2. 中国矿业大学 安全工程学院, 徐州 221116;
3. 南昌工程学院 鄱阳湖流域水工程安全与资源高效利用国家地方联合工程实验室, 南昌 330099
2. School of Safety Engineering, China University of Mining and Technology, Xuzhou 221116, China;
3. National-Local Joint Engineering Laboratory of Water Engineering Safety and Efficient Utilization of Resources in Poyang Lake Watershed, Nanchang Institute of Technology, Nanchang 330099, China
近年来,隧道交通事故时有发生,尤其是多火源火灾发生频率显著上升。当隧道内车辆出现连环碰撞燃烧时,往往诱发邻近车辆同时着火,造成隧道内多火源火灾[1-2]。隧道内多火源火灾燃烧比单火源火灾更为复杂,其燃烧特性除了受燃烧源自身参数的影响外,还会受到相邻火源空气卷吸及热反馈的影响[3-4],且燃烧特性与相邻火源的尺寸、燃料及间距等相关[5]。邻近的多火源燃烧相互竞争空气,形成负压导致火焰靠拢、倾斜,可能出现火焰融合现象。在融合的火焰中,还会出现飞火、火旋风等特殊的火焰现象,将加大火蔓延的概率,也给灭火和消防救援带来很大的困难[6]。
鉴于隧道内多火源火灾燃烧的复杂性和严重性,有关研究受到了国内外研究者越来越多的关注。刘畅等[7]在全尺寸隧道分叉处和区间段纵向中心线2个位置上分别设置不同数量的油盘,探究不同规模的火灾场景下隧道内温度与烟气层分布情况。Heidarinejad等[8]研究了双火源火灾在隧道横向和纵向不同间距下临界通风风速的变化情况。Wang等[9]建立了隧道双火源油池间距与无量纲热释放速率的预测模型。He等[10]对双火源火羽流燃烧特性进行了实验研究,发现火焰倾斜、融合可分为3个阶段,即平均火焰竖向融合、羽流竖向融合和完全不融合。Hansen等[11-12]在缩尺寸隧道模型中开展一系列多个燃烧物实验,探讨了不同纵向摆放间距对火势蔓延的影响及总热释放速率的理论计算方法。Zhou等[13]研究了双火源位于不同近壁距离时隧道内纵向和垂直方向的温度分布。Ji等[14]通过改变自然通风状态下隧道中心线上的双火源油池大小和火源间距,对双火源燃烧的质量损失速率、火焰形状和热通量等进行了探究。邓磊[15]得到的隧道不同火源功率的双火源火灾顶棚最大温升模型,仅考虑了双火源间距为零和无穷远2种极端情况。孙建春[16]仅拟合了火源位于隧道中心和隧道一侧时的温度预测模型,没有进行与前人研究结果的对比验证。
综上,已有关于隧道双火源的研究主要集中在隧道中心线上改变火源间距、火源尺寸等参数方面。在实际隧道火灾事故中,发生双火源火灾的位置是随机的,也可能在不同的横向偏距处,且横向偏距也是隧道火灾研究的重要参数[17]。因此,笔者拟开展对称双火源燃烧实验,研究火源间距、火源横向偏距及火源尺寸等因素对燃烧行为特征及烟气最高温度沿隧道纵向分布的影响,并深入探讨近火源区域火源间距和横向偏距耦合作用下的烟气最大温升变化规律,构建温升预测模型,以期为隧道火灾的探测和防排烟系统设计提供参考。
1 隧道火灾实验设计搭建1∶6缩尺寸隧道模型实验台,实验装置及测点布置如图 1所示。在隧道纵向中心线上,并排安置一对相同尺寸的正方形油池(油池A和油池B)。实验中共使用3种油池尺寸(D=10,15,20 cm),油池底部距隧道地面12 cm。油池高度为5 cm,燃料(乙醇)厚度为3 cm。实验中,2个油池始终保持在同一水平面上。通过同时对称地纵向移动油池A与油池B距隧道中心的距离,实现火源间距变化;通过以相同步长同时横向调整双火源到隧道侧壁的距离,实现双火源的不同横向偏距。总体实验工况见表 1。
|
| 图 1 隧道内双乙醇池火实验装置布置及测点布局 |
| 火源数量 | 实验编号 | 火源横向偏距 | 油池边长/cm | 火源间距 |
| 1—8 | L1 | |||
| 9—16 | L2 | |||
| 2 | 17—24 | L3 | 15 | S1—S8 |
| 25—32 | L4 | |||
| 33—40 | L5 | |||
| 1 | 41—43 | L1、L3、L5 | 15 | ∞ |
| 2 | 44—48 | L1-L5 | 10 | S4 |
| 49—53 | L1-L5 | 20 |
双火源的8种间距0、0.5D、1D、1.5D、2D、3D、4D、5D,分别记为S1—S8;双火源的5种横向偏距,即双火源位置偏离隧道侧壁的距离,分别为L1=0 cm,L2=25 cm,L3=50 cm,L4=75 cm,L5=100 cm。L1为贴壁工况,L3位于车道中心,L5为双火源位于隧道中心线上。实验中,将电子秤放置在油池下方,以测量燃料的质量变化。隧道正面与侧面放置摄像机,以记录火焰形状在实验过程中的变化。为了研究火源不同横向偏距对顶棚下方烟气最高温度纵向分布的影响,以距隧道左端口245 cm为起点、距隧道左端口505 cm为终点,在隧道1/4和3/4宽处,沿隧道纵向各布置1排K型热电偶,每排21个热电偶。距隧道中心45 cm范围内的热电偶间距为7.5 cm,其他热电偶间距为20 cm,共42个热电偶。实验所有的热电偶均布在顶棚下方2 cm处。K型热电偶的直径为1 mm,量程为0~1 300 ℃。
2 燃料质量损失速率与热释放速率的变化以尺寸D=15 cm油池为例。图 2为2种火源间距下,即S=0, 75 cm,隧道中心双火源火灾及单火源火灾时的质量损失曲线。由图 2可知,隧道双火源火灾中的2个火源在不同工况下质量损失的情况基本一致,故在后面双火源的质量损失速率和热释放速率研究中,仅以油池A的变化为代表。当火源间距为5D(即S=75 cm)时,双火源与单火源燃烧的“质量-时间”曲线相差不大,这是因为随着火源间距增大,双火源间的相互作用随之减弱,甚至当距离足够大时,双火源之间的空气卷吸量足够二者发生独立燃烧,从而呈现出近乎2个独立的单火源燃烧状态。在确定各工况下的稳定阶段后,对“质量-时间”曲线求导可得到图 3所示的双火源不同横向偏距时的质量损失速率随着无量纲火源间距S/D(火源间距与油池尺寸的比值)的变化。质量损失速率大体上呈现减小趋势,当S/D≥2时,质量损失速率曲线趋于平缓。
|
| 图 2 油池燃料的质量损失对比(D=15 cm) |
|
| 图 3 质量损失速率随S/D的变化 |
随着火源横向偏距的减小,质量损失速率增加,火灾风险加大。这是由于当双火源不断靠近隧道侧壁时,燃烧不仅受到二者之间的相互作用,还受侧壁边界的影响。固壁边界限制火羽流对冷空气的卷吸,促使火羽流温度上升,同时靠近侧壁的火源使侧壁的热反馈增大。热释放速率可通过质量损失速率计算得到,如图 4所示。可以看出,隧道内双火源工况下的一个火源的热释放速率明显高于隧道内单火源火灾的,说明狭长空间双火源燃烧的危险性明显高于单火源火灾,在多火源叠加热辐射作用下,隧道内的多火源火灾更具破坏性和失控性。实验中,油池A的热释放速率为10.80~15.18 kW,D=15 cm的双乙醇火源在不同横向偏距和火源间距下总的热释放速率的范围为21.60~30.36 kW,利用相似关系可以换算得实际隧道的热释放速率在1.90~2.67 MW之间。
|
| 图 4 对称双火源的热释放速率随S/D的变化(油池A) |
3 不同横向偏距下对称双火源的火焰形态与火焰高度 3.1 火焰形态
图 5是稳定燃烧阶段典型时刻不同横向偏距和无量纲火源间距下,隧道内双火源火灾的火焰形态。随着火源间距的增大,不同横向偏距下对称双火源火焰形态均经历由完全融合、部分融合、部分间歇融合、倾斜不融合到完全独立竖直向上燃烧。当S/D≤1.0时,双火源火焰有融合现象。随着火源间距的增大,双火源之间的辐射传热逐渐被削弱,燃烧过程中2个火源产生的烟气相向运动,双火源之间形成负压。此外,火源间距逐渐变大,使得火焰融合程度不断降低,火羽流卷吸边界增加,空气卷吸量增多,诱导风速增大,从而导致火焰发生相互“靠拢”倾斜。当S/D≥4.0时,双火源间的相互作用被极大削减,而隧道内双火源火灾的空气仅由隧道两端口提供,内外温差形成的诱导风使得火源两侧空气卷吸量始终不一样,此时双火源火焰仍有轻微的倾斜现象,火焰形态近乎2个独立单火源燃烧形态。
|
| 图 5 隧道内不同横向偏距下对称双火源燃烧的火焰形态 |
随着横向偏距减小,即火源距离隧道侧壁越近,固壁边界对空气卷吸的限制作用逐渐显现,双火源火焰颜色由蓝紫色转变为不充分燃烧的黄色。火焰在侧壁的“拖曳”下,一方面向侧壁延伸,另一方面由于双火源相互作用而使得火焰朝二者中间倾斜,火源间距越小,该现象越明显。
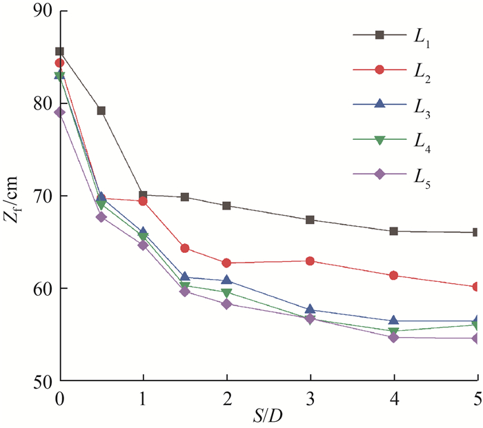
3.2 火焰高度根据火焰出现的概率云图确定火焰高度。取火焰出现在某个位置的频率达到50%对应的高度作为火焰的平均高度(Zf),即火焰间歇概率为0.5的高度。图 6为不同横向偏距下对称双火源火灾的火焰高度。对于非融合的对称双火源,火焰高度取二者平均高度的平均值;而对于发生火焰融合(火焰完全融合或者部分融合)的对称双火源,则取融合火焰高度。
|
| 图 6 不同横向偏距下的火焰高度变化情况 |
从图 6可以看出,随着无量纲火源间距的增大,双火源之间的相互辐射作用减弱,火源之间不同的负压形成的诱导风使得火焰倾斜程度也不同,火焰高度经历由明显降低、降低趋势变缓到几乎不变。当火源间距为零时,火源功率最大。对于贴壁双火源火灾,其受限程度也是最大的,甚至出现火羽流间歇撞击顶棚现象,因此相同火源间距时L1工况下的火焰高度明显高于其他横向偏距工况的。对于L3、L4、L5,由于横向偏距增大,侧壁未表现出明显的限制作用,这3个横向偏距处火焰高度差距减小。
4 顶棚下方烟气温度纵向分布 4.1 顶棚下方最高温度纵向分布确定各工况的“准稳定阶段”后,根据实验中顶棚下方的2排水平热电偶所测得“准稳定阶段”的最高温度值计算平均值,得到图 7所示的不同工况下隧道内顶棚下方烟气平均最高温度的纵向分布情况。整体看来,不同横向偏距和火源间距对双火源火灾远火源区域的烟气最高温度的纵向分布影响较小,而在近火源区域,顶棚下方的烟气最高温度与横向偏距呈负相关关系。当无量纲火源间距S/D≤1时,双火源火焰出现融合现象,随后火羽流大部分以单个羽流形式撞击顶棚,故顶棚下方的最高温度出现1个峰值;随着火源间距的增大,火源间相互竞争空气的作用逐渐减弱,火焰开始出现分离式倾斜,烟气最高温度“单峰”变缓,开始向“双峰”过渡,贴壁火的温度分布由于侧壁的拖曳最先出现“双峰”;当S/D≥4时,双羽流表现出明显的独立状态,各自撞击火源上方附近的顶棚,此时最高温度曲线图出现2个峰值。在侧壁与顶棚的耦合限制下,隧道双火源火灾特征变得更为复杂,贴壁火顶棚下方的温度与中心火的有明显差别。这是由受限火羽流竖向扩展与水平蔓延阶段的2种非对称卷吸机制导致的。火焰竖向扩展阶段受水平不对称空气卷吸的影响,而顶棚射流阶段则受竖直不对称空气卷吸的影响,且卷吸受限程度随火源横向偏距的减小而增强。此时高温可燃气体需要运动更远的距离才能获得足够的氧气,于是贴壁火附近易积累高温烟气,故贴壁火处的温度明显高于其他横向偏距处的温度。
|
| 图 7 隧道内顶棚下方平均最高温度纵向分布(D=15 cm) |
4.2 近火源区域顶棚下方最大温升预测模型
由4.1节的分析可知,顶棚下方的烟气最高温度纵向分布中,温度峰值随着火源间距的增大而减小。火源间距增大到4D时,隧道内的双火源完全独立燃烧。温度峰值与火源的横向偏距呈负相关关系,当火源贴壁时,温度峰值明显高于其他横向偏距的。接下来进一步探究近火源区域最大温升随着横向偏距的变化情况,结合图 8所示的无量纲最大温升与无量纲横向偏距呈指数衰减关系,可用式(1)进行拟合,
| $ \frac{\Delta T_{\max , L}}{\Delta T_{\max , \mathrm{C}}}=a \mathrm{e}^{-b(L /(w / 2))}+c . $ | (1) |
|
| 图 8 近火源区域无量纲最大温升与无量纲横向偏距的关系 |
式(1)中:ΔTmax, L为火源不同横向偏距时的烟气最大温升,℃;ΔTmax, C为火源位于隧道中心时的烟气最大温升,℃;w为隧道模型宽度,m;a、b、c均为可通过实验获取的常数。从图 8可以看出,当S/D≤4时,在一定的火源间距下,不同横向偏距的a、c值非常接近,b的波动范围可以接受。下面对S/D≤4的双火源顶棚下方最大温升进行分析。将S/D≤4所有工况的a、b、c取平均值后代入式(1)得到
| $ \frac{\Delta T_{\max , L}}{\Delta T_{\max , \mathrm{C}}}=0.21 \mathrm{e}^{-3.53(L /(w / 2))}+1. $ | (2) |
基于Li等[18]单火源顶棚下方最大温升模型,在双火源火灾中引入考虑火源间距的修正系数β,
| $ \Delta T_{\max , C}=17.5 \beta \frac{Q^{2 / 3}}{H^{5 / 3}}, 0<S \leqslant 4 D. $ | (3) |
式中:Q为总火源功率,kW;H为隧道高度,m。修正系数β通过将隧道中心线上双火源火灾烟气最大温升与火源间距的关系进行拟合得到,如图 9所示,即
| $ \beta=1.05-0.37 S. $ | (4) |
|
| 图 9 修正系数β与火源间距的关系 |
结合式(2)—(4)可得式(5)。式(5)中的λ是一个无量纲修正系数,表示火源不同横向偏距对顶棚下方最大温升的影响。当火源贴壁时,修正系数λ取0.93;当火源非贴壁时,λ则取0.96。将不同横向偏距下双火源火灾的最大温升预测式(5)的计算结果与D=10,20 cm实验值、隧道中心上双火源火灾(S/D=0.5)的火灾动力学模拟器(fire dynamics simulator, FDS)数值模拟值及前人的实验结果进行比较。如图 10所示,预测模型的计算结果与实验和模拟结果吻合较好。因此,在获得火源热释放速率、火源距顶棚的高度、双火源间距(0 < S≤4D)、火源横向偏距以及隧道宽度的基础上,可以根据式(5)求得不同横向偏距下双火源火灾发生时顶棚下方烟气的最大温升。
| $ \begin{gathered} \Delta T_{\max , L}=\lambda\left[0.21 \mathrm{e}^{-3.53(L /(w / 2))}+1\right] \cdot \\ {\left[1.75(1.05-0.37 S) \frac{Q^{2 / 3}}{H^{5 / 3}}\right], 0 <S \leqslant 4 D}. \end{gathered} $ | (5) |
|
| 图 10 隧道顶棚下方最大温升式(5)预测值与其他结果的比较 |
5 结论
1) 隧道内对称双火源工况下两油池的质量损失速率基本一致。油池燃料质量损失速率和热释放速率与火源横向偏距、火源间距均呈负相关关系,双火源燃烧的危险性明显高于单火源。
2) 近壁火的火焰高度明显高于隧道中心的火焰且火焰倾斜现象较为显著。在隧道侧壁限制与火源间距耦合作用下,随火源间距的增大,火焰形态经历由完全融合、部分融合、部分间歇融合、倾斜不融合到完全独立竖直向上。火焰高度与双火源横向偏距、火源间距均呈负相关关系。
3) 当无量纲火源间距S/D≤1时,顶棚下方最高温度曲线图为“单峰”;当S/D≥4时,该图转为“双峰”。贴壁火顶棚下方的温度明显高于中心火。同时,建立了0<S/D≤4时,火源间距与横向偏距耦合作用下的近火源区域顶棚下方最大温升预测模型,并将其预测结果同前人以及本文实验工况的实验数据进行对比,验证了该预测模型的有效性。
| [1] |
LIN C L, CHIEN C F. Lessons learned from critical accidental fires in tunnels[J]. Tunnelling and Underground Space Technology, 2021, 113: 103944. DOI:10.1016/j.tust.2021.103944 |
| [2] |
WEI S Q, WAN H X, ZHOU X H, et al. Experimental study on flame tilt angles of two unequal fires in a longitudinal ventilated tunnel[J]. Tunnelling and Underground Space Technology, 2023, 137: 105125. DOI:10.1016/j.tust.2023.105125 |
| [3] |
THOMAS P H, BALDWIN R, HESELDEN A J M. Buoyant diffusion flames: Some measurements of air entrainment, heat transfer, and flame merging[J]. Symposium (International) on Combustion, 1965, 10(1): 983-996. DOI:10.1016/S0082-0784(65)80241-7 |
| [4] |
BALDWIN R. Flame merging in multiple fires[J]. Combustion and Flame, 1968, 12(4): 318-324. DOI:10.1016/0010-2180(68)90036-9 |
| [5] |
MENG N, SHU Y M, ZHANG S H. Study on smoke temperature induced by two fires in a naturally ventilated tunnel[J]. Tunnelling and Underground Space Technology, 2023, 131: 104774. DOI:10.1016/j.tust.2022.104774 |
| [6] |
HOTTEL H C. Certain laws governing the diffusive burning of liquids: A review[J]. Fire Research Abstracts and Reviews, 1959, 1: 41-44. |
| [7] |
刘畅, 钟茂华, 林鹏, 等. 水利水电工程分岔型隧道全尺寸火灾实验研究[J]. 清华大学学报(自然科学版), 2022, 62(1): 1-12. LIU C, ZHONG M H, LIN P, et al. Full-scale experimental study of a bifurcated tunnel fire in a hydropower engineering project[J]. Journal of Tsinghua University (Science & Technology), 2022, 62(1): 1-12. (in Chinese) |
| [8] |
HEIDARINEJAD G, MAPAR M, PASDARSHAHRI H. A comprehensive study of two fire sources in a road tunnel: Considering different arrangement of obstacles[J]. Tunnelling and Underground Space Technology, 2016, 59: 91-99. DOI:10.1016/j.tust.2016.06.016 |
| [9] |
WANG Q, WANG S M, LIU H, et al. Characterization of ceiling smoke temperature profile and maximum temperature rise induced by double fires in a natural ventilation tunnel[J]. Tunnelling and Underground Space Technology, 2020, 96: 103233. DOI:10.1016/j.tust.2019.103233 |
| [10] |
HE K, CHENG X D, LI Y Z, et al. Experimental study on flame characteristics of double fires in a naturally ventilated tunnel: Flame merging, flame tilt angle and flame height[J]. Tunnelling and Underground Space Technology, 2021, 114: 103912. DOI:10.1016/j.tust.2021.103912 |
| [11] |
HANSEN R, INGASON H. Model scale fire experiments in a model tunnel with wooden pallets at varying distances[R]. Västerås, Sweden: Mälardalen University, 2010.
|
| [12] |
HANSEN R, INGASON H. Heat release rates of multiple objects at varying distances[J]. Fire Safety Journal, 2012, 52: 1-10. DOI:10.1016/j.firesaf.2012.03.007 |
| [13] |
ZHOU Y, CHEN F, GENG Z Y, et al. Experimental study on the characteristics of temperature distribution of two pool fires with different transverse locations in a naturally ventilated tunnel[J]. Tunnelling and Underground Space Technology, 2021, 116: 104095. DOI:10.1016/j.tust.2021.104095 |
| [14] |
JI J, WAN H X, GAO Z H, et al. Experimental study on flame merging behaviors from two pool fires along the longitudinal centerline of model tunnel with natural ventilation[J]. Combustion and Flame, 2016, 173: 307-318. DOI:10.1016/j.combustflame.2016.08.020 |
| [15] |
邓磊. 隧道内多火源相互作用燃烧行为及排烟控制研究[D]. 合肥: 合肥工业大学, 2021. DENG L. Study on interaction combustion behavior and smoke exhaust control of multiple fire sources in tunnels[D]. Hefei: Hefei University of Technology, 2021. (in Chinese) |
| [16] |
孙建春. 考虑列车阻塞效应及火源位置条件下长大铁路隧道火灾烟气特性研究[D]. 成都: 西南交通大学, 2019. SUN J C. Study on the fire smoke characteristics of long railway tunnel under consideration of train blockage effect and fire source location[D]. Chengdu: Southwest Jiaotong University, 2019. (in Chinese) |
| [17] |
ZHONG W, LI Z Z, WANG T, et al. Experimental study on the influence of different transverse fire locations on the critical longitudinal ventilation velocity in tunnel fires[J]. Fire Technology, 2015, 51(5): 1217-1230. DOI:10.1007/s10694-015-0461-6 |
| [18] |
LI Y Z, LEI B, INGASON H. The maximum temperature of buoyancy-driven smoke flow beneath the ceiling in tunnel fires[J]. Fire Safety Journal, 2011, 46(4): 204-210. DOI:10.1016/j.firesaf.2011.02.002 |



