微重力燃烧

微重力下推举射流扩散火焰稳定特性实验研究

  • 李丹 , 1 ,
  • 王双峰 2, 3 ,
  • 肖俊峰 1 ,
  • 高松 1 ,
  • 王玮 1
展开
  • 1. 西安热工研究院有限公司,西安 710054
  • 2. 中国科学院力学研究所 中国科学院微重力重点实验室,北京 100190
  • 3. 中国科学院大学 工程科学学院,北京 100049

李丹(1991—),女,高级工程师,E-mail:

收稿日期: 2024-06-11

  网络出版日期: 2025-08-30

基金资助

国家科技重大专项(J2019-I-0003-0004)

华能集团科技项目(HNKJ22-H16)

国家重点研发计划项目(2021YFA0716202)

国家重点研发计划项目(2022YFF0504500)

版权

版权所有,未经授权,不得转载。

Experimental study of the stabilization characteristics of lifted jet diffusion flames under microgravity

  • Dan LI , 1 ,
  • Shuangfeng WANG 2, 3 ,
  • Junfeng XIAO 1 ,
  • Song GAO 1 ,
  • Wei WANG 1
Expand
  • 1. Xi'an Thermal Power Research Institute Co., Ltd., Xi'an 710054, China
  • 2. Key Laboratory of Microgravity, Institute of Mechanics, Chinese Academy of Sciences, Beijing 100190, China
  • 3. School of Engineering Science, University of Chinese Academy of Sciences, Beijing 100049, China

Received date: 2024-06-11

  Online published: 2025-08-30

Copyright

All rights reserved. Unauthorized reproduction is prohibited.

摘要

射流扩散火焰在能源动力等领域的应用十分普遍,如工业窑炉、电站锅炉和燃气轮机等。稳定性是射流扩散火焰研究中的主要问题之一。该文针对气体射流推举扩散火焰向湍流转捩过程开展了落塔微重力实验,观测了微重力下推举扩散火焰的稳定行为,并通过与常重力下的实验结果进行比较,分析得出浮力对火焰稳定特性的影响。结果表明,火焰推举高度受到上游流动状态的影响较为显著,转捩过程中,层流射流发生间歇性破碎,火焰推举高度出现相应波动; 虽然微重力火焰的推举高度较小,但2种重力条件下推举高度波动具有相似的控制机制。转捩火焰和湍流火焰均表现出分裂现象,促使火焰振荡,火焰高度则随时间发生变化,由于微重力火焰高度远大于常重力火焰,火焰边缘剪切层不稳定性向下游区域的发展较为充分,火焰高度的变化范围更大。火焰分裂现象有着明显的随机性,在转捩阶段,微重力火焰的平均分裂频率略大于常重力火焰; 在湍流阶段,微重力火焰分裂频率相对较低并随着射流速度的增加而增大,这表明浮力可促进火焰分裂。此外,射流Froude数无法关联微重力火焰的分裂/振荡频率。该文有助于深化对推举火焰的转捩过程的认识,并进一步揭示浮力对火焰转捩和火焰稳定的影响。

本文引用格式

李丹 , 王双峰 , 肖俊峰 , 高松 , 王玮 . 微重力下推举射流扩散火焰稳定特性实验研究[J]. 清华大学学报(自然科学版), 2025 , 65(9) : 1717 -1726 . DOI: 10.16511/j.cnki.qhdxxb.2024.27.044

Abstract

Objective: Jet diffusion flames are widely used in industry, energy, and power, including industry kiln stoves, power station boilers, and gas turbines. Flame stabilization is an important problem in jet diffusion flames because of its involvement in the safety of combustion equipment, combustion efficiency, and pollutant emissions. Investigating the characteristics of flame stabilization and the related fire safety issues is important for the design of practical combustion equipment. Many investigations into the stabilization characteristics of laminar jet diffusion flames have been conducted. Our understanding of the characteristics of the flame shape and stabilization behavior of laminar flames is clear. However, for transitional and turbulent flames, especially for lifted flames, under normal gravity conditions, the coupling of buoyancy, jet flow, and Kelvin-Helmholtz (K-H) instability at the flame edge makes the problem more complex. Methods: Experiments were conducted on laminar-to-turbulent lifted jet diffusion flames under normal gravity and microgravity conditions. Variations in the flame lift-off height and length during the transitional process and the stabilization behavior of "non-buoyant flames" were observed. This study analyzes and discusses the stabilization characteristics of the lifted jet diffusion flames under microgravity conditions based on the experimental data of flame lift-off height and flame length. Compared with the results obtained under normal gravity conditions, the influences of buoyancy on the characteristics of flame stabilization were further analyzed. Results: Results showed that lifted flames under microgravity and normal gravity conditions yielded similar critical Reynolds numbers corresponding to the start and end of the transitional stage, respectively. During the transitional process, the flame lengths under microgravity conditions are approximately twice those under normal gravity conditions. The flame lift-off heights under microgravity conditions are always lower than those under normal gravity conditions; however, the differences between normal gravity and microgravity decrease as the jet flow velocity increases. The flame lift-off height is significantly influenced by the jet upstream of the flame base. In the transitional stage, the jet flow exhibits intermittent breakup, causing flame lift-off heights to oscillate. The transitional and turbulent flames all exhibit severe separation phenomena, resulting in the variation of the flame length with time. Because the flame lengths under microgravity conditions are longer than those under normal gravity conditions, the development of the K-H instability at the flame edge toward the downstream region is greater, and flame length varies over a wider range. Conclusions: Although flame lift-off heights under microgravity conditions were relatively low, the flame lift-off height fluctuations under the two gravity conditions had a similar control mechanism. Flame splitting is somewhat random. As Re=2 460 (transitional regime), the mean separation frequencies under the two gravity conditions have only a slight difference. In the turbulent stage, as Re also increases, the mean separation frequency under microgravity conditions increases. However, in the turbulent regime, the flame separation frequencies under microgravity conditions are relatively lower, indicating that buoyancy can promote flame splitting. Moreover, the relationship between the Strouhal and Froude numbers for the flame-splitting phenomenon indicates that the jet Froude number cannot correlate with the separation/oscillation frequency of the flames under microgravity conditions.

射流扩散火焰在能源动力领域的应用非常普遍,如工业窑炉、电站锅炉及燃气轮机等。火焰稳定性关乎燃烧设备安全稳定运行、燃烧效率和污染物排放等,是射流扩散火焰研究中的重要问题之一。射流扩散火焰具有附着和推举2种稳定状态,当射流出口速度较小时,火焰根部稳定在燃烧器喷口附近,称为附着火焰; 持续增大射流速度,一定条件下火焰根部显著离开喷嘴并稳定在喷口下游一定位置处,形成推举火焰。实际燃烧设备为保证一定可靠性通常需要稳定的附着火焰,而某些工业锅炉等为保护喷嘴则通常选用推举火焰。
地面常重力环境中存在浮力对流,导致射流扩散火焰边缘出现大尺度的涡旋结构。实验和数值计算结果表明,上述结构是由于火焰面周围的高温燃气与环境交界面之间的剪切层发生了Rayleigh-Taylor不稳定性((R-T instability)和Kelvin-Helmholtz不稳定性((K-H instability)[1]。射流扩散火焰面边缘涡旋结构的运动引起火焰高度、宽度、亮度等随时间发生周期性变化的现象,称为火焰振荡或闪烁(flame flickering)现象,属于火焰不稳定性中的一种。射流火焰振荡现象的研究主要涉及燃烧器尺寸、燃料类型、压力、重力以及伴流空气速度对振荡幅度和振荡频率的影响。Chamberlin和Rose[2]研究了层流和转捩过程的射流扩散火焰的低频振荡现象。扩散火焰表现出的10~20 Hz的低频振荡与涡旋结构的运动密切相关[1-3],且振荡频率与燃料类型关系不大[1, 4]。葛逸飞[5]利用建立的高压扩散燃烧实验平台开展了0.1~4.0 MPa压力范围内的甲烷-氧气层流射流扩散火焰不稳定性研究,将燃烧状态划分为无振荡、间歇性振荡和持续振荡区,并提出了相应的临界条件。前人的研究结果表明,伴流能够有效抑制浮力对扩散火焰面的影响,提高火焰稳定性、降低火焰高度[6-8]。李丹等[9]通过实验考察了伴流速度对扩散火焰转捩和稳定性的影响,结果表明,较大的伴流速度对浮力效应具有抑制作用,随着伴流速度增大,中心射流对火焰形态的影响逐渐显著,火焰周期性振荡的幅度逐渐减小。
目前关于层流射流扩散火焰振荡特性的研究工作较多,研究者们对层流火焰形态特征、稳定行为等特性已经有了比较全面的认识。对于转捩和湍流阶段的火焰,尤其是推举火焰,其稳定性会受到常重力环境下浮力流动的影响,且浮力流动与射流流动、火焰边缘剪切层不稳定性的相互耦合会进一步提升研究的复杂程度[10, 11]。因此,在微重力环境下射流扩散火焰的稳定特性可能异于常重力环境。
Wang等[12]通过落塔实验研究了微重力下湍流射流火焰的吹熄和推举行为,发现火焰高度随着伴流速度的增加而减小,火焰推举高度随着伴流速度的增加而增大且小于常重力下的推举高度,微重力火焰吹熄极限显著高于常重力火焰。Li等[13-14]对微重力和常重力环境下推举射流扩散火焰的转捩过程进行了实验研究,分析火焰的转捩过程和稳定特性,探讨火焰的转捩机制和稳定机理。微重力与常重力下推举火焰的转捩过程定性相同,且推举火焰根部与紊乱射流之间的相互作用引起火焰从层流向湍流状态的转变; 层流和转捩初期,推举火焰的稳定可通过燃烧速度与局部气流速度之间的平衡进行解释,而转捩中后期及湍流阶段,涡旋结构在火焰稳定中的作用愈加重要。再者,转捩阶段冷态及反应射流均存在间歇性破碎现象,且破碎频率随射流速度增大而增大,该现象导致火焰形态和火焰高度等产生剧烈变化。此外,微重力下的火焰推举高度较低,火焰高度远大于常重力火焰高度,无量纲火焰高度与火焰Froude数之间存在2/3次幂的关系。
推举高度和火焰高度的变化集中体现了推举火焰的稳定性,是流动与火焰相互作用的结果,浮力流动在其中发挥着重要作用。本文基于推举射流扩散火焰向湍流转捩过程中的火焰推举高度和火焰高度等落塔微重力实验数据,分析和讨论了微重力下推举射流火焰的稳定特性,通过对比常重力下的实验结果,进一步分析了浮力对火焰稳定特性的影响。

1 实验方法

推举射流火焰转捩过程的微重力实验在中国科学院微重力重点实验室的百米落塔内进行,采用单舱实验舱,微重力水平为10-3~10-4g(g为重力加速度)[13]。落塔实验过程中重力水平随时间的变化曲线如图 1所示,实验舱被释放后,经过约0.2 s进入微重力环境,可获得的微重力时间为3.6 s左右,微重力实验段结束后,实验舱落入回收网,进入减速回收阶段。
图 1 落塔实验过程中重力水平变化过程(g为重力加速度)
实验系统如图 2所示,主要包括同轴伴流射流燃烧器、气体(燃料和空气)供应装置、点火装置、观测设备和可编程逻辑控制器(programmable logic controller,PLC)。相应的常重力实验也在该装置上完成。燃料喷嘴内径为1.0 mm,伴流空气管内径为47 mm,实验用气体燃料为丙烷(体积分数>99.9%)和氮气(体积分数≥99.99%)的混合气,丙烷质量分数为0.786; 射流出口Reynolds数(Re)的计算方式为Re=Ufd/υ,其中Uf为射流出口平均速度,d为喷嘴内径,υ为燃料气体的运动黏度,Re取值范围为1 570~3 680。伴流空气由氮氧混合气(O2体积分数21%, N2体积分数79%)供应,在伴流侧设置蜂窝器整流段以获得均匀的空气流动,伴流空气速度为0.3 m/s。根据燃料射流出口Re、伴流空气速度等实验参数的需要,利用气体质量流量控制器分别对3种气体的流量进行设定和控制,控制精度为±1%。实验过程中采用GoPro相机对火焰图像进行记录,拍摄速率为120 fps,分辨率为1 080像素×1 920像素。
图 2 实验系统示意图

2 结果与讨论

2.1 火焰稳定性

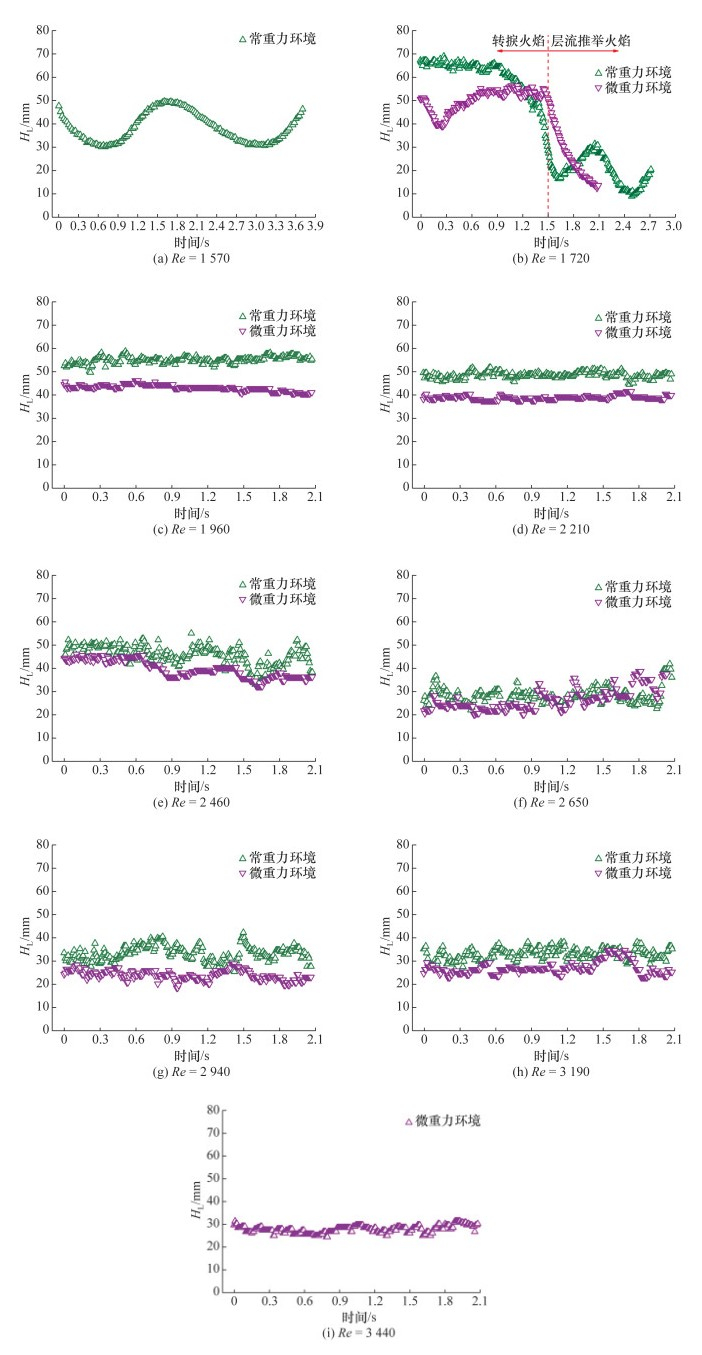
Li等[13]的研究表明,微重力下推举火焰的转捩过程与常重力结果相似,转捩发生和结束时对应的射流出口Re与常重力结果基本一致(转捩发生点Re=1 720、转捩结束点Re=2 650)。如图 3所示,火焰高度hf定义为火焰根部到火焰顶端的轴向距离,推举高度HL为射流出口到火焰根部的距离,由图可知,当火焰为层流状态(Re=1 570)时,常重力下火焰为推举状态,同时火焰面下游存在浮力诱导产生的大尺度结构,hf振荡变化,而微重力下火焰则为稳定的附着状态,且火焰边缘平滑,hf基本为常值。此外,当Re>3 190时,常重力下的火焰发生吹熄,而微重力下Re=3 680左右时,火焰仍保持稳定的湍流推举状态,尚未达到吹熄极限。
图 3 典型火焰图像(Re=1 570)
微重力和常重力环境中不同Re条件下HL随时间的变化如图 4所示。由图可知,Re=1 570时,常重力下层流火焰HL随时间的推移呈现周期性变化(见图 4a)。层流推举火焰的稳定主要取决于火焰根部附近燃烧速度与局部气流速度之间的动态平衡,而周期性振荡(或闪烁)的火焰可能对根部附近的射流和周围环境产生了一定程度的扰动,导致根部附近的气流速度发生周期性的变化,进而影响HL的变化。
图 4 不同射流Re下微重力和常重力火焰推举高度随时间的变化
Re增大至1 720时,微重力和常重力下火焰HL均在1.5 s左右时发生突降,之后,常重力下的HL呈现出层流浮力火焰周期性的振荡现象(见图 4b),这表明火焰开始向湍流状态转捩,火焰根部附近的射流时而发生破碎并产生少量的涡旋[13-14]。该条件下推举转捩火焰和层流火焰来回切换,主要取决于火焰根部燃烧速度与上游局部气流速度之间的动态关系,微重力下该现象仍然存在。此外,微重力下由于无浮力加速作用,HL相对较小。
随着Re增大,转捩阶段中期(见图 4c4d)HL的波动更为频繁,且微重力下的振荡幅度相对较低。这主要是因为随着射流速度增大,火焰根部上游射流破碎产生的涡旋结构更多,同时涡旋结构向火焰根部运动的速度更快。继续增大Re至转捩阶段后期,微重力和常重力下HL的变化突然加剧(见图 4e),这可能是由于转捩阶段后期,射流出现了严重的间歇性破碎现象,导致火焰结构和稳定行为发生了剧烈变化[13-14]
进一步增大Re,火焰进入湍流阶段,该阶段湍流射流主要来源于燃烧器圆管内流动的转捩,由图 4f4i可知,HL的振荡相对于转捩中期(见图 4c4d)更为剧烈,表明涡旋结构对火焰稳定的影响进一步增强,这也印证了Li等[14]的研究结果。此外,2种重力环境下HL的差距减小,表明浮力对火焰推举的影响减弱。
通过观察微重力与常重力环境下转捩过程中火焰的演化过程[13],可以发现重力显著影响火焰面上湍流结构的特征和发展。常重力和微重力下弱湍流推举火焰边缘大尺度结构的典型差异如图 5所示,由图可知,随着火焰逐渐演变为湍流状态,微重力下火焰两侧的大尺度结构倾向于更加对称,并且在沿火焰面向上运动的过程中逐渐向火焰内部延伸,但尺度变化不大。这是由于微重力下hf大大增加[13, 15-16],火焰面边缘的不稳定性具有了更长的时间发展,因而火焰两侧受大尺度结构的影响更为突出。常重力下火焰上游较小区域(≈1/3hf)内的结构特征与微重力结果相似,但下游区域却呈现出较大尺度蜿蜒扭曲的结构,后者可能是由浮力加速作用导致[17]。Idicheria等[17]对常重力和低重力下湍流附着火焰的形态特征进行了比较,也观察到类似的现象。
图 5 弱湍流推举火焰形态示意图

2.2 火焰的分裂行为

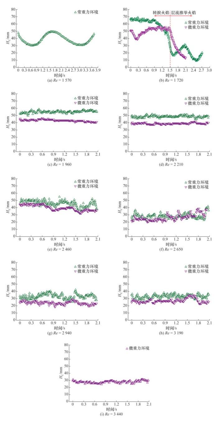
微重力和常重力环境下不同Re条件下hf随时间的变化如图 6所示。由图可知,常重力下层流火焰高度在一定范围内波动,而微重力下由于浮力对流的缺失,hf基本保持在310 mm左右(见图 6a)。当Re增大至1 720时,火焰开始转捩(与图 4bHL的变化类似),hf也在1.5 s左右发生突增(见图 6b)。
图 6 不同射流Re条件下微重力和常重力火焰高度随时间的变化
随着射流速度增大,火焰保持稳定的转捩状态,如图 6c所示,微重力和常重力下hf分别基于某一轴向位置上下波动,但微重力下由于无浮力对流的影响,hf波动的范围较窄。此情况下火焰形态和稳定行为主要受到火焰边缘与周围空气之间剪切层不稳定性及根部紊流的影响。
增大射流速度至Re=2 210时,可以看出微重力下hf波动的范围变宽,这表明火焰边缘剪切层不稳定性增强; 同时,火焰表现出与文[13]相似的顶端脱离主体火焰的现象(见图 6d)。
当火焰进入转捩阶段后期,可以看出2种重力环境下hf的波动范围均大幅增加,常重力下为50~200 mm,微重力下为150~300 mm(见图 6e),对比可见常重力下的变化更为剧烈,这可能是因为此工况下发生了严重的部分火焰脱离主体火焰的现象,且常重力下脱离位置出现在火焰上游,而微重力下则出现在火焰的中下游[13]。由于转捩阶段后期射流可能发生了严重的间歇性破碎现象,因而流动、火焰及燃烧反应之间的耦合作用是引发该现象的主要原因。
Re增大至2 650时转捩阶段结束,射流间歇性破碎的现象消失,常重力下hf变化范围缩小,火焰分裂现象减弱,但微重力下hf变化加剧,可见火焰分裂更加严重(见图 6f)。此工况下,火焰根部降低到距喷口更近的位置,火焰边缘剪切层的不稳定性增强,又因为微重力下的hf远高于常重力下的,因此不稳定性发挥作用导致火焰的中下游发生分裂。
Re>2 650时,火焰进入湍流阶段。随着射流速度增大,一方面,火焰边缘的剪切层不稳定性加剧,促使火焰脱离位置向上游移动; 而另一方面,射流内部紊流的湍流度不断增强,其对火焰上游区域(即中心温度较低,局部湍流Re较大的位置)影响更大。李丹等[9]的研究表明,内部紊乱射流对火焰边缘剪切层不稳定性的影响具有一定抑制作用。这将导致火焰分裂位置向下游区域移动。微重力下的hf约为常重力下的2倍,火焰不稳定性得到进一步发展,因而hf波动的幅度更大(见图 6g6h)。进一步增大射流速度则微重力下hf变化的范围减小(见图 6i),这表明湍流强度较高的内部紊流有效抑制了火焰不稳定性的发展。
Idicheria等[17]针对常重力和微重力下湍流附着火焰特性的研究结果表明,常重力下火焰尖端附近的结构被拉长,且常出现火焰尖端脱离主体火焰的现象; 微重力下火焰尖端附近的结构更紧凑、更厚,分裂现象并不常见。然而对于推举火焰,本文的实验结果显示转捩和湍流火焰在微重力环境下发生了与常重力结果相似的严重分裂现象,这表明推举对火焰的稳定行为产生了重要影响。
不同Re条件下火焰发生分裂的周期分布如图 7所示,其中图 7a7b为常重力环境下的结果,图 7c7f为微重力环境下的结果。由图可知,不同工况下火焰的分裂周期均分布于0.008~0.125 s。微重力下火焰的分裂周期比常重力下的更分散,表明浮力对流能够有效增强火焰的不稳定性。Re=2 460时,火焰的分裂频率约为20 Hz(见图 7a),与层流附着火焰发生振荡或闪烁的频率(15~20 Hz [4, 18-19]) 一致。随着射流速度增加,微重力和常重力下火焰分裂的随机性均增加,这可能是内部紊乱射流脉动的不规则性破坏(或抑制)了火焰不稳定性的发展。
图 7 不同Re条件下微重力和常重力火焰分裂周期的分布
通过加权平均计算不同工况条件下火焰的平均分裂频率,结果如表 1所示。由表可知,Re=2 460时(转捩阶段),微重力火焰的平均分裂频率大于常重力火焰,虽然此条件下火焰分裂主要由间歇性破碎的射流控制,但由于微重力下的hf较大,火焰边缘剪切层不稳定性的发展也更为充分。Re>2 650时,推举火焰进入湍流阶段,火焰分裂现象主要受到火焰边缘剪切层不稳定性和中心湍流的影响,微重力下火焰平均分裂频率相对较低,表明浮力对流对火焰分裂具有促进作用,随着Re的增大,微重力下火焰平均分裂频率增大。
表 1 不同工况条件下射流火焰的平均分裂频率、StFr
Re 重力环境 平均分裂频率/Hz Fr/105 St/103
2 460 常重力 20.1 0.24 1.31
2 650 常重力 23.3 0.27 1.42
2 460 微重力 22.2 2 319 1.44
2 650 微重力 16.4 2 691 1.00
2 940 微重力 19.7 3 312 1.08
3 190 微重力 23.8 3 887 1.22
分裂行为引起火焰振荡,在常重力环境下,无量纲的振荡频率(用Strouhal数St表示)与射流Froude数(Fr)的倒数之间存在非线性关系[20]StFr的计算方式为
$S t=\frac{f d}{U_{\mathrm{f}}}, $
$F r=\frac{U_{\mathrm{f}}}{g d} .$
其中:f为火焰振荡频率; d为喷嘴内径; g为重力加速度,常重力下为9.8 m/s2,微重力下为1×10-3 m/s2。由此计算得到不同工况条件下射流火焰的StFr表 1所示。由表可知,2种重力条件下Fr的数值差距较大,但St差异很小,StFr之间不存在明显的关联。这表明除了受到浮力的影响,推举火焰的动态行为还会受到射流流态和剪切层不稳定性发展等的共同作用,Fr不能关联微重力火焰的分裂/振荡频率。

3 结论

本文在落塔微重力环境下开展了推举射流扩散火焰向湍流的转捩过程实验,分析了微重力下转捩过程中火焰推举高度、火焰高度、火焰分裂周期和火焰平均分裂频率的变化; 观测了微重力下推举扩散火焰的稳定行为,并与常重力下的实验结果进行对比,分析浮力对火焰稳定特性的影响。主要结论如下:
1) 转捩阶段射流出现间歇性破碎现象,导致推举高度发生波动。尽管微重力下推举高度较低,推举高度波动的控制机制与常重力火焰相似。
2) 转捩火焰和湍流火焰均发生分裂现象,由此导致火焰振荡,火焰高度随时间产生变化。由于微重力下火焰高度远大于常重力火焰,火焰边缘不稳定性向下游区域的发展较为充分,因此火焰高度变化的范围更大。
3) 火焰分裂现象具有明显的随机性。浮力对火焰分裂具有促进作用。此外,射流Froude数不能关联微重力火焰的分裂/振荡频率。
1
KIMURA I . Stability of laminar-jet flames[J]. Symposium (International) on Combustion, 1965, 10 (1): 1295- 1300.

DOI

2
CHAMBERLIN D S , ROSE A . The flicker of luminous flames[J]. Industrial & Engineering Chemistry, 1928, 20 (10): 1013- 1016.

3
KATTA V R , ROQUEMORE W M . Role of inner and outer structures in transitional jet diffusion flame[J]. Combustion and Flame, 1993, 92 (3): 274- 278.

DOI

4
DUROX D , YUAN T , VILLERMAUX E . The effect of buoyancy on flickering in diffusion flames[J]. Combustion Science and Technology, 1997, 124 (1-6): 277- 294.

DOI

5
葛逸飞. 甲烷/氧气同轴射流层流高压燃烧扩散火焰稳定特性研究[D]. 北京: 中国科学院力学研究所, 2019.

GE Y F. A study on the instability of methane/oxygen laminar co-flowing jet diffusion flame at elevated pressure[D]. Beijing: Institute of Mechanics, Chinese Academy of Sciences, 2019. (in Chinese)

6
DELICHATSIOS M A . Transition from momentum to buoyancy-controlled turbulent jet diffusion flames and flame height relationships[J]. Combustion and Flame, 1993, 92 (4): 349- 364.

DOI

7
WESTBROOK C K , MIZOBUCHI Y , POINSOT T J , et al. Computational combustion[J]. Proceedings of the Combustion Institute, 2005, 30 (1): 125- 157.

DOI

8
WON S H , CHUNG S H , CHA M S , et al. Lifted flame stabilization in developing and developed regions of coflow jets for highly diluted propane[J]. Proceedings of the Combustion Institute, 2000, 28 (2): 2093- 2099.

DOI

9
李丹, 王双峰. 浮力效应对射流扩散火焰转捩特性影响的实验研究[J]. 空间科学学报, 2018, 38 (2): 227- 233.

LI D , WANG S F . Experimental study of buoyancy effect on transitional jet diffusion flames[J]. Chinese Journal of Space Science, 2018, 38 (2): 227- 233.

10
LAWN C J . Lifted flames on fuel jets in co-flowing air[J]. Progress in Energy and Combustion Science, 2009, 35 (1): 1- 30.

DOI

11
LYONS K M . Toward an understanding of the stabilization mechanisms of lifted turbulent jet flames: Experiments[J]. Progress in Energy and Combustion Science, 2007, 33 (2): 211- 231.

DOI

12
WANG Q , HU L H , WANG S M , et al. Blowout of non-premixed turbulent jet flames with coflow under microgravity condition[J]. Combustion and Flame, 2019, 210, 315- 323.

DOI

13
LI D , WEN Y Z , LIU Y C , et al. On the transition modes and mechanisms for laminar to turbulent lifted jet diffusion flames at normal- and micro-gravity[J]. Combustion and Flame, 2024, 260, 113269.

DOI

14
LI D , LIU Y C , ZHANG Y , et al. Stabilization characteristics of transitional and weakly turbulent lifted jet diffusion flames[J]. Combustion Science and Technology, 2023,

DOI

15
BAHADORI M Y, STOCKER D P, VAUGHAN D F, et al. Effects of buoyancy on laminar, transitional, and turbulent gas jet diffusion flames[M]//WILLIAMS F A, OPPENHEIM A K, OLFE D B, et al. Modern Developments in Energy, Combustion and Spectroscopy: In Honor of S. S. Penner. New York, USA: Pergamon Press, 1993: 49-66.

16
LIN K C , FAETH G M , SUNDERLAND P B , et al. Shapes of nonbuoyant round luminous hydrocarbon/air laminar jet diffusion flames[J]. Combustion and Flame, 1999, 116 (3): 415- 431.

DOI

17
IDICHERIA C A , BOXX I G , CLEMENS N T . Characteristics of turbulent nonpremixed jet flames under normal- and low-gravity conditions[J]. Combustion and Flame, 2004, 138 (4): 384- 400.

DOI

18
LINGENS A , REEKER M , SCHREIBER M . Instability of buoyant diffusion flames[J]. Experiments in Fluids, 1996, 20 (4): 241- 248.

DOI

19
BAHADORI M Y , ZHOU L , STOCKER D P , et al. Functional dependence of flame flicker on gravitational level[J]. AIAA Journal, 2001, 39 (7): 1404- 1406.

DOI

20
HAMINS A , YANG J C , KASHIWAGI T . An experimental investigation of the pulsation frequency of flames[J]. Symposium (International) on Combustion, 1992, 24 (1): 1695- 1702.

DOI

文章导航

/