285(02)00008-4 |
| [44] |
AGGARWAL S K. Extinction of laminar partially premixed flames[J]. Progress in Energy and Combustion Science, 2009, 35(6): 528-570. DOI:10.1016/j.pecs.2009.04.003 |
| [45] |
CHEN J Y, ECHEKKI T. Numerical study of buoyancy effects on the structure and propagation of triple flames[J]. Combustion Theory and Modelling, 2001, 5(4): 499-515. DOI:10.1088/1364-7830/5/4/301 |
| [46] |
CHEN Y, LIU Y C. On the propagation of partially premixed flame spanning a wide range of gravity levels[C]//AIAA Propulsion and Energy 2020 Forum. AIAA, 2020.
|
| [47] |
BUCKMASTER J, ZHANG Y. Oscillating edge-flames[J]. Combustion Theory and Modelling, 1999, 3(3): 547-565. DOI:10.1088/1364-7830/3/3/307 |
| [48] |
WON S H, KIM J, SHIN M K, et al. Normal and microgravity experiment of oscillating lifted flames in coflow[J]. Proceedings of the Combustion Institute, 2002, 29(1): 37-44. DOI:10.1016/S1540-7489(02)80009-8 |
| [49] |
LOCK A J, BRIONES A M, QIN X, et al. Liftoff characteristics of partially premixed flames under normal and microgravity conditions[J]. Combustion and Flame, 2005, 143(3): 159-173. DOI:10.1016/j.combustflame.2005.05.011 |
| [50] |
DENG S L, ZHAO P, MUELLER M E, et al. Flame dynamics in oscillating flows under autoignitive conditions[J]. Combustion and Flame, 2016, 168: 75-82. DOI:10.1016/j.combustflame.2016.04.001 |
| [51] |
JEON D S, HWANG G J, JANG H J, et al. Lift-off characteristics of non-premixed jet flames in laminar/turbulent transition[J]. Combustion and Flame, 2022, 238: 111948. DOI:10.1016/j.combustflame.2021.111948 |
| [52] |
VANQUICKENBORNE L, VAN TIGGELEN A. The stabilization mechanism of lifted diffusion flames[J]. Combustion and Flame, 1966, 10(1): 59-69. DOI:10.1016/0010-2180(66)90028-9 |
| [53] |
KALGHATGI G T. Blow-out stability of gaseous jet diffusion flames. Part Ⅰ: In still air[J]. Combustion Science and Technology, 1981, 26(5-6): 233-239. DOI:10.1080/00102208108946964 |
| [54] |
BROADWELL J E, DAHM W J A, MUNGAL M G. Blowout of turbulent diffusion flames[J]. Symposium (International) on Combustion, 1985, 20(1): 303-310. DOI:10.1016/S0082-0784(85)80515-4 |
| [55] |
DAHM W J A, DIBBLE R W. Coflowing turbulent jet diffusion flame blowout[J]. Symposium (International) on Combustion, 1989, 22(1): 801-808. DOI:10.1016/S0082-0784(89)80089-X |
| [56] |
DAHM W J A, MAYMAN A G. Blowout limits of turbulent jet diffusion flames for arbitrary source conditions[J]. AIAA Journal, 1990, 28(7): 1157-1162. DOI:10.2514/3.25186 |
| [57] |
FEIKEMA D, CHEN R H, DRISCOLL J F. Blowout of nonpremixed flames: Maximum coaxial air velocities achievable, with and without swirl[J]. Combustion and Flame, 1991, 86(4): 347-358. DOI:10.1016/0010-2180(91)90128-X |
| [58] |
MUÑIZ L, MUNGAL M G. Instantaneous flame-stabilization velocities in lifted-jet diffusion flames[J]. Combustion and Flame, 1997, 111(1-2): 16-31. DOI:10.1016/S0010-2180(97)00096-5 |
| [59] |
BROWN C D, WATSON K A, LYONS K M. Studies on lifted jet flames in coflow: The stabilization mechanism in the near-and far-fields[J]. Flow, Turbulence and Combustion, 1999, 62: 249-273. DOI:10.1023/A:1009925500084 |
| [60] |
WANG Q, HU L H, WANG S M, et al. Blowout of non-premixed turbulent jet flames with coflow under microgravity condition[J]. Combustion and Flame, 2019, 210: 315-323. DOI:10.1016/j.combustflame.2019.08.041 |
| [61] |
GLASSMAN I, YETTER R A, GLUMAC N G. Combustion[M]. 5th ed. Academic Press, 2014.
|
| [62] |
HEGDE NYMA U, ZHOU L, BAHADORI M Y. The transition to turbulence of microgravity gas jet diffusion flames[J]. Combustion Science and Technology, 1994, 102(1-6): 95-113. DOI:10.1080/00102209408935471 |
| [63] |
BAHADORI M Y, SMALL JR J F, HEGDE U G, et al. Characteristics of transitional and turbulent jet diffusion flames in microgravity[C]//The 3rd International Microgravity Combustion Conference. Cleveland, Ohio, USA: NASA Lewis Research Center, 1995.
|
| [64] |
LEE B J, KIM J S, CHUNG S H. Effect of dilution on the liftoff of non-premixed jet flames[J]. Symposium (International) on Combustion, 1994, 25(1): 1175-1181. DOI:10.1016/S0082-0784(06)80756-3 |
| [65] |
LI D, LIU Y C, ZHANG Y, et al. Stabilization characteristics of transitional and weakly turbulent lifted jet diffusion flames[J]. Combustion Science and Technology, 2024, 196(17): 4771-4728. |
| [66] |
LI D, WEN Y Z, LIU Y C, et al. On the transition modes and mechanisms for laminar to turbulent lifted jet diffusion flames at normal-and micro-gravity[J]. Combustion and Flame, 2024, 260: 113269. DOI:10.1016/j.combustflame.2023.113269 |
| [67] |
DELICHATSIOS M A. Transition from momentum to buoyancy-controlled turbulent jet diffusion flames and flame height relationships[J]. Combustion and Flame, 1993, 92(4): 349-364. DOI:10.1016/0010-2180(93)90148-V |
| [68] |
IDICHERIA C A, BOXX I G, CLEMENS N T. Characteristics of turbulent nonpremixed jet flames under normal-and low-gravity conditions[J]. Combustion and Flame, 2004, 138(4): 384-400. DOI:10.1016/j.combustflame.2004.07.002 |
| [69] |
BECKER H A, YAMAZAKI S. Entrainment, momentum flux and temperature in vertical free turbulent diffusion flames[J]. Combustion and Flame, 1978, 33: 123-149. DOI:10.1016/0010-2180(78)90055-X |
| [70] |
QIN X, PURI I K, AGGARWAL S K, et al. Gravity, radiation, and coflow effects on partially premixed flames[J]. Physics of Fluids, 2004, 16(8): 2963-2974. DOI:10.1063/1.1764835 |
| [71] |
JU Y G, GUO H S, MARUTA K, et al. On the extinction limit and flammability limit of non-adiabatic stretched methane-air premixed flames[J]. Journal of Fluid Mechanics, 1997, 342: 315-334. DOI:10.1017/S0022112097005636 |
| [72] |
ATREYA A, AGRAWAL S. Effect of radiative heat loss on diffusion flames in quiescent microgravity atmosphere[J]. Combustion and Flame, 1998, 115(3): 372-382. DOI:10.1016/S0010-2180(97)00364-7 |
| [73] |
BAHADORI M Y, STOCKER D P, ZHOU L, et al. Radiative loss from non-premixed flames in reduced-gravity environments[J]. Combustion Science and Technology, 2001, 167(1): 169-186. DOI:10.1080/00102200108952181 |
| [74] |
LOCK A, AGGARWAL S K, PURI I K, et al. Suppression of fuel and air stream diluted methane-air partially premixed flames in normal and microgravity[J]. Fire Safety Journal, 2008, 43(1): 24-35. DOI:10.1016/j.firesaf.2007.02.004 |
| [75] |
TAKAHASHI F, KATTA V R, LINTERIS G T, et al. Cup-burner flame structure and extinguishment by CF3Br and C2HF5 in microgravity[J]. Proceedings of the Combustion Institute, 2013, 34(2): 2707-2717. DOI:10.1016/j.proci.2012.06.091 |
| [76] |
TAKAHASHI F, LINTERIS G T, KATTA V R. Extinguishment of methane diffusion flames by inert gases in coflow air and oxygen-enriched microgravity environments[J]. Proceedings of the Combustion Institute, 2011, 33(2): 2531-2538. DOI:10.1016/j.proci.2010.06.086 |
| [77] |
ZHANG D, FANG J, GUAN J F, et al. Laminar jet methane/air diffusion flame shapes and radiation of low air velocity coflow in microgravity[J]. Fuel, 2014, 130: 25-33. DOI:10.1016/j.fuel.2014.04.008 |
| [78] |
KONG W J, LIU F S. Numerical study of the effects of gravity on soot formation in laminar coflow methane/air diffusion flames under different air stream velocities[J]. Combustion Theory and Modelling, 2009, 13(6): 993-1023. DOI:10.1080/13647830903342527 |
| [79] |
LIU F S, GUO H S, SMALLWOOD G J, et al. Effects of gas and soot radiation on soot formation in a coflow laminar ethylene diffusion flame[J]. Journal of Quantitative Spectroscopy and Radiative Transfer, 2002, 73(2-5): 409-421. DOI:10.1016/S0022-4073(01)00205-9 |
| [80] |
LIU F S, GUO H S, SMALLWOOD G J. Effects of radiation model on the modeling of a laminar coflow methane/air diffusion flame[J]. Combustion and Flame, 2004, 138(1-2): 136-154. DOI:10.1016/j.combustflame.2004.04.007 |
| [81] |
LIU F S, SMALLWOOD G J, KONG W J. The importance of thermal radiation transfer in laminar diffusion flames at normal and microgravity[J]. Journal of Quantitative Spectroscopy and Radiative Transfer, 2011, 112(7): 1241-1249. DOI:10.1016/j.jqsrt.2010.08.021 |
| [82] |
LIU F S, CONSALVI J L, COELHO P J, et al. The impact of radiative heat transfer in combustion processes and its modeling-with a focus on turbulent flames[J]. Fuel, 2020, 281: 118555. DOI:10.1016/j.fuel.2020.118555 |
| [83] |
LIU F S, CONSALVI J L, NMIRA F. The importance of accurately modelling soot and radiation coupling in laminar and laboratory-scale turbulent diffusion flames[J]. Combustion and Flame, 2023, 258: 112573. DOI:10.1016/j.combustflame.2022.112573 |
| [84] |
GOMEZ A, LITTMAN M G, GLASSMAN I. Comparative study of soot formation on the centerline of axisymmetric laminar diffusion flames: Fuel and temperature effects[J]. Combustion and Flame, 1987, 70(2): 225-241. DOI:10.1016/0010-2180(87)90081-2 |
| [85] |
GLASSMAN I. Soot formation in combustion processes[J]. Symposium (International) on Combustion, 1989, 22(1): 295-311. DOI:10.1016/S0082-0784(89)80036-0 |
| [86] |
GLASSMAN I. Sooting laminar diffusion flames: Effect of dilution, additives, pressure, and microgravity[J]. Symposium (International) on Combustion, 1998, 27(1): 1589-1596. DOI:10.1016/S0082-0784(98)80568-7 |
| [87] |
SCHALLA R L, MCDONALD G E. Mechanism of smoke formation in diffusion flames[J]. Symposium (International) on Combustion, 1955, 5(1): 316-324. DOI:10.1016/S0082-0784(55)80042-2 |
| [88] |
SUNDERLAND P B, MORTAZAVI S, FAETH G M, et al. Laminar smoke points of nonbuoyant jet diffusion flames[J]. Combustion and Flame, 1994, 96(1-2): 97-103. DOI:10.1016/0010-2180(94)90161-9 |
| [89] |
HAYNES B S, WAGNER H G. Soot formation[J]. Progress in Energy and Combustion Science, 1981, 7(4): 229-273. DOI:10.1016/0360-1285(81)90001-0 |
| [90] |
FUJITA O, ITO K. Observation of soot agglomeration process with aid of thermophoretic force in a microgravity jet diffusion flame[J]. Experimental Thermal and Fluid Science, 2002, 26(2-4): 305-311. DOI:10.1016/S0894-1777(02)00141-3 |
| [91] |
ITO H, FUJITA O, ITO K. Agglomeration of soot particles in diffusion flames under microgravity[J]. Combustion and Flame, 1994, 99(2): 363-370. DOI:10.1016/0010-2180(94)90142-2 |
| [92] |
SIVATHANU Y R, FAETH G M. Soot volume fractions in the overfire region of turbulent diffusion flames[J]. Combustion and Flame, 1990, 81(2): 133-149. DOI:10.1016/0010-2180(90)90060-5 |
| [93] |
MORTAZAVI S, SUNDERLAND P B, JURNG J, et al. Structure of soot-containing laminar jet diffusion flames[C]//31st Aerospace Sciences Meeting & Exhibit. Reno, NV, USA: AIAA, 1993.
|
| [94] |
MEGARIDIS C M, GRIFFIN D W, KONSUR B. Soot-field structure in laminar soot-emitting microgravity nonpremixed flames[J]. Symposium (International) on Combustion, 1996, 26(1): 1291-1299. DOI:10.1016/S0082-0784(96)80347-X |
| [95] |
GREENBERG P S, KU J C. Soot volume fraction maps for normal and reduced gravity laminar acetylene jet diffusion flames[J]. Combustion and Flame, 1997, 108(1-2): 227-230. DOI:10.1016/S0010-2180(96)00205-2 |
| [96] |
WALSH K T, FIELDING J, SMOOKE M D, et al. Experimental and computational study of temperature, species, and soot in buoyant and non-buoyant coflow laminar diffusion flames[J]. Proceedings of the Combustion Institute, 2000, 28(2): 1973-1979. DOI:10.1016/S0082-0784(00)80603-7 |
| [97] |
JEON B H, CHOI J H. Effect of buoyancy on soot formation in gas-jet diffusion flame[J]. Journal of Mechanical Science and Technology, 2010, 24(7): 1537-1543. DOI:10.1007/s12206-010-0406-4 |
| [98] |
REIMANN J, WILL S. Optical diagnostics on sooting laminar diffusion flames in microgravity[J]. Microgravity-Science and Technology, 2005, 16: 333-337. DOI:10.1007/BF02946001 |
| [99] |
REIMANN J, KUHLMANN S A, WILL S. Investigations on soot formation in heptane jet diffusion flames by optical techniques[J]. Microgravity Science and Technology, 2010, 22: 499-505. DOI:10.1007/s12217-010-9204-y |
| [100] |
DIEZ F J, AALBURG C, SUNDERLAND P B, et al. Soot properties of laminar jet diffusion flames in microgravity[J]. Combustion and Flame, 2009, 156(8): 1514-1524. DOI:10.1016/j.combustflame.2009.04.006 |
| [101] |
HAWERSAAT R, URBAN D, SUNDERLAND P, et al. Smoke point in Co-flow experiment (SPICE)[J/OL]. (2023-12-18)[2024-04-30]. https://www1.grc.nasa.gov/space/iss-research/msg/spice/.
|
| [102] |
HAWERSAAT R, LONG M, SMOOKE M, et al. Structure & liftoff in combustion experiment (SLICE)[J/OL]. (2023-06-13)[2024-04-30]. https://www1.grc.nasa.gov/space/iss-research/msg/slice/.
|
| [103] |
GIASSI D, CAO S, BENNETT B A V, et al. Analysis of CH* concentration and flame heat release rate in laminar coflow diffusion flames under microgravity and normal gravity[J]. Combustion and Flame, 2016, 167: 198-206. DOI:10.1016/j.combustflame.2016.02.012 |
| [104] |
MA B, CAO S, GIASSI D, et al. An experimental and computational study of soot formation in a coflow jet flame under microgravity and normal gravity[J]. Proceedings of the Combustion Institute, 2015, 35(1): 839-846. DOI:10.1016/j.proci.2014.05.064 |
| [105] |
DOBBINS R R, TINJERO J, SQUEO J, et al. A combined experimental and computational study of soot formation in normal and microgravity conditions[J]. Combustion Science and Technology, 2023, 195(15): 3882-3907. DOI:10.1080/00102202.2022.2041621 |
| [106] |
CAO S, MA B, GIASSI D, et al. Effects of pressure and fuel dilution on coflow laminar methane-air diffusion flames: A computational and experimental study[J]. Combustion Theory and Modelling, 2018, 22(2): 316-337. DOI:10.1080/13647830.2017.1403051 |
| [107] |
VESHKINI A, DWORKIN S B. A computational study of soot formation and flame structure of coflow laminar methane/air diffusion flames under microgravity and normal gravity[J]. Combustion Theory and Modelling, 2017, 21(5): 864-878. DOI:10.1080/13647830.2017.1308558 |
| [108] |
KEMPEMA N J, DOBBINS R R, LONG M B, et al. Constrained-temperature solutions of coflow laminar diffusion flames[J]. Proceedings of the Combustion Institute, 2021, 38(2): 1905-1912. DOI:10.1016/j.proci.2020.06.034 |
| [109] |
O'CONNOR J, ACHARYA V, LIEUWEN T. Transverse combustion instabilities: Acoustic, fluid mechanic, and flame processes[J]. Progress in Energy and Combustion Science, 2015, 49: 1-39. DOI:10.1016/j.pecs.2015.01.001 |
| [110] |
POLIFKE W. Modeling and analysis of premixed flame dynamics by means of distributed time delays[J]. Progress in Energy and Combustion Science, 2020, 79: 100845. DOI:10.1016/j.pecs.2020.100845 |
| [111] |
SILVA C F. Intrinsic thermoacoustic instabilities[J]. Progress in Energy and Combustion Science, 2023, 95: 101065. DOI:10.1016/j.pecs.2022.101065 |
| [112] |
RAUN R L, BECKSTEAD M W, FINLINSON J C, et al. A review of Rijke tubes, Rijke burners and related devices[J]. Progress in Energy and Combustion Science, 1993, 19(4): 313-364. DOI:10.1016/0360-1285(93)90007-2 |
| [113] |
BEISNER E, WIGGINS N D, YUE K B, et al. Acoustic flame suppression mechanics in a microgravity environment[J]. Microgravity Science and Technology, 2015, 27: 141-144. DOI:10.1007/s12217-015-9422-4 |
| [114] |
ZONG R W, KANG R X, LIU C, et al. Analysis of flame extinguishment and height in low frequency acoustically excited methane jet diffusion flame[J]. Microgravity Science and Technology, 2018, 30: 237-242. DOI:10.1007/s12217-017-9590-5 |
| [115] |
XIONG C Y, LIU Y H, FAN H R, et al. Fluctuation and extinction of laminar diffusion flame induced by external acoustic wave and source[J]. Scientific Reports, 2021, 11(1): 14402. DOI:10.1038/s41598-021-93648-0 |
| [116] |
SUGIU N, MOTOHASHI K, SAITO M, et al. Response of triple flame to acoustic oscillations[J]. Transactions of the Japan Society for Aeronautical and Space Sciences, Aerospace Technology Japan, 2016, 14(30): 7-12. |
| [117] |
GOODINGS J M, BOHME D K, NG C W. Detailed ion chemistry in methane oxygen flames. Ⅰ. positive ions[J]. Combustion and Flame, 1979, 36: 27-43. DOI:10.1016/0010-2180(79)90044-0 |
| [118] |
GOODINGS J M, BOHME D K, NG C W. Detailed ion chemistry in methane oxygen flames. Ⅱ. negative ions[J]. Combustion and Flame, 1979, 36: 45-62. DOI:10.1016/0010-2180(79)90045-2 |
| [119] |
PARK D G, CHUNG S H, CHA M S. Bidirectional ionic wind in nonpremixed counterflow flames with DC electric fields[J]. Combustion and Flame, 2016, 168: 138-146. DOI:10.1016/j.combustflame.2016.03.025 |
| [120] |
CARLETON F, DUNN-RANKIN D, WEINBERG F. The optics of small diffusion flames in microgravity[J]. Symposium (International) on Combustion, 1998, 27(2): 2567-2572. DOI:10.1016/S0082-0784(98)80109-4 |
| [121] |
STRAYER B A, POSNER J D, DUNN-RANKIN D, et al. Simulating microgravity in small diffusion flames by using electric fields to counterbalance natural convection[J]. Proceedings of the Royal Society of London. Series A: Mathematical, Physical and Engineering Sciences, 2002, 458(2021): 1151-1166. DOI:10.1098/rspa.2001.0929 |
| [122] |
KARNANI S, DUNN-RANKIN D, TAKAHASHI F, et al. Simulating gravity in microgravity combustion using electric fields[J]. Combustion Science and Technology, 2012, 184(10-11): 1891-1902. DOI:10.1080/00102202.2012.694740 |
| [123] |
CHIEN Y C, STOCKER D P, HEGDE U G, et al. Electric-field effects on methane coflow flames aboard the international space station (ISS): ACME E-FIELD flames[J]. Combustion and Flame, 2022, 246: 143. |
| [124] |
FJITA O, ITO K, CHIDA T, et al. Determination of magnetic field effects on a jet diffusion flame in a microgravity environment[J]. Symposium (International) on Combustion, 1998, 27(2): 2573-2578. DOI:10.1016/S0082-0784(98)80110-0 |
| [125] |
WAKAYAMA N I, ITO H, KURODA Y, et al. Magnetic support of combustion in diffusion flames under microgravity[J]. Combustion and Flame, 1996, 107(1-2): 187-188, 189-192. DOI:10.1016/0010-2180(96)00053-3 |
| [126] |
WAKAYAMA N I, SUGIE M. Magnetic promotion of combustion in diffusion flames[J]. Physica B: Condensed Matter, 1996, 216(3-4): 403-405. DOI:10.1016/0921-4526(95)00528-5 |



