1 颠簸运动中流体过程的理论分析
1.1 正弦路面及颠簸运动定义
1.2 颠簸运动下冷却回路的理论模型
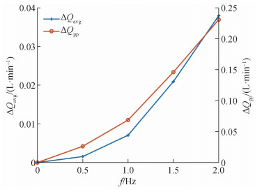
1.3 等效回路驱动力对冷却回路流量的影响分析
2 颠簸运动下轮毂电机液体冷却系统的热-流耦合分析
2.1 电动汽车中轮毂电机的液体冷却系统
2.2 一维流体冷却回路建模
2.3 轮毂电机水套的流体过程建模
2.4 轮毂电机内部的热过程建模
表 2 轮毂电机样机参数 |
| 参数 | 含义 | 数值 |
| Din/mm | 电机内径 | 224 |
| Dout/mm | 电机外径 | 300 |
| lef/mm | 有效长度 | 50 |
| PN/kW | 额定功率 | 3.91 |
| nN/(r·min-1) | 额定转速 | 300 |
| TN/Nm | 额定转矩 | 124.5 |
| IN/Arms | 额定电流 | 10.6 |
| pm | 极对数 | 32 |
| Qm | 槽数 | 72 |
2.5 轮毂电机的热-流耦合仿真分析
2.6 仿真结果
3 实验测试
3.1 轮毂电机的液体冷却系统
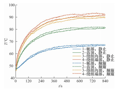
3.2 实验结果
表 3 轮毂电机内部温度仿真与实验结果对比 |
| 位置 | 平稳工况温度/℃ | 颠簸工况温度/℃ | |||
| 仿真 | 实验 | 仿真 | 实验 | ||
| 1-轭部 | 65.8 | 66.2 | 67.0 | 67.4 | |
| 2-齿顶 | 80.4 | 80.9 | 81.6 | 82.0 | |
| 3-绕组内部 | 88.8 | 89.5 | 90.0 | 90.6 | |
| 4-绕组端部 | 91.0 | 91.7 | 92.2 | 92.8 | |
