1 索穹顶结构模型
1.1 葵花型索穹顶结构模型
1.2 测量方式
1.3 索穹顶结构有限元模型
2 SMA控制单元
2.1 SMA钢丝
2.2 SMA钢丝束
2.2.1 钢丝束设计
2.2.2 钢丝束制作
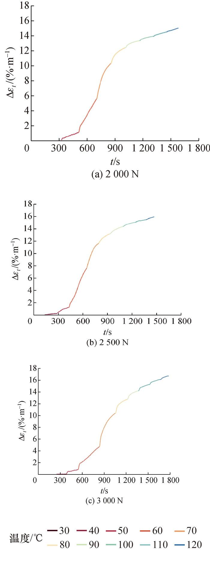
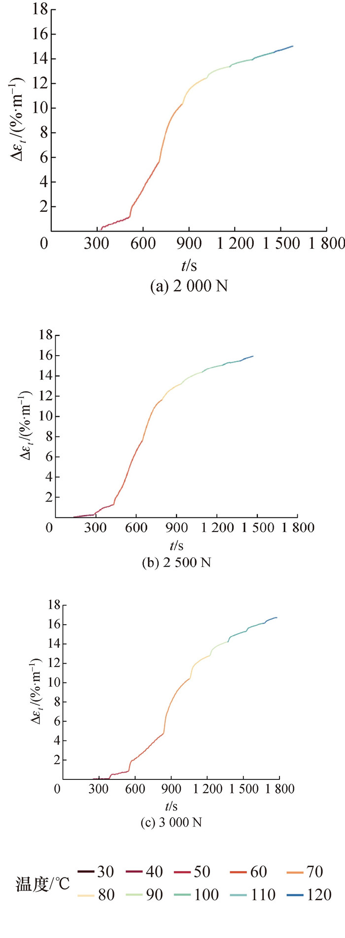
2.2.3 钢丝束性能试验
2.2.4 SMA-钢丝绳单元制作
3 索穹顶主动控制试验
3.1 试验模型
3.2 结果与分析
3.2.1 预应力态
表 1 施加预应力后各索的索力 |
| 控制方法对比 | 索单元 | 有限元 | 机械控制方法 | 相对误差/% | SMA控制方法 | 相对误差/% |
| 索力/N | WXS-1 | 2 152.31 | 2 187.44 | 1.63 | 2 075.00 | 3.59 |
| WXS-2 | 2 155.66 | 2 108.20 | 2.20 | 2 080.80 | 3.47 | |
| WJS-1 | 2 112.78 | 2 208.06 | 4.51 | 2 142.58 | 1.41 | |
| WJS-2 | 2 114.24 | 2 217.60 | 4.89 | 2 146.39 | 1.52 | |
| HS-1 | 2 478.47 | 2 446.40 | 1.29 | 2 478.80 | 0.01 | |
| HS-2 | 2 476.72 | 2 354.93 | 4.92 | 2 394.00 | 3.34 | |
| NJS-1 | 1 239.65 | 1 254.07 | 1.16 | 1 284.72 | 3.64 | |
| NJS-2 | 1 241.48 | 1 216.78 | 1.99 | 1 164.15 | 6.23 | |
| NXS-1 | 1 229.53 | 1 227.20 | 0.19 | 1 155.60 | 6.01 | |
| NXS-2 | 1 226.72 | 1 197.78 | 2.36 | 1 162.22 | 5.26 |
3.2.2 荷载态
表 2 施加均布荷载后各索的索力和各节点的位移 |
| 控制方法对比 | 索单元 | 有限元 | 机械控制方法 | 相对误差/% | SMA控制方法 | 相对误差/% |
| 索力/N | WXS-1 | 2 438.41 | 2 304.96 | 5.47 | 2 405.64 | 1.34 |
| WXS-2 | 2 441.84 | 2 343.20 | 4.04 | 2 419.05 | 0.93 | |
| WJS-1 | 1 773.46 | 1 855.97 | 4.65 | 1 642.89 | 7.36 | |
| WJS-2 | 1 775.58 | 1 873.42 | 5.51 | 1 611.85 | 9.22 | |
| HS-1 | 2 807.23 | 2 689.20 | 4.20 | 2 825.32 | 0.64 | |
| HS-2 | 2 804.95 | 2 721.80 | 2.96 | 2 769.23 | 1.27 | |
| NJS-1 | 1 137.58 | 1 184.57 | 4.13 | 1 189.53 | 4.57 | |
| NJS-2 | 1 140.11 | 1 229.39 | 7.83 | 1 084.53 | 4.87 | |
| NXS-1 | 935.78 | 972.40 | 3.91 | 883.10 | 5.63 | |
| NXS-2 | 933.06 | 936.67 | 0.39 | 842.52 | 9.70 | |
| 位移/mm | 外圈节点 | 1.38 | 1.31 | 5.34 | 1.63 | 15.33 |
| 内圈节点 | 1.70 | 1.50 | 13.33 | 2.02 | 15.84 |
3.2.3 调控阶段
表 3 结构形态回复时节点位移和索力 |
| 控制方式 | 调整长度/mm | 节点位移/mm | 索力变化/% | ||||||
| 外节点 | 内节点 | 外斜索 | 外脊索 | 环索 | 内斜索 | 内脊索 | |||
| 机械控制 | -0.50 | 0.52 | 0.15 | 16.17 | 28.93 | 19.35 | 24.81 | 34.48 | |
| SMA控制 | -0.89 | 0.04 | -0.50 | 17.49 | 29.28 | 16.90 | 22.21 | 37.03 | |
| 有限元模拟 | -0.90 | 0.10 | -0.30 | 18.39 | 26.86 | 18.51 | 21.57 | 30.43 | |
