机械工程

冲击式水轮机配水环的内流特性及水力损失分析

  • 郭涛 , 1, * ,
  • 甘文港 1 ,
  • 汪海洋 2 ,
  • 刘思远 1
展开
  • 1. 昆明理工大学 建筑工程学院, 昆明 650500
  • 2. 浙江大学 海洋学院, 舟山 316021
郭涛, 教授, E-mail:

甘文港(1999—), 男, 硕士研究生

收稿日期: 2024-07-08

  网络出版日期: 2025-04-15

基金资助

国家自然科学基金地区科学基金项目(52369017)

版权

版权所有,未经授权,不得转载。

Internal flow characteristics and loss mechanism of water supply component of Pelton turbine

  • Tao GUO , 1, * ,
  • Wengang GAN 1 ,
  • Haiyang WANG 2 ,
  • Siyuan LIU 1
Expand
  • 1. Faculty of Civil Engineering and Mechanics, Kunming University of Science and Technology, Kunming 650500, China
  • 2. Ocean College, Zhejiang University, Zhoushan 316021, China

Received date: 2024-07-08

  Online published: 2025-04-15

Copyright

All rights reserved. Unauthorized reproduction is prohibited.

摘要

配水环作为冲击式水轮机的给水机构, 主要起着调节流量、诱导分流的作用, 其特殊的结合结构使流体在管内流动时会产生流动分离、Dean涡等不良现象, 从而诱发水力损失。针对这一问题, 该文研究了配水环管流道内部流动的水力损失特性, 采用SST k-ω湍流模型, 基于熵产理论, 得到了不同入口速度下流场的熵产分布, 重点分析了主流道和分岔口2内产生水力损失的原因。结果表明, 在整个配水环中, 管内总熵产随着入口速度增加而增加, 从210.999 W/K增加至4 614.980 W/K; 而流体流经弯折处所产生的内外侧流动分离, 在高速流动下更加明显。流场损失以脉动熵产占优, 占比超过50%;水力损失主要发生在环管主流区及分岔口2处, 约占总损失90%, 而分岔口1、3位置损失较小; 在分岔口2处, 高速流体分流后向外侧挤压导致内侧形成低压而产生涡流, 从而诱发了较为显著的水力损失; 在弯管位置, 因流动惯性而产生的流动分离是造成水力损失的主要原因。这些不良流动现象会在环管内外侧形成较大的压力梯度, 使得流场出现较大幅度的压力脉动, 进而影响流动稳定性。

本文引用格式

郭涛 , 甘文港 , 汪海洋 , 刘思远 . 冲击式水轮机配水环的内流特性及水力损失分析[J]. 清华大学学报(自然科学版), 2025 , 65(5) : 921 -929 . DOI: 10.16511/j.cnki.qhdxxb.2024.27.041

Abstract

Objective: The distributing pipe in a Pelton turbine serves as a crucial water supply component responsible for regulating flow and inducing diversion. Its special structure, however, can lead to adverse effects such as flow separation and Dean vortices causing hydraulic losses; these losses can vary with changes in the upstream head, further affecting the incoming flow conditions. Traditionally, the pressure drop method has been primarily utilized to assess these losses, yet it fails to pinpoint the exact locations where significant hydraulic losses occur. Methods: This study investigates the hydraulic and loss characteristics of the distributing pipe. Utilizing the SST(shear stress transport) k-ω turbulence model, we simulate the flow inside the distributing pipe and analyze entropy production distribution based on the entropy production theory. Then, according to the distribution of entropy production rate and flow pattern, the reasons for the hydraulic loss in the main channel and bifurcation 2 were analyzed detailly. Entropy production—indicative of irreversible dissipative effects during fluid flow—effectively highlights high hydraulic loss areas by converting lost mechanical energy into internal energy. Results: Results show a remarkable increase in total entropy production within the pipe, with values rising from 210.999 to 4 614.980. Specifically, entropy production in the main channel increases from 145.549 to 3 477.351, and in bifurcation 2 from 38.857 to 717.608. Under high-speed flow conditions, the separation between internal and external flows becomes distinct, particularly when fluid navigates bends. The hydraulic loss is dominated by fluctuation entropy production, accounting for >50%. The main flow zone and bifurcation 2 are the primary sites of hydraulic loss, accounting for approximately 90% of the total loss, whereas bifurcations 1 and 3 experience relatively small losses. Conclusions: Comparative analysis of entropy generation rate contours, streamline plots, and pressure fluctuation curves highlights that high entropy generation areas experience significant pressure pulsations, accompanied by adverse flow phenomena such as Dean vortices and flow separation. At bifurcation 2, high-speed fluid is diverted and squeezed outward, creating a low-pressure vortex on the inner side, inducing significant hydraulic loss. At the bend position, the fluid tends to flow outward, resulting in high external pressure and low internal pressure distribution at the ring pipe and further in high hydraulic loss on the inside. These phenomena create large pressure gradients and significant pressure fluctuations, affecting flow stability. Furthermore, optimization strategies are proposed for the distributing pipe design, including the addition of flow-diversion baffles at bifurcation points to stabilize flow patterns, reduce vortices, and alleviate flow separation by increasing the number of nozzles and reducing curvature. This study employs numerical computation to investigate the mechanisms of hydraulic loss generation within the distributing pipe and meticulously delineates areas of high hydraulic losses, offering hydro turbine developers optimization strategies.

中国水能资源居世界首位,大部分集中在西部尤其是西南地区。随着科技的进步,中国水力发电已进入技术可开发阶段,尤其是高水头资源(如雅鲁藏布江下游)将得到陆续开发。预计至2050年,大部分技术可开发资源将被利用完毕。在中国水轮机发展历程中,反击式水轮机如贯流、混流、轴流式技术出现较早,现已相对成熟;冲击式水轮机虽起步较晚,但凭借其独特的优势后来居上,具有流量适用范围广泛、高效区间宽、适用水头高等特点,适合超高水头资源开发,在应用时可显著节省建设与维护费用。因此,进一步完善冲击式水轮机发电技术,对于中国启动“藏电外送”工程,实现“双碳”目标具有重要战略意义。
压降法常用来评估水力机械的水力损失,但其无法确定高水力损失发生的确切位置。近年来,越来越多的研究表明,流动过程中的水力损失与局部熵产率相关。熵增原理是热力学中描述不可逆性耗散的度量。早年,Herwig等[1-3]通过管道的湍流实验验证了熵增理论在描述水力损失方面的准确性,并提供了湍流中由于机械耗散和热交换产生局部熵产的计算方程。Gong等[4]首次将该方法应用到水力机械领域,得到了水泵水轮机工作状态下的水力损失的详细分布。从此熵增理论在水力机械领域得到广泛应用。李德友等[5]为了更准确地探究驼峰区的水泵水轮机的水力损失,提出了采用函数计算壁面区域熵产的方法,并通过与压降损失法对比验证了该方法的可靠性和合理性。郭涛等[6]基于熵增理论,研究了HLA551-LJ-43型混流式水轮机各种旋流结构对水力损失的影响,发现尾水管涡带引起的水力损失占比最大(达50%以上),且水力损失随着开度的减小而急剧增加。曾鸿基等[7]基于商用软件和熵产方法,模拟了不同流量工况下的水泵水力损失,认为速度梯度和压力梯度剧烈变化是产生高熵产率的根本原因。王李科等[8-9]基于熵产方法,通过实验验证了数值模拟的准确性,分析了不同流量工况下的水泵水轮机S特性区的能量损失,结果表明在飞逸工况下流场内的总熵产最大,且流场内漩涡的大小和转移会影响高熵产区的分布。王文全等[10-11]基于熵产理论,发现混流式水轮机的水力损失与流动分离、涡旋运动及回流相关,其中尾水管中涡带产生的熵产占比最大。周大庆等[12]利用熵产理论,评估了空化发展过程中混流式水轮机的水力损失,发现内部能量损失主要来自翼型空化和尾水管的空化涡带。由此可见,熵产分析方法能够直观地指出水力机械中能量耗散的区域,定量分析产生耗散的机理。
近年来的研究表明,冲击式水轮机的水力损失与配水环管[13]、喷嘴开度[14-15]、水斗几何[16-19]和射流干涉[20]等密切相关。为了进一步探究水力损失的情况,本文以四喷嘴冲击式水轮机的配水环管为研究对象,结合熵产方法研究了不同入流工况下不良流动产生的机理及其诱发的水力损失占比。具体技术路线如图 1所示。

1 数值计算方法

1.1 SST k-ω湍流模型

采用SST k-ω湍流模型对Reynolds应力进行求解。该模型通过加权平均的方式结合了k-ω模型和k-ε模型的优点,计算精度高且节省计算资源,能精确描述边界层和压力梯度的变化情况。其描述的三维不可压湍流控制方程为
$\nu_{\mathrm{t}}=\frac{\chi_1 k}{\max \left(\chi_1 \omega, \Omega F_2\right)},$
$\left\{\begin{array}{l}\frac{\rho \partial k}{\partial t}+\frac{\rho \partial\left(u_i k\right)}{\partial x_i}=\frac{\partial}{\partial x_j}\left[\left(\mu+\frac{\mu_t}{\sigma_{k 1}}\right) \frac{\partial k}{\partial x_j}\right]+ \\P_k-\gamma^* \rho \omega k+P_{k b}, \\\frac{\rho \partial \omega}{\partial t}+\frac{\rho \partial\left(u_i \omega\right)}{\partial x_i}=\frac{\partial}{\partial x_j}\left[\left(\mu+\frac{\mu_t}{\sigma_{k 2}}\right) \frac{\partial \omega}{\partial x_j}\right]+\left(1-F_1\right) \cdot \\2 \rho \frac{1}{\sigma_{\omega 2} \omega} \frac{\partial k}{\partial x_j} \frac{\partial \omega}{\partial x_j}+\chi_2 \frac{k}{\omega} P_k-\gamma_2 \rho \omega^2+P_{\omega b} .\end{array}\right.$
其中:νt为湍流黏度;k为湍动能;ω为湍流频率;Ω为涡量;ρ为密度;t为时间;uiuj为速度分量,xixj为坐标分量,ij=1, 2, 3;μ为流体动力黏度系数、μt为湍流动力黏度系数,F1F2为混合函数,Pk为层流速度产生的湍流动能,PkbPωb分别为式(2)的自定义常数项。各系数取值如下:γ*=0.090,γ2=0.083,χ1=0.556,χ2=2.000,σk1= 0.850,σk2=1.000, σω2=0.856。F1F2Pk可由如下公式计算:
$\left\{\begin{aligned}F_1 & =\tanh \left\{\left\{\operatorname { m i n } \left[\max \left(\frac{\sqrt{k}}{\gamma_1 \omega y}, \frac{500 \nu}{\omega y^2}\right)\right.\right.\right. \\& \left.\left.\left.\frac{4 \rho k}{\mathrm{CD}_{k \omega} \sigma_{\omega 1} y^2}\right]\right\}^4\right\} ; \\F_2 & =\tanh \left\{\left[\max \left(\frac{2 \sqrt{k}}{\gamma_2 \omega y}, \frac{500 \nu}{\omega y^2}\right)\right]^2\right\} ; \\P_k & =\min \left(\tau_{i j} \frac{\partial u_j}{\partial x_i}, 10 \gamma^* k \omega\right) .\end{aligned}\right.$
其中:y为壁面距离;τij为应力张量,ij=1, 2, 3;ν为流体动力黏度,各系数取值如下:γ1=0.075,σω1=0.500。CD为正交扩散项的方向,可用式(4)计算。
$\mathrm{CD}_{k \omega}=\max \left(2 \rho \cdot \frac{2}{\sigma_{\omega 2} \omega} \cdot \frac{\partial k}{\partial x_j} \cdot \frac{\partial \omega}{\partial x_j}, 10^{-10}\right) .$

1.2 熵产理论

熵增理论描述了热力学中不可逆过程中熵的增量恒大于0。在水力机械领域,熵产是指流动过程中造成不可逆的耗散效应,使得损失的机械能转化为内能。其优势在于能详细反映高水力损失区域的分布,有利于分析产生不良流动的原因和针对性地对配水环的几何外形进行修改,从而降低水力损失。
熵产率由两部分组成,一部分是平均速度引起的直接耗散项,代表水轮机全流道平均速度场熵生成速率部分,即$ \dot{S}$A;另一部分是由速度脉动引起的熵产,称为脉动熵产[21],即$ \dot{S}$T。通过体积积分可得到流道内总熵SP,其不考虑热交换的计算公式如下:
$S_{\mathrm{P}}=\int_V \dot{S}_{\mathrm{A}} \mathrm{~d} V+\int_V \dot{S}_{\mathrm{T}} \mathrm{~d} V, $
$\begin{aligned}& \dot{S}_{\mathrm{A}}=\frac{2 \mu_{\mathrm{eff}}}{T}\left[\left(\frac{\partial \bar{u}_1}{\partial x_1}\right)^2+\left(\frac{\partial \bar{u}_2}{\partial x_2}\right)^2+\left(\frac{\partial \bar{u}_3}{\partial x_3}\right)^2\right]+\frac{\mu_{\mathrm{eff}}}{T} ·\\& {\left[\left(\frac{\partial \bar{u}_2}{\partial x_1}+\frac{\partial \bar{u}_1}{\partial x_2}\right)^2+\left(\frac{\partial \bar{u}_3}{\partial x_1}+\frac{\partial \bar{u}_1}{\partial x_3}\right)^2+\left(\frac{\partial \bar{u}_2}{\partial x_3}+\frac{\partial \bar{u}_3}{\partial x_2}\right)^2\right]}, \end{aligned}$
$\dot{S}_{\mathrm{T}}=\beta \frac{\rho \omega k}{T} .$
其中:(${\bar u}$1, ${\bar u}$2, ${\bar u}$3)为平均速度场,湍流有效黏性系数分布场μeff=μ+μtT为温度,经验系数β= 0.09,V为流道计算域。

2 计算模型

2.1 计算模型及边界条件

四喷嘴冲击式水轮机模型包括配水环、喷嘴、转轮和机组外壳,设计水头为900 m,设计流量为104.30 m3/s,喷嘴数为4个,水斗数为23个。其中配水环的出入口直径分别为DoutDin,主流道与分岔口入口夹角为α,环管弯曲段内侧曲率为Ki(i=1, 2, 3, 4),如图 2所示。
图 2 配水环局部尺寸参数
设置入口为速度入口边界条件,出口为自由流出边界条件,壁面为无滑移边界条件,其几何模型如图 3所示。为了贴合配水环管及分岔口处的曲面,采用非结构四面体网格对计算域进行网格划分并加密壁面区域,生成边界层。以液态水作为流动介质,且认为流体是不可压缩且恒温(T=25 ℃),采用速度与压力耦合求解的SIMPLE算法,扩散项和压力项采用二阶中心格式,对流项采用二阶迎风格式,收敛残差为10-5,计算时间步长为5×10-3 s,共计算4 000步,取流场稳定后的结果进行分析。
图 3 配水环几何模型及边界条件设置

2.2 网格无关性验证

网格数量是影响数值模拟精度的关键因素之一,本文选取6种不同数量的网格对入口速度Vin为15 m/s的工况进行了三维湍流瞬态计算。以出口速度值为目标函数进行了网格无关性验证,其结果如图 4所示。由图可知,当网格数增加至556.48万个时,出口速度值变化幅度较小,趋于恒定,说明网格数的进一步增加已几乎对结果不产生影响了。因此在保证计算精度和节省计算资源的前提下,后续计算均选取网格总数为556.48万个,节点总数为141.21万个,边界层为8层,第一层网格高度为2 mm的划分方案,其网格划分如图 5所示。
图 4 网格无关性验证结果(Vin=15 m/s)
图 5 配水环非结构网格

2.3 喷嘴对配水环内的熵产影响

配水环管作为冲击式水轮机的给水部件,其结构相对简单,流体在其内部的流动可近似为封闭管流的单向流动。如图 6所示,考虑喷嘴域后,配水环内流体会从喷嘴出口射出,形成较为复杂的水-气两相流动,增加计算资源。通过对比分析,加喷嘴后两者流场分布规律具有较大的一致性,熵产率分布规律具有相似性。不同之处在于喷嘴域存在较大范围的高熵产域,这主要是因为该区域流道收缩,流动加速,存在较大的速度梯度,且流动与导流板之间存在显著的撞击效应。整体来看,加上喷嘴之后并未影响配水环管的流场分布。因此为简化研究对象,本文单独选取了配水环开展研究。
图 6 喷嘴对环管内的熵产率分布影响(Vin=12.5 m/s)
配水环虽然结构简单,但其特殊的周向布置,流体流动过程中会首先在弯管及分岔口处产生速度及压力梯度,从而诱发Dean涡。Dean涡随着分流作用进入喷嘴域、射流域,其产生的切向作用力使得射流形状发生变化、能量亏损,从而影响机组的运行效率。因此,环管内的不良流动现象是影响整个冲击式水轮机水力损失的关键因素,研究配水环的流动特性及损失分布可以为优化结构、减少损失提供一定的理论基础。

3 结果分析

3.1 熵产分析

熵产值能反映该流体域内的水力损失程度,其中流场总熵产等于脉动熵产和时均熵产之和,时均熵产为流场时均速度梯度产生的熵增,称为黏性耗散;脉动熵产为流场脉动速度梯度所产生的熵增,称为湍流耗散。对局部熵产率进行体积积分,得到不同工况下配水环管流域的熵产值结果。如图 7所示,随着入口流速的增加,总熵产呈现出近似指数式增长趋势,从210.999 W/K增长至4 614.980 W/K。在低流速阶段(7.5~12.5 m/s),熵产增长率相对较低;而在高流速阶段(12.5~20 m/s),湍流激烈,在环管曲率较大的局部产生了不良流动,熵产率显著增加。如图 8所示,脉动熵产值和时均熵产值均随着入口速度Vin的增加而大幅增长。其中,低流速阶段,脉动熵产在总熵产中占比超过65%,但在高流速阶段,脉动熵产占比逐渐下降(57.1%~63.56%),而时均熵产的占比则逐渐增加。总体来看,配水环管流域始终以脉动熵产为主,其值始终大于时均熵产,表明随着Vin的增加,Reynolds数增大,流场的稳定性降低,导致时均熵产占总熵产的比例逐渐增大。
图 7 不同来流工况下的计算域总熵产
图 8 不同来流工况下脉动熵产与时均熵产的占比
不同Vin条件下配水环管内局部熵产率的分布状况如图 9所示。速度边界条件和边界层内黏性应力导致局部速度梯度过大引起的熵产率在入口处局部增加,但占比较小,统计时可以忽略不计。Vin为7.5和10 m/s时,高熵产率区域主要分布于岔口流道内;随着Vin不断增加,主流道内的高熵产区域也不断扩大。因为流动惯性引起的离心作用使得在环管弯曲后段和分岔口的内侧产生较大的压力梯度,甚至在分岔口内侧形成涡流。在此影响下,内侧低速流动诱发的涡流和流动分离现象会对流场稳定产生扰动,从而使得分岔管内侧的局部熵产率较高。在低速流动下,高熵产区范围较小,但随着流动速度的增加,主流道外侧速度提升,导致更大的压力梯度和不良流动范围的扩大,进而使得高熵产区域逐渐扩大。从热力学角度来看,熵产可以表征流场的能量耗散,高熵产区代表着流动高损失区域,因此配水环管流域的流动损失主要发生在主流道环管内侧和分岔流道区域,且随着Vin增加,造成流动损失的范围扩大,损失值增加。
图 9 不同来流工况下环管内的熵产率分布
为了明确各区域之间的熵产比例,主流道和3个分岔口流道熵产的占比分布分别如图 10图 11所示。主流道和分岔口2是占比最高的两个部分。在低速流动时,主流道内熵产率较低,但由于其体积大,总熵产占比仍然高达70%左右。随着Vin的增加,主流道总熵产占比从68.98%增长至75.35%;3个分岔口的总熵产值增长缓慢,且所占比例都呈下降趋势,其中分岔口2占比从18.42%下降至15.55%。说明熵产主要是在主流道和分岔口2的不良流动中形成,其他区域内流动损失造成的熵产较小。下文将重点探究主流道和分岔口2产生水力损失的原因。
图 10 各区域总熵产值所占比例
图 11 不同来流工况下的各区域总熵产值

3.2 涡量分析

选取分岔口2为分析对象,探究涡流和熵产间的关系。由于各入流下的流态分布相同,取Vin=12.5 m/s时的流场为代表进行分析,如图 12所示。由图可知,配水环整体呈现出内侧流速较高、外侧流速较低的分布,且在环管处有着明显的高速流动区和显著的速度梯度。配水环起到分流和加速作用,使流体高速且均匀地进入喷嘴。为使流速保持在一定范围内,并最终于出口处达到要求速度,管道直径在流动方向上逐渐缩小,尤其在下游分岔口3之后收缩加速最为明显。分岔口起分流作用,由于壁面收缩变化剧烈,使流场存在局部的高速区和低速区。在分岔口2外侧和分岔口3内侧存在局部高速区(约为Vin的1.2倍),而在分岔口2内侧,受流动惯性的影响存在较为明显的局部低速涡流区,且涡流区域与高熵产率区域重合。受管道收缩和流动惯性的影响,主流道外侧区域流动稳定,流线呈平稳状态;内侧区域有涡流、流动分离和回流等不良流动现象,这是造成水力损失的重要原因,需重点关注。建议在分岔口处增设分流肋板的方法以优化流态。分流肋板从分岔口外侧壁面处延伸到主流道内,能提前将来流分流,使其平顺地进入分岔口中,阻碍低速涡的形成。
图 12 流场流线(Vin=12.5 m/s)
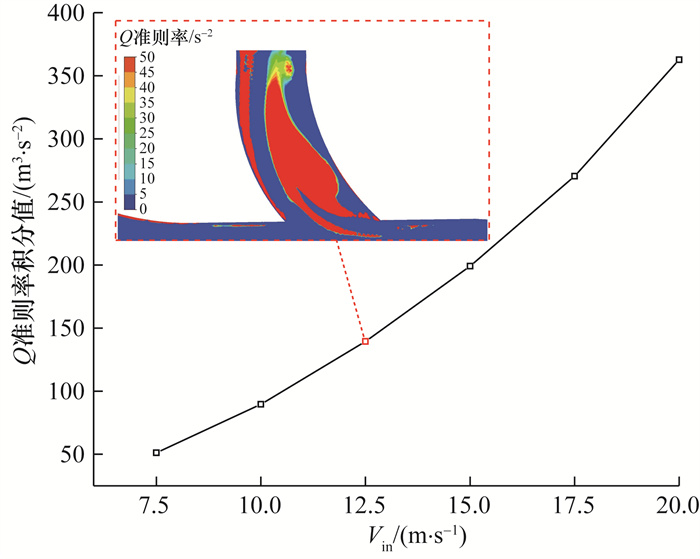
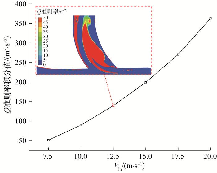
Q准则率表征了该区域中涡量程度的大小。为了探究流道内涡流强度,在分岔口2内对Q准则率进行体积积分,并对比各工况下的结果,如图 13所示。由图可知,高速来流加强了分岔口内的涡流强度,导致流道内Q准则率积分值呈指数趋势增长,从51.20 m3/s2增长至362.77 m3/s2。分岔口壁面与主流道夹角角度较大,流体分流后向外侧挤压导致内侧形成低速涡流(见图 14)。通过该区域的Q准则率云图对比发现,Q准则率大于50 s-2区域与高熵产率区域高度重合。
图 13 不同Vin下分岔口2流道内的Q准则率积分
图 14 分岔口2内涡核分布(红圈内为Dean涡)
在配水环管内取5个监测点,监测该点处的压力变化,其中P1和P5处为低熵产率区。用压力值减平均值得到压力脉动,再进行快速Fourier变换(FFT)得到频域数据,如图 15所示。由图可知,在低速流动时,P2处压力脉动频域带宽小,以低频脉动为主;随着速度的增加,上游涡旋范围扩大,引起P2处剧烈的压力脉动,导致P2处压力脉动频域带宽和脉动幅度增加,并且混合了高频和低频的脉动。在不同条件下,P2处的压力脉动幅度始终高于P1和P5处,这也与涡量、熵产率分布规律一致。
图 15 压力脉动频域分布

3.3 流动分离分析

由于高熵产率主要出现在环管内侧,现将速度矢量和熵产率结合在一起,对主流道内局部区域进行流场分析。由图 16可知,受流动惯性和环管几何的影响,流体流经弯折处后向外侧偏离,撞击外侧壁面,使环管处呈现外侧压力高、内侧压力低的分布,导致在内侧出现流动分离现象。对比两侧区域,发现外侧流场稳定趋于层流,流动较顺畅;而内侧近壁区域的流体向外侧流动,出现流动分离现象。
图 16 Vin=12.5 m/s工况下的流场矢量分布
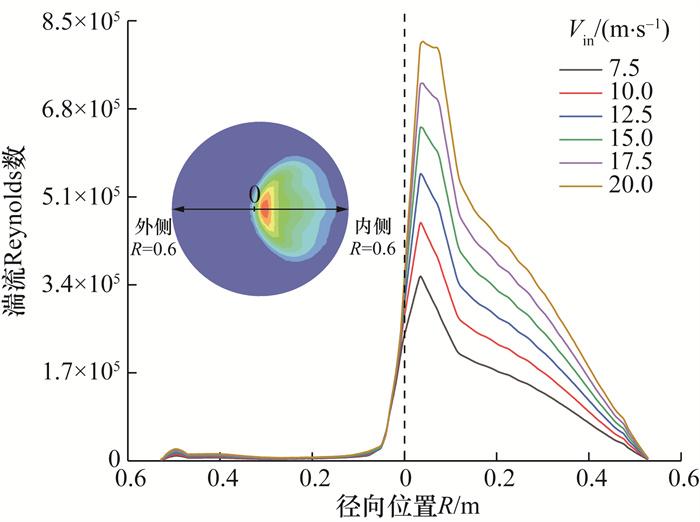
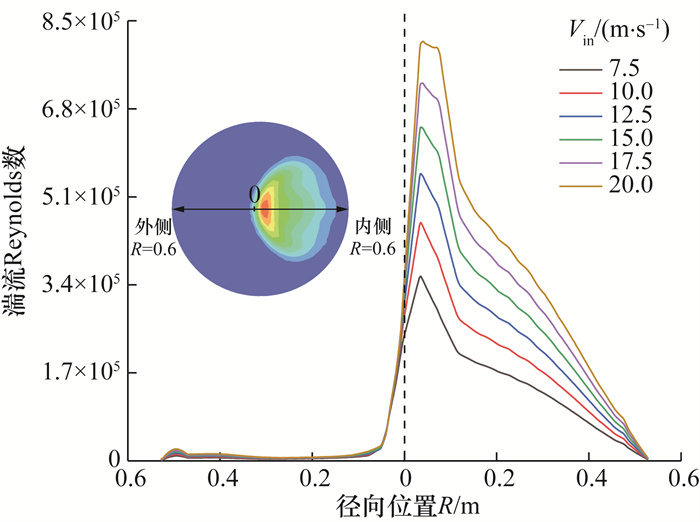
为了探究Vin对流动分离的影响,在P4截面上对环管内的湍流Reynolds数取值,如图 17所示,R为管道半径。由图可知,一方面,内测区的湍流Reynolds数明显高于外测区,并且和熵产率分布相同,内侧区的熵产率也高于外侧区;另一方面,湍流Reynolds数随着速度增加而增加。高速流动的流体具有更大的动能,当流经弯折处会更向外侧流动,加剧了内侧的流动分离程度,造成更严重的水力损失。因此,为了降低水力损失,建议通过增加喷嘴数量来减小弯曲段曲率,使流体在通过弯曲段时的流动路径更为平缓,减小流动分离现象。
图 17 径向上湍流Reynolds数分布
结合图 15可知,在低速流动(Vin=7.5 m/s)时,P4处压力脉动频域带宽小,P3处流动稳定无脉动;在高速流动时,上游P3的流动分离影响着P4处的流动,导致这两点处压力脉动频域带宽和幅度相同,也混合着高频和低频的脉动。P4和P2的压力脉动特征相同,说明脉动特征和Vin相关,速度加剧了这2点处的压力脉动,与湍流Reynolds数规律一致。在不同Vin下,P3和P4的压力脉动幅度始终高于P1和P5处,这也与熵产率分布规律一致。

4 结论

本文以四喷嘴冲击式水轮机的配水环管为研究对象,分析了流场的速度和压力的变化,基于熵产理论分析了入流速度和环管几何对流道水力损失的影响。得到如下结论:
1) 在配水环管中,随着入口速度Vin的增加,总熵产显著增长,从210.999 W/K增长至4 614.980 W/K,这一趋势由流域内的脉动熵产主导。其中主流道的总熵产占比最高,超过50%,其次是分岔口2。
2) 在分岔口2处,壁面与主流道间的夹角设计促使高速来流在分流后向外侧挤压,内侧形成低压区;高速来流增强了涡流的强度,且涡量分布和高熵产率区高度重合;由涡流引起的压力梯度变化是分岔口2内产生水力损失的主要原因。
3) 在主流道内,流体流经弯折处后趋于向外侧流动,导致环管处呈现外侧压力高、内部压力低分布,造成在内侧产生高水力损失;高速来流加剧了主流道内侧的流动分离程度;流动分离起的压力梯度变化是主流道内产生水力损失的主要原因。
4) 提出配水环设计优化策略,包括在分岔口增设分流肋板以稳定流态、减少涡流以及通过增加喷嘴数量并减小曲率来减轻流动分离。然而,喷嘴数量的增加可能引发射流干涉和效率问题。因此,未来研究应聚焦于射流干涉机制与能量转换效率,从而进一步降低射流域的水力损失。
1
HERWIG H, KOCK F. Local entropy production in turbulent shear flows: A tool for evaluating heat transfer performance[J]. Journal of Thermal Science, 2006, 15(2): 159- 167.

DOI

2
HERWIG H, KOCK F. Direct and indirect methods of calculating entropy generation rates in turbulent convective heat transfer problems[J]. Heat and Mass Transfer, 2007, 43(3): 207- 215.

3
HERWIG H, GLOSS D, WENTERODT T. A new approach to understanding and modelling the influence of wall roughness on friction factors for pipe and channel flows[J]. Journal of Fluid Mechanics, 2008, 613, 35- 53.

DOI

4
GONG R Z, WANG H J, CHEN L X, et al. Application of entropy production theory to hydro-turbine hydraulic analysis[J]. Science China Technological Sciences, 2013, 56(7): 1636- 1643.

DOI

5
LI D Y, WANG H J, QIN Y L, et al. Entropy production analysis of hysteresis characteristic of a pump-turbine model[J]. Energy Conversion and Management, 2017, 149, 175- 191.

DOI

6
XU L H, GUO T, WANG W Q. Effects of vortex structure on hydraulic loss in a low head Francis turbine under overall operating conditions base on entropy production method[J]. Renewable Energy, 2022, 198, 367- 379.

DOI

7
曾鸿基, 李正贵, 李德友, 等. 水泵水轮机流场脉动与熵产率的关系[J]. 排灌机械工程学报, 2022, 40(8): 777- 784.

ZENG H J, LI Z G, LI D Y, et al. Relationship between flow pulsation and entropy production rate of pump turbine[J]. Journal of Drainage and Irrigation Machinery Engineering, 2022, 40(8): 777- 784.

8
王李科, 姚亮, 冯建军, 等. 水泵水轮机S特性区能量损失及流动特性研究[J]. 水利学报, 2024, 55(3): 344-354, 366.

WANG L K, YAO L, FENG J J, et al. Energy loss and flow characteristics analysis of a model pump turbine in the S-shape region[J]. Journal of Hydraulic Engineering, 2024, 55(3): 344-354, 366.

9
卢金玲, 王李科, 廖伟丽, 等. 基于熵产理论的水轮机尾水管涡带研究[J]. 水利学报, 2019, 50(2): 233- 241.

LU J L, WANG L K, LIAO W L, et al. Entropy production analysis for vortex rope of a turbine model[J]. Journal of Hydraulic Engineering, 2019, 50(2): 233- 241.

10
YU Z F, WANG W Q, YAN Y, et al. Energy loss evaluation in a Francis turbine under overall operating conditions using entropy production method[J]. Renewable Energy, 2021, 169, 982- 999.

DOI

11
YU Z F, YAN Y, WANG W Q, et al. Entropy production analysis for vortex rope of a Francis turbine using hybrid RANS/LES method[J]. International Communications in Heat and Mass Transfer, 2021, 127, 105494.

DOI

12
WANG H B, ZHOU D Q, YU A, et al. Analysis of cavitation-induced unsteady flow conditions in Francis turbines under high-load conditions[J]. Processes, 2023, 12(1): 72.

DOI

13
徐广文, 陈创新, 朱俊昌, 等. 大型水斗式水轮机配水环管水力性能数值模拟[J]. 水利水电科技进展, 2008, 28(4): 30-31, 36.

XU G W, CHEN C X, ZHU J C, et al. Numerical simulation of hydraulic properties of water distribution pipe in large-scale Pelton turbine[J]. Advances in Science and Technology of Water Resources, 2008, 28(4): 30-31, 36.

14
SEMLITSCH B. Effect of inflow disturbances in Pelton turbine distributor lines on the water jet quality[J]. International Journal of Multiphase Flow, 2024, 174, 104786.

DOI

15
ZENG C J, XIAO Y X, XU W, et al. Numerical analysis of Pelton nozzle jet flow behavior considering elbow pipe[J]. IOP Conference Series: Earth and Environmental Science, 2016, 49(2): 022005.

16
CHEN X Q, GUO Y X, ZHU G J. The influence of different runner widths on the performance of micro Pelton turbine[J]. Journal of Physics: Conference Series, 2023, 2528, 012004.

DOI

17
孙启轩, 谭磊. 冲击式水轮机水斗设计方法及性能优化[J]. 清华大学学报(自然科学版), 2024, 64(5): 852- 859.

DOI

SUN Q X, TAN L. Bucket design method and performance optimization of a Pelton turbine[J]. Journal of Tsinghua University (Science and Technology), 2024, 64(5): 852- 859.

DOI

18
ZHAO H R, XU B, TANG P, et al. Generation mechanism and control method of countertorque in the bucket of a Pelton turbine[J]. Physics of Fluids, 2023, 35(10): 105133.

DOI

19
BEJAN A. Entropy generation minimization: the method of thermodynamic optimization of finite-size systems and finite-time processes[M]. Boca Raton: CRC Press, 1996.

20
肖业祥, 郑爱玲, 韩凤琴, 等. CFD法研究多喷嘴冲击式水轮机的射流干涉[J]. 华南理工大学学报(自然科学版), 2007, 35(3): 66- 70.

XIAO Y X, ZHENG A L, HAN F Q, et al. CFD-based investigation into jet interference in multi-nozzle Pelton turbines[J]. Journal of South China University of Technology (Natural Science Edition), 2007, 35(3): 66- 70.

21
SCHMANDT B, HERWIG H. Internal flow losses: A fresh look at old concepts[J]. Journal of Fluids Engineering, 2011, 133(5): 051201.

DOI

文章导航

/