公共安全

基于光流的火焰羽流纹影测速算法

  • 杨慎林 1, 2 ,
  • 赵磊 1 ,
  • 王赫卿 1 ,
  • 李满厚 , 1, 2, *
展开
  • 1. 合肥工业大学 土木与水利工程学院, 合肥 230009
  • 2. 安徽省氢安全国际联合研究中心, 合肥 230009
李满厚, 教授, E-mail:

杨慎林(1987—), 男, 副教授

收稿日期: 2025-01-20

  网络出版日期: 2025-05-24

基金资助

国家重点研发计划项目(2023YFC3107100)

国家自然科学基金项目(52206139)

国家自然科学基金项目(52476111)

国家自然科学基金项目(52176103)

中央高校基本科研业务费专项资金资助项目(JZ2024HGTG0303)

版权

版权所有,未经授权,不得转载。

Optical flow-based velocimetry algorithm for schlieren images of flame plume

  • Shenlin YANG 1, 2 ,
  • Lei ZHAO 1 ,
  • Heqing WANG 1 ,
  • Manhou LI , 1, 2, *
Expand
  • 1. School of Civil Engineering, Hefei University of Technology, Hefei 230009, China
  • 2. Anhui International Joint Research Center on Hydrogen Safety, Hefei 230009, China

Received date: 2025-01-20

  Online published: 2025-05-24

Copyright

All rights reserved. Unauthorized reproduction is prohibited.

摘要

在火焰羽流速度测量上, 传统的测量方法依托Pitot管、感烟探针、热线风速仪等流场侵入式测量手段, 难以呈现整个羽流在时间和空间上的未受干扰的流动状态。为了观测到火焰羽流, 该文借助纹影对火焰羽流进行可视化。结合Navier-Stokes动量方程, 提出了一种适用于流场的优化光流测速算法。该算法在火焰羽流纹影图像上的测试结果比基本光流算法展现出更加平滑的光流场和更加均匀的涡度场, 在求解的过程中前几次迭代收敛速度更快, 最终获得的光流场精度更高。在火焰羽流测速实验中, 相比于基本光流算法, 该算法展现出更强的鲁棒性, 计算结果更接近Heskestad预测模型, 对火焰羽流速度的测量更加稳定和准确。

本文引用格式

杨慎林 , 赵磊 , 王赫卿 , 李满厚 . 基于光流的火焰羽流纹影测速算法[J]. 清华大学学报(自然科学版), 2025 , 65(6) : 1153 -1160 . DOI: 10.16511/j.cnki.qhdxxb.2025.22.019

Abstract

Objective: Flow velocity measurement methods for weak flame plumes face several challenges due to the complex dynamics involved. Flame plumes, driven by buoyancy forces, are inherently turbulent, with the plume motion accompanied by the entrainment of the surrounding air. The boundary between the plume and the environment continuously evolves in space, making it difficult to capture the plume's true flow characteristics. Past plume velocity measurement methods rely on intrusive methods, using tools such as Pitot tubes, smoke probes, and hot-wire anemometers. These methods disrupt the plume flow field and cannot accurately reflect the undisturbed temporal and spatial characteristics of the entire plume, thereby limiting their applicability for a detailed analysis of weak flame plumes. Methods: To address these challenges, we employed the schlieren imaging technique to visualize flame plumes. This nonintrusive visualization technique allowed the capture of the flow field induced by buoyancy forces at a high resolution. Industrial cameras were used to record the ignition process and flame plume dynamics at varying heights and oil pan diameters. By analyzing the schlieren images, we aimed to overcome the limitations of traditional measurement methods. In this study, we derived a simplified two-dimensional Navier-Stokes equation to develop an optimized optical flow (OF) algorithm tailored for velocity measurements in flow fields. The proposed algorithm was applied to the schlieren images of flame plumes, showing significant improvements over conventional OF methods. Results: The key advancements of the optimized algorithm are as follows. (1) Enhanced sensitivity and precision: The optimized algorithm produces smoother displacement fields and more uniform vorticity fields. This enables the detection of finer vortex structures that are often overlooked by conventional OF methods. By improving the resolution and accuracy of the calculated flow field, the algorithm provides a more detailed representation of the flame plume's dynamics. (2) Rapid convergence: During the velocity calculation process, the optimized algorithm achieves rapid convergence. The energy residual after the first iteration is reduced to less than 10-2, and the energy residual in the final OF field remains below 10-5. This indicates that the proposed algorithm achieves a high accuracy in fewer iterations, making it computationally efficient. (3) Improved robustness in experimental validation: In flame plume velocity measurement experiments, the optimized algorithm demonstrates superior robustness compared with conventional OF methods. A dimensional analysis of the results shows a significant improvement in the fit between the predicted and measured values. Specifically, the coefficient of determination (R2) increases from 0.90 for the conventional OF method to 0.98 for the optimized algorithm. Additionally, the measured results are in close agreement with the Heskestad model results. While conventional OF methods show an average error range of -20%-30% in the plume region, the optimized algorithm reduces this error range to -5%-20%. This reduction highlights the enhanced accuracy and reliability of the optimized algorithm. Conclusions: Overall, the proposed algorithm provides a more stable, accurate, and efficient approach for measuring the velocity of weak flame plumes. By addressing the limitations of conventional OF measurement techniques and aligning more closely with theoretical prediction models, this study offers a valuable contribution to the flame plume analysis. These findings pave the way for the improved understanding and modeling of fire dynamics, with potential applications in fire safety engineering and combustion research.

流速测量技术是开展流体相关实验研究和工程应用的重要技术,对于研究基本物理现象和深入解释流动机理具有重要意义。在过去几十年中,流速测量技术不断发展,经历了从介入式到非介入式、从单点到平面再到全场、从低速测量到超声速测量的过程[1]
火焰羽流包含强羽流与弱羽流。传统的火焰羽流的流速测量主要为介入式测量。前人提出了许多方法,在流场中加入示踪粒子是其中的一种。Gengembre等[2]在燃烧器边缘添加示踪粒子,采用激光Doppler测速技术获得了羽流垂直速度分量变化规律。此外,还有研究者通过双探头探针定点测量火焰不同区域内的压力变化以获取流动平均速度[3-4];其他测量方法包括定点布置双探头[5]以及采用静电探头[6]等方法。
近年来,基于图像处理技术的流速测量方法得到了快速发展,特别是粒子图像测速技术(particle image velocimetry, PIV)[7]。在前计算机时代,由于缺乏图像处理能力,只能通过测量匹配点和流体结构在不同时间步长的位移来获得总体对流速度[8]。随着技术的发展,纹影测速的研究和应用不断深入。纹影测速主要形成了两类算法:纹影PIV互相关算法和光流(optical flow,OF)算法。纹影PIV(schlieren PIV, SPIV)技术利用流场中自然发生的折射湍流和涡流作为虚拟示踪粒子进行速度测量,并通过互相关算法以与PIV技术类似的方式估计速度场。然而,SPIV通过窗口粒子互相关算法得到速度的空间分辨率有限,以往研究大多展示多帧内的平均结果,仅能反映主流运动速度[9]。Kegerise等[10]使用SPIV测量轴对称热羽流时,认为纹影技术应用在三维流场时存在的积分效应影响了测量结果。
光流算法最早只能应用于低分辨率图像,且两帧图像之间的位移不能超过1个像素,因此只能粗略地获得图像中的像素位移[11]。随着图像技术的发展,图像分辨率显著提升,传统的Horn-Schunck算法难以求解包含较大位移的图像。为此,Bergen等[12]提出了多分辨率金字塔算法,通过对原始图像进行放缩,将两帧之间的位移限制在1个像素之内,同时利用差分方法进行迭代,得到更精细的计算结果[12-13]。为了进一步提升惩罚函数的鲁棒性,Sun等[14]引入了渐进非凸的广义Charbonnier函数作为惩罚函数,增强了算法对离散点的屏蔽能力,提高了算法的稳定性。
Fu等[15]是最早将OF算法应用于纹影图像测速的一批研究者。他们提出了方向性平滑约束以替代传统的空间项约束,提升了流场的平滑度,但该方法在计算精度方面仍有改进空间。该方法依赖于亮度恒定假设,并且缺乏物理约束,因此在处理复杂的运动模式时,尤其是对于纹影图像,往往难以准确捕捉流场的真实运动。
为了解决这一问题,本文引入了一种具有明确物理意义的光流模型,依据流体特性简化Navier-Stokes (N-S)方程,推导出一般物理意义上动量守恒项。由适用于流体的约束项和空间平滑项组建成正则项,并运用在基本光流模型之中。利用该算法,通过获取不同高度的火焰羽流纹影图像,可以计算流速并基于线性拟合结果预测流速。结果表明,与基本光流算法(以下简称光流算法或OF算法)相比,在火焰羽流纹影图像上,本文提出的优化光流测速算法(以下简称优化算法)能够展现更加平滑的光流场,对微弱流型火焰区域的检测更加灵敏,所计算的涡量场分布也更加均匀;在火焰羽流测速实验中的统计结果更稳定、更加接近Heskestad预测模型[16],是一种稳定和准确的火焰羽流纹影测速算法。

1 数学模型

1.1 基本模型

基本OF算法基于连续两帧来估计二维光流场。最常见的算法是在Horn和Schunck[11]方法的基础上形成的。该算法通过估计增量位移最小化的全局能量函数,获得二维光流场,包含数据守恒假设和空间平滑性假设。
$\left[\begin{array}{ll}\boldsymbol{I}_x & \boldsymbol{I}_y\end{array}\right]\left[\begin{array}{l}\boldsymbol{u} \\\boldsymbol{v}\end{array}\right]=-\boldsymbol{I}_t$
其中:$ \boldsymbol{I}_x=\mathrm{d} \boldsymbol{I} / \mathrm{d} x, \boldsymbol{I}_y=\mathrm{d} \boldsymbol{I} / \mathrm{d} y, \boldsymbol{I}_t=\mathrm{d} \boldsymbol{I} / \mathrm{d} t$ I是图像点的亮度; xy是图像点的坐标; t是时间; uv是图像点在xy方向上的运动分量。数据守恒项HD可以写为
$H_{\mathrm{D}}=\left(\boldsymbol{I}_x \boldsymbol{u}+\boldsymbol{I}_y \boldsymbol{v}+\boldsymbol{I}_t\right)^2 .$
其中惩罚函数通常为二次函数。在正则项中,假设速度在空间分布上具有连续性,即在小邻域中的点及其周围的点具有相似的速度,速度场在空间上变化平缓。该约束假设的表达方式是最小化速度梯度的平方,可以表示为将二次函数应用于速度一阶导数。
$H_{\mathrm{S}}=\left\|\frac{\partial \boldsymbol{u}}{\partial x}\right\|^2+\left\|\frac{\partial \boldsymbol{u}}{\partial y}\right\|^2+\left\|\frac{\partial \boldsymbol{v}}{\partial x}\right\|^2+\left\|\frac{\partial \boldsymbol{v}}{\partial y}\right\|^2 .$
全局的能量函数可以写成
$E\left(H_{\mathrm{D}}, H_{\mathrm{S}}\right)=\iint H_{\mathrm{D}} \mathrm{~d} x \mathrm{~d} y+\alpha \iint H_{\mathrm{S}} \mathrm{~d} x \mathrm{~d} y .$
在大多数情况下,数据守恒假设(HD)和空间平滑性假设(HS)难以同时满足,因为这两种假设存在矛盾,导致全局能量函数最小化效果会折中,所以引入权重参数α控制每个假设的相对重要性,即α是数据项与正则项的权重参数。
基本光流模型能够很好地满足刚体物体的位移场求解,然而在面对扭曲、旋转的流体流场时,数据项在严格意义上并不是守恒的,这是由于连续的亮度在图像上展现出来是离散的[17]

1.2 优化模型

对于正则项部分,本文保留了空间平滑项,并且考虑加入新的物理约束。
二维流动的动量守恒方程可以用N-S方程表示,对于在极短时间内的流动,本文作了一些简化。二维流动的N-S方程一般可以用如下形式表示:
$\begin{aligned}& \rho \frac{\partial \boldsymbol{u}}{\partial t}+\rho\left(\boldsymbol{u} \frac{\partial \boldsymbol{u}}{\partial x}+\boldsymbol{v} \frac{\partial \boldsymbol{u}}{\partial y}\right)= \\& -\frac{\partial p}{\partial x}+\mu\left(\frac{\partial^2 \boldsymbol{u}}{\partial x^2}+\frac{\partial^2 \boldsymbol{u}}{\partial y^2}\right)+\rho \boldsymbol{g}_x , \\& \rho \frac{\partial \boldsymbol{v}}{\partial t}+\rho\left(\boldsymbol{u} \frac{\partial \boldsymbol{v}}{\partial x}+\boldsymbol{v} \frac{\partial \boldsymbol{u}}{\partial y}\right)= \\& -\frac{\partial p}{\partial y}+\mu\left(\frac{\partial^2 \boldsymbol{v}}{\partial x^2}+\frac{\partial^2 \boldsymbol{v}}{\partial y^2}\right)+\rho \boldsymbol{g}_y ,\end{aligned}$
在极短时间内,流动可能不会导致明显的密度和压力变化; 其次,流动是不可压缩的,流动处于高Reynolds数下,惯性力比黏性力更为显著。因此,可以忽略黏性项。此外,极短时间内的流动可以不考虑流体的加速度。式(5)可以简化为:
$\begin{aligned}& \frac{\partial \boldsymbol{u}}{\partial t}+\boldsymbol{u} \frac{\partial \boldsymbol{u}}{\partial x}+\boldsymbol{v} \frac{\partial \boldsymbol{u}}{\partial y}=-\frac{1}{\rho} \frac{\partial p}{\partial x} \\& \frac{\partial \boldsymbol{v}}{\partial t}+\boldsymbol{u} \frac{\partial \boldsymbol{v}}{\partial x}+\boldsymbol{v} \frac{\partial \boldsymbol{u}}{\partial y}=-\frac{1}{\rho} \frac{\partial p}{\partial y} .\end{aligned}$
$\left[\begin{array}{ll}\boldsymbol{u} & \boldsymbol{v}\end{array}\right]\left[\begin{array}{ll}\frac{\partial \boldsymbol{u}}{\partial x} & \frac{\partial \boldsymbol{u}}{\partial y} \\\frac{\partial \boldsymbol{v}}{\partial x} & \frac{\partial \boldsymbol{v}}{\partial y}\end{array}\right]=0 .$
基于动量守恒,本文引入新的约束项标量场,
$H_{\mathrm{M}}=\|d[(\boldsymbol{u}, \boldsymbol{v}) \cdot \nabla(\boldsymbol{u}, \boldsymbol{v})]\|^2 .$
组建成新的能量方程为
$\begin{gathered}& E\left( {{H_{\rm{D}}}, {H_{\rm{S}}}, {H_{\rm{M}}}} \right) = \\& \iint H_{\mathrm{D}} \mathrm{~d} x \mathrm{~d} y+\alpha \iint\left(H_{\mathrm{S}}+\beta H_{\mathrm{M}}\right) \mathrm{d} x \mathrm{~d} y .\end{gathered}$
其中β是空间平滑项和动量守恒项的权重系数。然后,构造Euler-Lagrange方程,使用梯度下降的方法更新光流估计值。光流增量的迭代公式如下:
$\begin{aligned}\boldsymbol{u}^{(k+1)} & =\boldsymbol{u}^{(k)}-\iint\left[f_1^{\prime}\left(\boldsymbol{I}_x \boldsymbol{u}^{(k)}+\boldsymbol{I}_y \boldsymbol{v}^{(k)}+\boldsymbol{I}_t\right) \boldsymbol{I}_x+2 \alpha \nabla^2 \boldsymbol{u}^{(k)}+2 \beta\left\|\boldsymbol{V}^{(k)} \bullet \nabla \boldsymbol{V}^{(k)}\right\|\left(1+\nabla \boldsymbol{u}^{(k)}\right)\right] \mathrm{d} x \mathrm{~d} y, \\\boldsymbol{v}^{(k+1)} & =\boldsymbol{v}^{(k)}-\iint\left[f_1^{\prime}\left(\boldsymbol{I}_x \boldsymbol{u}^{(k)}+\boldsymbol{I}_y \boldsymbol{v}^{(k)}+\boldsymbol{I}_t\right) \boldsymbol{I}_x+2 \alpha \nabla^2 \boldsymbol{v}^{(k)}+2 \beta\left\|\boldsymbol{V}^{(k)} \bullet \nabla \boldsymbol{V}^{(k)}\right\|\left(1+\nabla \boldsymbol{v}^{(k)}\right)\right] \mathrm{d} x \mathrm{~d} y .\end{aligned}$
其中:f′为鲁棒函数的一阶导函数,V(k)=(u(k), v(k))表示迭代次数为k的速度场,$\nabla$为Laplace算子,$\nabla$2u$\nabla$2v分别为速度分量的二阶梯度。V(0)=(u(0), v(0))的初始值设置为 0,每一次迭代产生的增量都会作为下一次迭代的初始值,每次迭代产生的光流增量都会累加,直到完成迭代次数,得到当前层的光流场。最后,以原始分辨率的图像计算出整个图像尺寸下的光流场。本方法参考文[18]使用了多分辨率金字塔算法更精细地计算位移。

2 实验设计

纹影技术的原理是将偏转的光线与未受干扰的光线分开,通常使用的方法是阻挡偏转的光线,使它们不会到达测试部分成像的记录屏幕上。如果这种偏转发生在测试部分的一点上,并且偏转的光线随后被适当的刀口所拦截,图像平面上的对应点就显得更暗。在单色纹影系统中,空气密度梯度反映了火焰亮度的变化。
密度梯度具有矢量特征,其完整描述需要测量密度大小和梯度方向。典型的纹影系统只能检测该矢量的一部分,即在预定方向上的梯度(xy方向的梯度)或者其分量,这是因为在记录的图像上,亮度是以二维网格分布的离散状态。实验装置如图 1所示。
光学部件包含:10 W的LED光源、2个相同抛物面镜(直径12英寸, 即30.48 cm)、刀口、高速相机。高速相机为XG1600MG-C-662工业相机,帧率设为500帧/s,曝光时间设为1.1 μs,图像的分辨率为960×1 024像素。
实验采用乙醇作为燃料,这是因为乙醇燃烧效率高,火焰羽流中固体烟颗粒较少,羽流几乎是透明的。

3 实验结果

3.1 点火过程

图 2给出了油盘直径30 mm下乙醇点火过程的纹影序列图。图像采集时间间隔为50 ms。
图 2 乙醇点火过程的纹影序列图(油盘直径30 mm)
选取图 3中的白色区域对基本光流算法和优化光流算法的测速结果进行对比分析。首先,从图 4可以看出,两种算法都通过速度矢量显示了羽流趋势。优化光流算法的结果显示,在边缘弱流型区域也存在着羽流运动。弱流型区域是指主流区域与环境之间存在微弱流动的区域。由图 4可以看到,基本光流算法会把这一部分当作噪声进行屏蔽,而优化算法则会识别出来。这一点从图 5也可以看出,尽管优化光流算法和基本光流算法计算的速度值的大小在类似的范围内,但优化算法可以得到更平滑的速度场。
图 3 测试分析区域
图 4 两种算法得到的速度矢量图
图 5 两种算法得到的速度梯度分布云图
图 6展示了两种算法计算得到的流场的涡度标量分布情况。由图 56可知,光流算法的涡度和散度主要分布在涡旋结构的边缘部分,而优化光流算法能够检测到结构内部的自旋状态,得到的流场在涡度和散度上的分布更加均匀与平滑,同时能够检测到主流区之外存在的较小涡度的分布。纹影图像证实了在主流区域之外确实存在细小的涡旋结构,这表明优化后的算法对弱羽流具有更高的灵敏度,能够检测到弱流型区域。
图 6 两种算法得到的流场的涡度标量分布云图
图 7所示的是优化前后的光流算法的收敛过程,图中5条曲线对应于多分辨率金字塔算法中不同的金字塔层。其中:Level1代表多分辨率图像金字塔中原始分辨率的图像,Level5则代表分辨率最低的图像。每个金字塔层内的能量残差的定义为
$E_{\mathrm{R}}=\frac{1}{M N} \sqrt{\sum\limits_{i=1}^M \sum\limits_{j=1}^N\left|V_{i, j}^{(n+1)}-V_{i, j}^{(n)}\right|^2} .$
图 7 优化前后的算法收敛过程
其中:MN分别是该层图像水平像素值和垂直像素值,Vi, j是迭代所产生的光流增量,n为迭代次数。能量残差的物理意义是连续迭代的光流增量的平均方差,是量纲为1的量,用于评估光流估计的误差,即光流场的准确性。相比于优化前的算法,优化后的算法收敛速度很快,第1次迭代完成后能量残差就可以小于10-2
图 7中可以看出,两种算法在每个层级的光流场都拥有很高的准确性,优化前的算法在最终迭代出的光流场下能量残差维持10-4以下(Level1),而优化后的算法则维持在10-5以下(Level1),表明优化后的算法应用于纹影图像上具有更高的精度。

3.2 火焰羽流测速

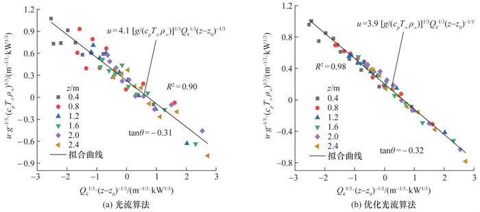
火焰羽流速度特征由非反应热羽流和反应流浮力共同作用产生[19],而火焰温度是燃烧反应行为的产物,这些特性共同促成了火焰羽流的湍流性质,因此在测速前没有选定方向去测量,而且测量火焰羽流的瞬时速度是没有意义的[3]。所有的相关研究都选择在固定的高度下测量一段时间内火焰羽流的平均速度和温度。Heskestad[16]给出了火焰上方中心线位置速度与高度的关系,
$u=3.4\left(\frac{g}{c_p \rho_{\infty} T_{\infty}}\right)^{1 / 3} Q_{\mathrm{c}}^{1 / 3}\left(z-z_0\right)^{-1 / 3} .$
其中:u为火焰中心线位置火羽流的速度,g为重力加速度,cp为空气定压比热容,ρ为空气密度,Qc为对流热释放速率,z为火焰正上方高度,z0为虚拟点源高度。火焰中心线并非羽流中心线,对于实际的弱羽流,羽流速度最大处应该是在火焰上方中心线附近呈正态分布;在自由羽流情况下,速度最大处出现在火焰上方中心线附近的概率最高[20]。根据纹影拍摄获得的相邻两帧图像以及间隔时间,通过优化后的算法可以计算出其光流场,即火焰羽流的位移场,结合像素距离与实际距离的关系(本研究中每个像素对应于0.366 mm),再结合采样时间间隔,即可获得相邻两帧图像的速度场。
为了避免光流过耦合的情况,需要降低图像噪声,本文对原始速度场进行窗口平滑,平滑尺寸为1/16纹影直径大小。在平滑后的速度场选取中心区域(约4.1 cm2)计算速度,在同一工况下每隔50 ms取样计算一次,最终得到平均速度。
通过拍摄油盘正上方不同高度(0、0.4、0.8、1.2、1.6、2.0、2.4 m)处的羽流纹影图像进行此次实验, 其中0 m为拍摄火焰,其他高度为拍摄羽流。表 1给出了实验工况,分别采用了10种不同直径的油盘。表 1中热释放速率根据油盘直径计算获得。
表 1 实验工况
参数
燃料类型 乙醇
室内温度/℃ 18
空气比热容cp/ (kJ·kg-1·K-1) 1.004
油盘直径/mm 25, 40, 55, 65, 75, 80, 90, 100, 105, 110
热释放速率/kW 0.19, 0.52, 0.91, 1.29, 1.69, 2.08, 2.63, 3.18, 3.92, 4.18
实验结果如图 8所示。本文对结果进行了量纲分析,两种方法的拟合结果都与经典Heskestad模型(式(12))较为一致。在光流算法的结果中,k=4.1,tanθ=-0.31,在优化光流算法的结果中,k=3.9,tanθ=-0.32。式(12)中,k=3.4,tanθ=-1/3。然而,优化算法的结果采用Heskestad模型拟合的拟合优度(R2=0.98), 要明显高于光流算法(R2=0.90)。
图 8 两种算法的测速结果的量纲分析
图 9展示了两种算法的计算结果与式(12)模型预测结果的对比。可以看出,光流算法在羽流区域内的结果与Heskestad模型预测结果的误差在-20%~30%之间,优化算法大大减少了误差,将误差范围缩小到-5%~20%左右,其计算结果与Heskestad模型预测结果更加接近。从平均绝对误差来看,光流算法的结果比Heskestad模型预测结果大13%左右,而优化光流算法的结果比Heskestad模型预测结果大8%左右,优化算法得到的结果更紧密地集中在Heskestad模型预测结果的周围,表明算法的准确性有所提高。这可能是由于基本光流算法在计算部分羽流纹影图像时的结果是发散的,导致统计结果偏离Heskestad模型,而优化算法则具有更好的鲁棒性和稳定性。
图 9 两种算法计算结果与Heskestad模型预测结果的对比
误差的原因可归结为以下2点:1) 靠近火焰侧的羽流中的湍流强度较高。Gengembre[2]和George Jr[5]测量所获得的沿羽流中心线轴向的速度波动强度始终较高。2) Heskestad[20]指出,羽流速度测量产生误差的原因可以归结为测量的误差(Pitot管、双向流量探头、热线、叶片风速计、互相关技术、激光Doppler风速计)和羽流中心线位置难以精准确定等。纹影是非侵入式测量流场的一种手段,因为没有侵入式的固有误差存在,所以这种方式获得的速度更加接近羽流流场的真实速度。

4 结论

本文利用纹影技术对火焰羽流进行可视化,并通过构建新的约束方程,提出了一种优化光流测速算法。该算法在火焰羽流测速方面比基本光流算法具有更好的表现:
1) 优化算法迭代得到的光流场更加平滑,对于弱流型火焰区域更加敏感,能够检测到弱小涡旋结构,可以得到更加均匀平滑的涡度场。
2) 优化算法的能量残差收敛速度很快,第1次迭代完成的能量残差就可以小于10-2,最终迭代出的光流场能量残差低于10-5
3) 优化算法计算结果与Heskestad模型预测结果的误差范围缩小到-5%~20%左右,绝对平均误差减小到8%左右,优化算法的准确性和稳定性比基本光流算法有所提高。
尽管优化算法在羽流测速中展现了优异的性能,但其应用范围仍有进一步扩展的空间。下一步将在更多的火源类型、更大的油盘直径、更复杂的环境下进行火焰羽流速度场测量,为更准确地分析火灾动力学行为提供参考。
1
黄天立, 王倩. 一种应用于水流的纹影特性光流测速算法[J]. 实验流体力学, 2021, 35 (5): 81- 89.

HUANG T L , WANG Q . A schlieren motion estimation method for water flow velocimetry[J]. Journal of Experiments in Fluid Mechanics, 2021, 35 (5): 81- 89.

2
GENGEMBRE E , CAMBRAY P , KARMED D , et al. Turbulent diffusion flames with large buoyancy effects[J]. Combustion Science and Technology, 1984, 41 (1-2): 55- 67.

DOI

3
McCAFFREY B J . Purely buoyant diffusion flames: Some experimental results[M]. Gaithersburg, USA: National Institute of Standards and Technology, 1979.

4
INGASON H . Plume flow in high rack storages[J]. Fire Safety Journal, 2001, 36 (5): 437- 457.

DOI

5
GEORGE JR W K , ALPERT R L , TAMANINI F . Turbulence measurements in an axisymmetric buoyant plume[J]. International Journal of Heat and Mass Transfer, 1977, 20 (11): 1145- 1154.

DOI

6
COX G , CHITTY R . A study of the deterministic properties of unbounded fire plumes[J]. Combustion and Flame, 1980, 39 (2): 191- 209.

DOI

7
冯旺聪, 郑士琴. 粒子图像测速(PIV)技术的发展[J]. 仪器仪表用户, 2003, 10 (6): 1- 3.

FENG W C , ZHENG S Q . The development of particle image velocimetry[J]. Instrumentation Customer, 2003, 10 (6): 1- 3.

8
McINTYRE S, SETTLES G. Optical experiments on axisymmetric compressible turbulent mixing layers[C]// 29th Aerospace Sciences Meeting. Reno, USA: AIAA, 1991: 623.

9
朱海军, 王倩, 梅笑寒, 等. 基于高速纹影/阴影成像的流场测速技术研究进展[J]. 实验流体力学, 2022, 36 (2): 49- 73.

ZHU H J , WANG Q , MEI X H , et al. A review on flow field velocimetry based on high-speed schlieren/shadowgraph systems[J]. Journal of Experiments in Fluid Mechanics, 2022, 36 (2): 49- 73.

10
KEGERISE M A, SETTLES G S. Schlieren image-correlation velocimetry and its application to free-convection flows[C]// 9th International Symposium on Flow Visualization. Edinburgh, UK: Heriot-Watt University, 2000: 380.

11
HORN B K P , SCHUNCK B G . Determining optical flow[J]. Artificial Intelligence, 1981, 17 (1-3): 185- 203.

DOI

12
BERGEN J R, ANANDAN P, HANNA K J, et al. Hierarchical model-based motion estimation[C]// Second European Conference on Computer Vision. Santa Margherita Ligure, Italy: Springer, 1992: 237-252.

13
BRUHN A , WEICKERT J , SCHNÖRR C . Lucas/Kanade meets Horn/Schunck: Combining local and global optic flow methods[J]. International Journal of Computer Vision, 2005, 61 (3): 211- 231.

14
SUN D Q, ROTH S, BLACK M J. Secrets of optical flow estimation and their principles[C]// 2010 IEEE Computer Society Conference on Computer Vision and Pattern Recognition. San Francisco, USA: IEEE, 2010: 2432-2439.

15
FU S , WU Y J . Detection of velocity distribution of a flow field using sequences of Schlieren images[J]. Optical Engineering, 2001, 40 (8): 1661- 1666.

DOI

16
HESKESTAD G . Engineering relations for fire plumes[J]. Fire Safety Journal, 1984, 7 (1): 25- 32.

DOI

17
JONASSEN D R , SETTLES G S , TRONOSKY M D . Schlieren "PIV" for turbulent flows[J]. Optics and Lasers in Engineering, 2006, 44 (3-4): 190- 207.

DOI

18
ROTH S, LEMPITSKY V, ROTHER C. Discrete- continuous optimization for optical flow estimation[C]// International Dagstuhl Seminar on Statistical and Geometrical Approaches to Visual Motion Analysis. Dagstuhl Castle, Germany: Springer, 2008: 1-22.

19
DELICHATSIOS M A . Air entrainment into buoyant jet flames and pool fires[J]. Combustion and Flame, 1987, 70 (1): 33- 46.

DOI

20
HESKESTAD G. Fire plumes, flame height, and air entrainment[M]//HURLEY M J, GOTTUK D, HALL J R, et al. SFPE handbook of fire protection engineering. New York, USA: Springer, 2016: 396-428.

文章导航

/