微重力燃烧

微重力条件下层流多元乙烯扩散火焰的数值模拟

  • 费腾 1, 2, 3 ,
  • 沈畅 2, 3 ,
  • 游小清 , 2, 3, *
展开
  • 1. 清华大学 未央书院, 北京 100084
  • 2. 清华大学 能源与动力工程系, 燃烧能源中心, 北京 100084
  • 3. 清华大学 热科学与动力工程教育部重点实验室, 北京 100084
游小清,副教授,E-mail:

费腾(2002—),男,本科生

收稿日期: 2024-04-29

  网络出版日期: 2025-08-30

基金资助

国家重点研发计划项目(2021YFA0716204)

版权

版权所有,未经授权,不得转载。

Numerical simulation of laminar multi-element ethylene diffusion flames under microgravity

  • Teng FEI 1, 2, 3 ,
  • Chang SHEN 2, 3 ,
  • Xiaoqing YOU , 2, 3, *
Expand
  • 1. Weiyang College, Tsinghua University, Beijing 100084, China
  • 2. Center for Combustion Energy, Department of Energy and Power Engineering, Tsinghua University, Beijing 100084, China
  • 3. Key Laboratory for Thermal Science and Power Engineering of the Ministry of Education, Tsinghua University, Beijing 100084, China

Received date: 2024-04-29

  Online published: 2025-08-30

Copyright

All rights reserved. Unauthorized reproduction is prohibited.

摘要

微重力与常重力条件下的燃烧现象存在显著差异。深入研究微重力条件下的扩散火焰结构,对于丰富燃烧理论,促进航天工程等领域的发展具有重要意义。该文采用数值模拟手段,研究了多元扩散燃烧器下的乙烯/氧气/氩气火焰的结构特征,设计了3组计算工况分别研究重力、压力及氧气体积分数对火焰结构的影响机制。结果表明,该多元扩散火焰的形态与燃料当量比和压力相关,在常压及富燃条件下形成双层火焰,内层与外层分别由乙烯和一氧化碳的燃烧产生。随着重力加速度由9.8 m/s2降至0,火焰的高度升高、宽度变宽、温度降低。随着压力由50 kPa升至500 kPa,火焰高度降低且形态发生变化,同时火焰温度在常重力和微重力条件下分别升高了590和80 K。随着氧气体积分数由1.00降至0.50,火焰高度升高,火焰由分离火焰转变为双层火焰,同时火焰温度在常重力和微重力条件下分别降低约250和600 K。

本文引用格式

费腾 , 沈畅 , 游小清 . 微重力条件下层流多元乙烯扩散火焰的数值模拟[J]. 清华大学学报(自然科学版), 2025 , 65(9) : 1684 -1694 . DOI: 10.16511/j.cnki.qhdxxb.2024.27.028

Abstract

Objective: Currently, multi-element diffusion flames find applications in flame synthesis, combustion mechanism studies, and aerospace engine design. Therefore, investigating the characteristics of multi-element diffusion flames under both terrestrial gravity and microgravity conditions is crucial. In this study, numerical simulation methods are used to investigate the structural characteristics of ethylene-oxygen multielement laminar diffusion flames and the effects of pressure and oxygen volume fraction on the flame structure under both terrestrial gravity and microgravity conditions. Methods: This study was conducted using ANSYS Fluent software. First, a geometric model of the multi-element combustion chamber was constructed. The selected computational model included solving flow using a laminar model, diffusion using Fick's law, chemical reactions using a finite rate model, and radiation using a discrete ordinates model. Grid independence verification was performed, with 600, 000 grids chosen for calculations eventually. After the computational model was established, three sets of operating conditions were designed to study variations in flame behavior under different gravitational accelerations (0-9.8 m/s2), pressures (50-500 kPa), and oxygen volume fractions (0.25-1.00). The flame height obtained from the numerical simulation differed by less than 10% from the experimental results; thus, our method was considered to provide reliable results. Results: The results indicated that the flame had a double-layer structure. With decreasing gravity, because of the inhibition of buoyancy, the flame height increased from 7.3 to 12.8 mm, whereas the flame temperature decreased by 300 K. With increasing pressure, both the outer flame height and width decreased. At normal gravity, the temperature increased by 590 K, whereas it increased by only 80 K at microgravity. At 500 kPa pressure, the normal gravity fire separated, changing from a closed-tip flame to an open-tip flame at microgravity. As the volume fraction of oxygen decreased from 1.00, the flame height gradually increased. When it reached 0.50, the flame changed from a single flame to a double-layer one. Under normal gravity conditions, the flame temperature decreased by about 250 K, whereas it decreased by 600 K under microgravity conditions. Conclusions: The multi-element diffusion flame exhibited a double-layer structure under atmospheric pressure and fuel-rich conditions, with the inner and outer flames generated by the combustion of ethylene and CO, respectively. Meanwhile, modifications in pressure or oxygen volume fractions could change the shape from double-layer fire to separate flames or open-tip flame. The microgravity conditions enhanced the role of radiative heat transfer, leading to a significant decrease in flame temperature and eliminating convective mass transfer caused by buoyancy, thus increasing the flame height and width. Increasing pressure accelerated the reaction rate, increased the flame temperature, and reduced the flame height and width. Under microgravity conditions, increasing pressure enhanced the radiative heat transfer and lowered the flame tip temperature. Reducing the oxygen volume fraction reduced the flame temperature, increased the flame height, and converted the flame from separate flames to a double-layer flame, which was more susceptible to radiative effects and had a particularly low flame temperature in microgravity.

扩散火焰存在于大多数的工业燃烧器中,依据燃烧器喷口的Reynolds数大小可分为层流与湍流扩散火焰,其中加强对层流扩散火焰结构的认识有利于丰富流场与反应间相互作用的研究,并为研究工业燃烧器中的湍流扩散火焰提供一定参考[1]。研究层流扩散火焰结构时,重力作为不可忽视的影响因素之一,可能影响火焰的形态和碳烟生成特性。研究微重力条件下的火焰,对于阐释燃烧学基础问题,如火焰传播、碳烟生成机理及液滴燃烧特性等,具有重要意义[2-5]
微重力条件下的扩散火焰研究已积累了不少实验成果。文[6-8]表明,微重力条件下的层流扩散火焰比常重力条件下的更高且更宽。Lin等[8]通过多组实验对比发现微重力条件下同轴射流扩散火焰的长度仅与燃料质量流率有关,而与压力和燃料喷口直径无关; 火焰宽度仅与燃料喷口直径有关,与另两者无关。Contreras等[9]利用抛物线飞行实验研究了燃料、氧化剂流速与氧气指数对层流边界层扩散火焰在微重力条件下的火焰形状和碳烟浓度的影响,发现随氧气指数的增加,火焰温度显著增加,碳烟峰值浓度先减小后增加; 而随着燃料与氧化剂流速的增加,火焰长度明显增加。
微重力实验通常成本昂贵且操作条件严苛[10],而数值模拟方法在研究微重力火焰方面表现出成本更低且更方便进行参数化研究的优势。Charest等[11-12]分别针对甲烷/空气和乙烯/空气同轴射流扩散火焰进行了常重力和微重力条件下的数值模拟,发现在微重力条件下火焰温度更低,碳烟浓度更高; 随着压力的增大,微重力条件下火焰的高度明显升高。远洪亮等[13]研究了重力对甲烷/空气同轴射流扩散火焰中碳烟的影响,发现微重力条件下的火焰温度更低,碳烟峰值浓度增加至常重力条件下的2倍,同时碳烟生成位置向火焰外侧移动。Bhowal等[14]通过瞬态模拟研究发现微重力条件下火焰温度与碳烟浓度达到稳定所需的时间比常重力与0.5倍重力下长得多,且碳烟的表面生长与凝并更加剧烈。Dobbins等[15]结合实验与模拟方法研究发现,虽然重力对2种不同尺寸燃烧器中火焰的形状及温度的影响规律相似,但对尺寸较大燃烧器中火焰的影响更为显著。
现有微重力条件下的扩散火焰的数值模拟多以同轴射流扩散火焰为研究对象,这种火焰结构与工业燃烧器中的火焰结构存在较大差别。近年来,多元扩散燃烧器因能提供高度均匀、稳定、近似绝热的燃烧条件被应用于火焰传播、火焰合成及煤颗粒燃烧等研究中[16-20],此外在航天发动机的设计中也有所应用[21, 22],因此模拟多元扩散火焰在微重力条件下的特性具有重要意义。
本文以乙烯/氧气/氩气火焰为例,建立了多元扩散燃烧器的计算模型,通过数值模拟研究多元层流扩散火焰在不同重力条件下的结构区别,并比较压力、氧气体积分数2种因素在微重力和常重力条件下对该多元扩散火焰结构的影响,同时分析其与同轴扩散火焰变化规律的异同。

1 计算模型与方法

1.1 燃烧器几何结构与工作条件

本文研究一种多元扩散燃烧器产生的乙烯层流扩散火焰。燃烧器气体出口截面的几何结构如图 1所示,由图可知,中心分布7根乙烯燃料管道,内径为1.5 mm,外径为2.5 mm; 管道两两间距为4 mm; 氧气经由乙烯管道周围内径为12 mm的通道通入,在出口处设有多孔塞使其出流速度均匀分布; 燃烧器整体被外径40 mm的圆筒形支撑结构固定。由于燃料管道的正六边形分布,燃烧器整体分别对称于2个夹角为30°的面,如图中虚线所示,一个对称面穿过乙烯管道中心,由于其平行于x-z平面,后续简称为x-z对称面; 另一个对称面则穿过两管道间的空隙。
图 1 燃烧器气体出口截面的几何结构
在所有工况下,气体流量均为标况(压力为101 325 Pa,温度为298 K),环境温度保持为300 K,重力加速度g分别设置为0(微重力条件)、2.0、5.0、9.8(常重力条件)m/s2,环境压力pa设置为50、100、200、500 kPa。此外,为了研究氧气体积分数对火焰的影响,将氧气在通入前与氩气按照一定比例混合,使得氧气的体积分数φO2在0.25~ 1.00范围内变化。在研究重力与压力影响时,乙烯的总流量Qf为100 mL/min,氧气和氩气的总流量Qox为240 mL/min,在标准状况下乙烯和氧气的平均流速分别为13.5和5.1 cm/s,该条件下的Reynolds数远远小于湍流转捩值,因此火焰均为层流扩散火焰; 研究φO2的影响时,将Qf降至50 mL/min,其余条件保持不变。各工况汇总于表 1中。
表 1 计算工况汇总
组别 Qf/(mL·min-1) Qox/(mL·min-1) g/(m/s2) pa/kPa φO2
100 240 9.8、5.0、2.0、0 100 1.00
100 240 9.8、0 50、200、500 1.00
50 240 9.8、0 100 0.25、0.50、
0.75、1.00

1.2 计算域与边界条件

根据燃烧器结构的对称性,截取图 1中2条虚线间30°扇形区域进行建模,如图 2a所示。其中红色区域表示燃料出口,蓝色区域表示氧气和氩气出口,灰色区域表示无滑移壁面(包括乙烯管道与外围固定器部分)。由此得到的计算结果基于2个对称面进行对称后即可得到完整的火焰形貌。
图 2 燃烧器计算域及网格
此外,为了在竖直方向得到完整的火焰信息,计算域的高度设为80 mm。计算域正视图如图 2b所示,各边界条件已标出,其中压力入口与出口的环境气设为空气以模拟空气气氛中的燃烧(假设火焰半径小于20 mm,边界处只有空气组分); 乙烯出口流速设为充分发展的管道流动,即流速仅与管道中心距离有关,沿径向呈抛物面形分布; 氧气出口流速设为均匀分布。所有气体的初始温度设为300 K,壁面设为绝热黑体。
使用ANSYS ICEM CFD工具进行网格划分,如图 2b2c所示,对燃烧器出口附近区域进行加密处理,以便更准确地计算燃料与氧气的混合燃烧过程。

1.3 数值模型与方法

求解的控制方程包括连续性方程、动量方程、能量方程和传质方程。
所有气体组分简化为不可压缩理想气体,混合气体的密度ρ按照如下公式计算:
$\begin{equation*}\rho=\frac{p}{R_{\mathrm{u}} T \sum\limits_{i=1}^{n} Y_{i} / W_{i}} . \end{equation*}$
其中: p表示混合气体的压力,YiWi分别表示气体i的质量分数和摩尔质量,n表示气体种类总数,T表示气体温度(本文中与火焰温度含义相同),Ru表示通用气体常数。
辐射换热使用离散坐标(discrete ordinate, DO)模型计算[23]。混合气体的吸收系数使用灰气加权求和模型(weighted-sum-of-gray-gases model, WSGGM)计算,即将所有能够吸收辐射的气体都简化为灰气,在一段距离s内的混合气体总发射率ε近似为所有不同种类灰气发射率的加权总和。
$\begin{equation*}\varepsilon=\sum\limits_{i=0}^{n} a_{i}(T)\left[1-\exp \left(-\kappa_{i} p s\right)\right] . \end{equation*}$
其中:ai代表气体i的发射率权重,κi为气体i的吸收系数。由于在碳氢燃料火焰中,气体辐射受CO2和H2 O主导[24],因此式(2)中仅考虑CO2和H2O,对应aiκi参考文[24-25]进行取值。
针对物质扩散过程,扩散通量使用Fick扩散定律进行计算。
$\begin{equation*}\boldsymbol{J}_{i}=-\rho D_{i} \nabla Y_{i} . \end{equation*}$
其中:Ji表示气体i的扩散通量,Di表示其质量扩散率。化学反应速率使用有限速率模型(finite-rate model)计算,即对于反应n,其化学反应式及参与该反应的气体i的反应速率$\hat{R}_{i, n}$计算式如下:
$\begin{gather*}\sum\limits_{i=1}^{n} \nu_{i, n}^{\prime} M_{i} \xrightarrow{k_{\mathrm{f}, n}} \sum\limits_{i=1}^{n} \nu_{i, n}^{\prime \prime} M_{i}, \end{gather*}$
$\begin{gather*}\hat{R}_{i, n}=\varGamma\left(\nu_{i, n}^{\prime \prime}-\nu_{i, n}^{\prime}\right) k_{\mathrm{f}, n} \prod\limits_{j=1}^{N}\left(C_{j, n}\right)^{\eta_{j, n}^{\prime}} . \end{gather*}$
其中:$\nu_{i, n}^{\prime}$ 和$\nu_{i, n}^{\prime \prime}$分别表示反应物与产物的化学计量数,Mi表示气体i的化学式,kf, n表示反应速率常数,Cj, n表示气体j的物质的量浓度(单位为kmol/m3),ηj, n表示反应物的速率指数,Γ则为第三体的净影响因子。kf, n使用Arrhenius公式计算如下:
$\begin{equation*}k_{\mathrm{f}, n}=A_{n} T^{\beta_{n}} \exp \left(-E_{n} / R_{\mathrm{u}} T\right) . \end{equation*}$
其中:An表示指前因子,βn表示温度指数,En表示反应活化能,三者均为常量。
本文对乙烯燃烧过程的模拟使用了Zettervall等[26]的乙烯骨架燃烧机理,其包含23种参与反应的物质和66步基元反应,式(6)中的常量及Γ的取值均参考文[26]。该机理是由Aramco 2.0机理[27]简化得到,计算所用到的各气体热力学及动力学参数取值均参考文[27]。
利用ANSYS Fluent 22.0软件进行数值模拟。控制方程使用有限体积法离散,其中连续性方程采用二阶格式,其余方程采用二阶迎风格式; 使用Coupled算法对压力与速度场耦合求解。

1.4 网格无关性验证

考虑第Ⅰ组中g=9.8 m/s2时的工况(见表 1),设置网格数分别为30万、60万和120万个,绘制不同网格数条件下中轴线上的火焰温度T随着距燃烧器高度(height above burner, HAB)的变化曲线,结果如图 3所示。由图可知,网格数为30万个时的T明显偏低,而在60万和120万个时的结果几乎一致,因此选择采用60万个网格进行数值模拟,以节省计算资源。
图 3 不同网格数下中轴线上的火焰温度分布

1.5 火焰轮廓计算方法

为了定量比较不同工况下的火焰形状,本研究使用混合分数Z来表征火焰形状。具体而言,定义Z等于化学当量值的位置为火焰轮廓。
对于乙烯燃烧,使用Bilger[28]提出的方法(见式(7))对Z进行计算,并在此基础上获得当乙烯与氧气按照化学当量比混合时的计算式(见式(8))。
$\begin{gather*}Z=\frac{\frac{1}{2} Y_{\mathrm{C}} / M_{\mathrm{C}}+\frac{1}{4} Y_{\mathrm{H}} / M_{\mathrm{H}}+\frac{1}{3}\left(Y_{\mathrm{O}, 2}-Y_{\mathrm{O}}\right) / M_{\mathrm{O}}}{\frac{1}{2} Y_{\mathrm{C}, 1} / M_{\mathrm{C}}+\frac{1}{4} Y_{\mathrm{H}, 1} / M_{\mathrm{H}}+\frac{1}{3} Y_{\mathrm{O}, 2} / M_{\mathrm{O}}} ,\end{gather*}$
$\begin{gather*}Z_{\mathrm{st}}=\frac{Y_{\mathrm{O}, 2} / M_{\mathrm{O}}}{\frac{1}{2} Y_{\mathrm{C}, 1} / M_{\mathrm{C}}+\frac{1}{4} Y_{\mathrm{H}, 1} / M_{\mathrm{H}}+\frac{1}{3} Y_{\mathrm{O}, 2} / M_{\mathrm{O}}} .\end{gather*}$
其中:YCYHYO分别表示计算域内碳、氢、氧元素的质量分数,MCMHMO表示3个元素的摩尔质量; YO, 2YC, 1YH, 1分别表示氧气出口处的氧元素、燃料出口处的碳元素和氢元素的质量分数。

1.6 实验验证

为衡量计算结果准确性,选取表 1中的2种工况:第Ⅰ组中g=9.8 m/s2φO2=1.00; 第Ⅲ组中g=9.8 m/s2, φO2=0.50进行实验,使用游标卡尺测量发光火焰在中轴线上最高点位置hex,并将其与模拟得到的相应值hf进行比较,结果如表 2所示。由表可知,实验值与计算值的误差绝对值小于10%,可以认为该数值模型较好地模拟了发光火焰的高度值。
表 2 实验与模拟结果对比
工况 hex/mm hf/mm 误差绝对值
第Ⅰ组中g=9.8 m/s2φO2=1.00 8.0 7.3 8.8%
第Ⅲ组中g=9.8 m/s2φO2=0.50 9.0 9.3 3.3%

2 计算结果与讨论

2.1 重力的影响

为研究重力对火焰形态的影响,计算了表 1中第Ⅰ组工况,即重力加速度g=0, 2.0, 5.0, 9.8 m/s2情况下的火焰,并绘制了对应的x-z对称面上的火焰轮廓,如图 4所示,其中r表示火焰的径向位置坐标。由图可知,该多元扩散燃烧器的火焰由内、外2层构成; 随着g增加,外层火焰高度由12.8 mm降低至7.3 mm,火焰宽度变窄,而内层火焰的形态变化不明显。
图 4 不同重力下的火焰轮廓
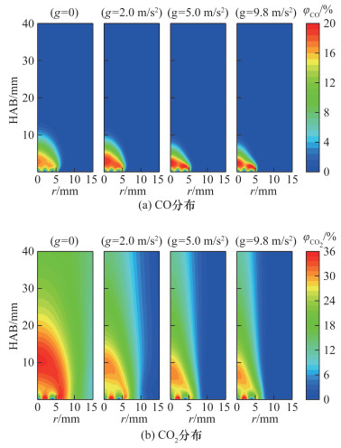
为了探明双层火焰的形成机制,总结了不同重力条件下CO和CO2体积分数(φCOφCO2)的分布,如图 5所示。由图可知,CO主要分布在内、外层火焰之间,随着HAB的增加,φCO整体呈现先增大后减小的趋势; CO2则集中在内、外层火焰处生成,在2层火焰之间的φCO2偏低。这表明火焰内的反应分为3个阶段:乙烯与氧气首先混合反应生成CO和部分CO2,形成内层火焰; 在2层火焰之间,CO2受高温影响被碳氢中间产物还原为CO; 最后CO遇空气反应生成CO2,形成外层火焰。
图 5 不同重力下CO和CO2体积分数的分布
不同重力条件下,Tx-z对称面上的分布如图 6所示,由图可知,当g由0增加至9.8 m/s2时,火焰峰值温度升高300 K,水平方向上火焰宽度逐渐减小,火焰峰值温度的位置也从火焰根部转移至顶部。T在水平截面上的分布如图 7所示,以HAB为1 mm和5 mm这2个截面为例,由图 7a可知,内层火焰在氧气出口上方形成,使得HAB=1 mm处氧气出口处T比燃料出口处高; 图 7b则表明,随着HAB的增加,火焰逐渐发展为近似轴对称的形态。
图 6 不同重力下火焰温度在x-z对称面上的分布
图 7 不同重力下火焰温度在水平截面上的分布
由于OH自由基(·OH)是引发碳氢化合物中间体反应与CO氧化过程的关键组分之一[26],因此本研究选择使用·OH物质的量浓度c(·OH)表示火焰的燃烧速率,其分布如图 8所示。由图可知,燃烧反应最剧烈的区域位于火焰根部,即乙烯与氧气直接发生混合的位置; 随着g的增加,外层火焰的c(·OH)增加,反应速率增加,这与图 7Tg增加而升高的规律相符。
图 8 不同重力下c(·OH)分布
为了进一步分析g的改变对T和停留时间的影响,绘制了中轴线上的T与气体轴向速度vz随HAB的变化曲线,如图 9所示。微重力条件下的辐射热交换的影响变得更加显著,气体温度在达到峰值后的下降梯度增大(见图 9a),这是由于重力的存在使高温气体受到浮力作用加速上升,g越大则气体的上升速度越快,导致停留时间缩短(见图 9b),加速了燃料与空气的混合过程,从而加快反应速率,使外层火焰高度降低,宽度减小。此外,图 9ag=0曲线的温度峰值在HAB=4.5 mm处,明显低于火焰高度,结合图 8可发现,重力存在时浮力使火焰收缩、对流传质增强,从而提高了反应速率,而微重力条件下由于停留时间的增长,辐射换热量增加,同时反应速率的降低使得放热速率减小,因此中心温度的峰值位置明显向底端移动[11]
图 9 不同重力下火焰中心温度和气体轴向速度分布
为了进一步探究重力影响火焰结构的机制,图 10绘制了x-z对称面上气体径向速度vr的分布。图中蓝色区域表示气体径向向内流动,代表火焰外的回流区。比较4种重力情况可以发现,随着浮力和vz的增大,火焰周围的回流区越来越靠近中心,回流速度也逐渐增加,一方面在水平方向压缩了火焰,使其宽度减小; 另一方面增加了燃料与周围空气的混合,加快了燃烧速率。火焰在水平方向上的压缩同样出现在了同轴射流扩散火焰中[11, 29],这也表明重力的作用本质上是通过改变浮力从而对流场产生影响。
图 10 不同重力下气体径向速度的分布
从以上分析可知,由于浮力的消失,微重力条件下的火焰在流场结构及反应速率等特性上与其他重力条件下存在较大差异。因此,在分析paφO2的影响时,选取微重力(g=0)及常重力(g=9.8 m/s2)这2种条件进行计算比较。

2.2 环境压力的影响

为了研究常重力与微重力条件下pa的改变对火焰形态的影响,计算了表 1中第Ⅱ组工况的乙烯火焰,并结合第一组工况的计算结果进行比较。利用Z所绘制的火焰轮廓如图 11所示。由图的右半侧可以看出,在常重力下外层火焰的高度由50 kPa时的10.0 mm降至200 kPa时的5.1 mm,内层火焰则由0.5 mm升至0.8 mm; 当pa升至500 kPa时火焰已不再具备双层结构,而是分离至每个乙烯出口的上方,其中心火焰高度为3.4 mm。这一规律与同轴射流扩散火焰的结果显著不同:在保持质量流量不变的条件下,后者的高度随pa增加而升高[12, 30]。水平方向上,外层火焰的宽度随着pa的增大而减小,这与同轴射流扩散火焰的结果类似:pa的增大加强了浮力的作用,使得火焰面被推向中心线,因此外层火焰的宽度减小[12, 31-32]
图 11 不同环境压力下的火焰轮廓
由图的左半侧可以看出,微重力条件下的外层火焰高度整体上比常重力条件下的明显升高。随着pa由50 kPa增至200 kPa,外层火焰高度由14.4 mm降至12.6 mm,宽度也有所减小。当pa增大至500 kPa时,计算发现火焰由尖端封闭转变为尖端开口,此时由于火焰轮廓在尖端处不连续,式(7)和(8)给出的火焰轮廓判定方法不再有效[28]
为了进一步研究火焰形态和反应速率随pa的变化规律,绘制了在常重力和微重力条件下的c(·OH) 的分布,如图 12所示。由图可知,不论是常重力还是微重力条件下,压力的增加使得各气体组分的物质的量浓度增加,火焰内的反应速率加快,因此火焰高度均随pa的增加而降低。从图 12a可见,在常重力条件下,随着pa增加,由于浮力作用的增强,在回流区将火焰进一步压缩,反应速率显著提高,因此常重力下火焰宽度也有明显下降。从图 12b可见,当pa增加至500 kPa时,微重力条件下·OH的分布区域在中轴线附近断开,这表明火焰由尖端封闭转变为尖端开口。与同轴射流扩散火焰类似,这一现象是由于高压条件下的气体出口流速减小,导致辐射换热量增加,沿流动方向的温度损失增加,因此在火焰面尖端反应速率降低乃至熄灭,发生开口的现象[2, 8]
图 12 不同环境压力下的c(·OH)分布
不同pa下火焰在x-z对称面上的温度分布如图 13所示。在常重力条件下,随着pa增大,火焰峰值温度从2 260 K提升至2 850 K,这是由于火焰内反应速率加快,放热量增加; 而在微重力条件下,一方面受辐射作用,火焰峰值温度明显低于常重力火焰; 另一方面火焰的峰值温度随pa的增大由2 080 K升至2 160 K,仅增加80 K。此外,在微重力条件下,随着pa增大,峰值的位置发生了明显的转移:由火焰中心处转移至根部及外侧,这是气体出口流速减小,反应区域整体降低导致的。
图 13 不同环境压力下的火焰温度分布
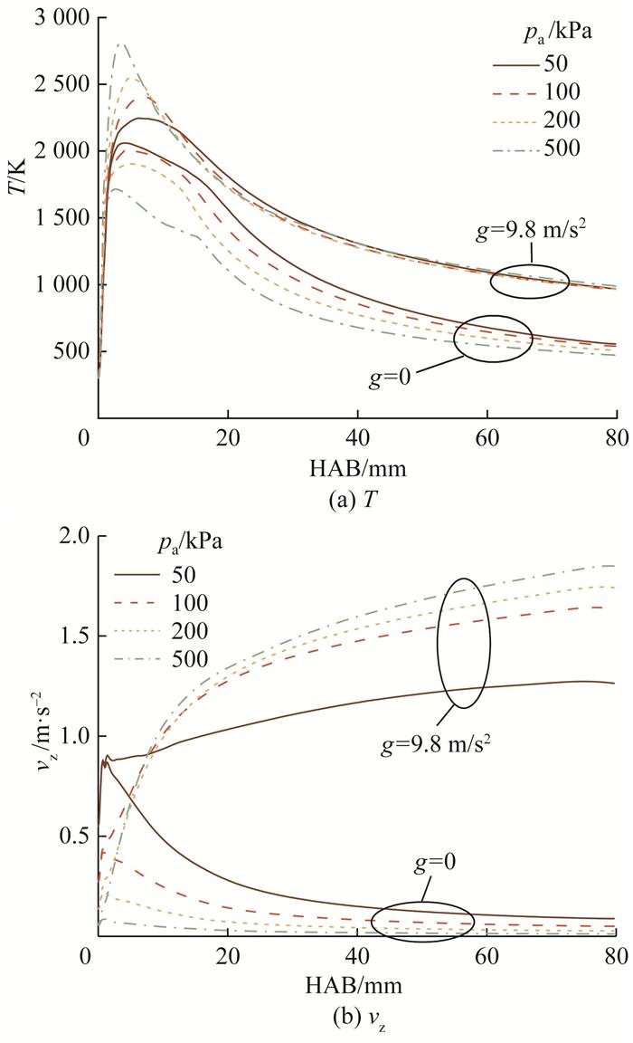
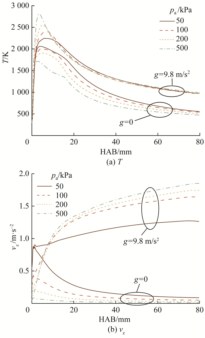
为了比较paT与停留时间的影响,绘制了不同gpa下的中心火焰温度和vz随HAB的变化曲线,如图 14所示。从图 14a可以看出,微重力条件下火焰的中心温度明显低于图 13中的峰值温度,这是反应区向边缘转移导致的。根据图 14b可知,气体的出口速度随着pa增大而不断减小,在微重力条件下,气体的停留时间增长,辐射换热量增加,使图 14aT降低[11, 12]。另一方面,常重力下气体受到的浮力与pa成正比,因此气体的停留时间随pa增大而减少,导致辐射散热量的影响减弱,温度下降梯度减小,但在常重力下辐射散热的影响很小,可以认为常重力下pa仅对火焰内温度产生影响。
图 14 不同环境压力下中轴线上火焰温度及气体轴向速度分布

2.3 氧气体积分数的影响

由于在微重力条件下,保持Qf为100 mL/min所产生的火焰超出了计算域的范围,即不满足1.2节中应用压力入口边界条件的假设,因此在研究φO2值对火焰形态的影响时将乙烯的流量调整为50 mL/min (表 1中第Ⅲ组工况),随后按照式(7)和(8)计算得到该工况下的4种火焰轮廓如图 15所示。由图可知,火焰高度整体上随φO2降低而升高,但按照φO2的不同火焰呈现2种主要形态:当φO2=0.75, 1.00时当量比小于1时为贫燃燃烧,火焰表现为分布在乙烯出口上的小火焰,此时g对火焰高度的影响很小,微重力情况下中心火焰的高度略微降低,而周围火焰的高度则略微升高; 当φO2=0.25, 0.50时当量比大于1时为富燃燃烧,此时火焰分为内、外2层,φO2=0.50时重力的消失使得外层火焰高度由9.3 mm升至16.9 mm。当φO2降低至0.25时,微重力火焰在水平方向超出计算域,因此舍弃该情况下的计算结果。
图 15 不同氧气体积分数下的火焰轮廓

(乙烯流量为50 mL/min)

为进一步研究反应速率的变化趋势,绘制了不同条件下c(·OH)的分布,如图 16所示。由图可知,当φO2为0.75和1.00时,·OH的分布区域集中于乙烯出口上方,当φO2为0.50时,·OH的分布区域则分为2层,这与火焰轮廓的形状一致。不论何种重力条件下,随着φO2增加,燃烧反应发生区域越来越集中,反应速率也相应增加。由常重力火焰变为微重力火焰时,双层火焰中的c(·OH)明显减小,而分离火焰中的c(·OH)几乎不变,这表明富燃火焰的反应速率随g的减小而减小,而贫燃火焰的反应速率则没有明显变化。
图 16 不同氧气体积分数下的c(·OH)分布
此外,绘制了不同φO2条件下的T分布,如图 17所示。由图可知,常重力条件下,火焰峰值温度随着φO2的增加而升高,从2 160 K逐渐升高至2 410 K,这是φO2升高使乙烯的反应速率加快导致的; 同样,微重力条件下T也随φO2的增加而升高,但从1 795 K升高至2 390 K,升高近600 K。在φO2相同时,常重力下的贫燃火焰的峰值温度高于微重力下的,差异小于10 K; 但当φO2=0.50时富燃火焰在微重力条件下的峰值温度比常重力条件下降低了360 K,其受g影响更显著。
图 17 不同氧气体积分数下的火焰温度分布
为比较不同φO2条件下辐射换热的影响,绘制了中心温度随HAB的变化曲线,如图 18所示。由图可知,自燃烧器出口起的一段距离内,由于乙烯与氧气迅速混合燃烧,火焰温度快速上升。此后,对于贫燃火焰,温度直接上升至峰值后开始下降,由于在火焰内的停留时间较短,因此辐射影响可忽略,峰值温度几乎相同; 对于富燃火焰,常重力条件下受浮力影响,高温气体自内层火焰流至外层火焰的时间较短,辐射换热量较小,相比之下,微重力火焰中高温气体停留时间显著增长,因此内、外层火焰之间的辐射换热量增加,同时反应速率减慢,导致温度在2层火焰间随着HAB的变化趋势在常重力条件下为升高,在微重力条件下为降低。这表明富燃火焰的双层结构受辐射影响更加显著,因此微重力条件对T的影响比常重力条件下的更显著。
图 18 不同氧气体积分数下中轴线上火焰温度分布

3 结论

本文通过数值模拟方法研究了不同重力条件下乙烯/氧气/氩气多元层流扩散火焰的结构差异,对比分析了微重力条件和常重力条件下,压力和氧气体积分数对火焰结构的影响。主要结论如下:
1) 该多元扩散火焰的形态与当量比和压力相关,常压及富燃火焰形成双层火焰,其中内、外层分别由乙烯、CO燃烧产生; 高压及贫燃火焰变为分离于燃料出口处的小火焰;
2) 微重力条件对火焰的影响主要包括2个方面:一是增加气体的停留时间,增强辐射换热的作用,使火焰温度显著降低; 二是消除浮力所产生的回流区,传质方式由对流为主变为扩散为主,使得火焰高度升高、宽度增加;
3) 在常重力条件下,压力的增大一方面增加了浮力作用,使得火焰高度降低,宽度减小; 另一方面也增加了反应各组分浓度,加快燃烧速率。而在微重力条件下,压力的增大使气体流速减小,反应区位置下降,且辐射的作用显著增强。当压力增至500 kPa时,由于尖端温度过低,火焰尖端发生开口;
4) 火焰高度随氧气体积分数减小而升高。贫燃火焰的结构与温度受重力影响较小; 富燃火焰的结构受辐射影响显著,在微重力条件下的火焰温度明显降低。
1
BILGER R W . Reaction rates in diffusion flames[J]. Combustion and Flame, 1977, 30, 277- 284.

DOI

2
ROSS H D . Microgravity combustion[M]. London: Academic Press, 2001.

3
王双峰, 朱凤, 卢占斌. 热厚材料表面的近极限火焰传播特性[J]. 燃烧科学与技术, 2016, 22 (5): 402- 407.

WANG S F , ZHU F , LU Z B . Near-limit flame spread over thick solid fuels[J]. Journal of Combustion Science and Technology, 2016, 22 (5): 402- 407.

4
YE S H , HAO M M , GUO H R , et al. A review of motivations, methods, and achievements on microgravity combustion research[J]. E3S Web of Conferences, 2021, 300, 01021.

DOI

5
孔文俊, 赵若霖, 袁志伟. 小尺度弱强度湍流燃烧地面匹配实验研究[J]. 中国空间科学技术, 2023, 43 (6): 51- 57.

KONG W J , ZHAO R L , YUAN Z W . Study on ground matching experiments for small-scale weak intensity turbulent combustion[J]. Chinese Space Science and Technology, 2023, 43 (6): 51- 57.

6
KAPLAN C R , ORAN E S , KAILASANATH K , et al. Gravitational effects on sooting diffusion flames[J]. Symposium (International) on Combustion, 1996, 26 (1): 1301- 1309.

DOI

7
SUNDERLAND P , MENDELSON B , YUAN Z , et al. Shapes of buoyant and nonbuoyant laminar jet diffusion flames[J]. Combustion and Flame, 1999, 116 (3): 376- 386.

DOI

8
LIN K , FAETH G , SUNDERLAND P , et al. Shapes of nonbuoyant round luminous hydrocarbon/air laminar jet diffusion flames[J]. Combustion and Flame, 1999, 116 (3): 415- 431.

DOI

9
CONTRERAS J , CONSALVI J L , FUENTES A . Oxygen index effect on the structure of a laminar boundary layer diffusion flame in a reduced gravity environment[J]. Proceedings of the Combustion Institute, 2017, 36 (2): 3237- 3245.

DOI

10
LAW C K , FAETH G M . Opportunities and challenges of combustion in microgravity[J]. Progress in Energy and Combustion Science, 1994, 20 (1): 65- 113.

DOI

11
CHAREST M R J , GROTH C P T , GÜLDER Ö L . Effects of gravity and pressure on laminar coflow methane-air diffusion flames at pressures from 1 to 60 atmospheres[J]. Combustion and Flame, 2011, 158 (5): 860- 875.

DOI

12
CHAREST M R J , GROTH C P T , GÜLDER Ö L . A numerical study on the effects of pressure and gravity in laminar ethylene diffusion flames[J]. Combustion and Flame, 2011, 158 (10): 1933- 1945.

DOI

13
YUAN H L , KONG W J . Soot formation in laminar diffusion flame under microgravityormalsize[J]. Chinese Journal of Space Science, 2018, 38 (4): 517- 523.

DOI

14
BHOWAL A J , MANDAL B K . A transient study on the development of temperature field and soot under reduced gravity in a methane air diffusion flame[J]. Microgravity Science and Technology, 2019, 31 (1): 13- 29.

DOI

15
DOBBINS R R , TINJERO J , SQUEO J , et al. A combined experimental and computational study of soot formation in normal and microgravity conditions[J]. Combustion Science and Technology, 2023, 195 (15): 3882- 3907.

DOI

16
WOOLDRIDGE M S , TOREK P V , DONOVAN M T , et al. An experimental investigation of gas-phase combustion synthesis of SiO2 nanoparticles using a multi-element diffusion flame burner[J]. Combustion and Flame, 2002, 131 (1-2): 98- 109.

DOI

17
PINCHAK M, OMBRELLO T, CARTER C, et al. Flame propagation enhancement of ethylene by addition of ozone[C]// Proceedings of the 51st AIAA Aerospace Sciences Meeting including the New Horizons Forum and Aerospace Exposition. Grapevine (Dallas/Ft. Worth Region), Texas, USA: American Institute of Aeronautics and Astronautics, 2013.

18
ADEOSUN A , HUANG Q , LI T X , et al. Characterization of a new Hencken burner with a transition from a reducing- to-oxidizing environment for fundamental coal studies[J]. Review of Scientific Instruments, 2018, 89 (2): 025109.

DOI

19
MENG Q H , BANYON C , KASTENGREN A L , et al. Experimental measurement of the rapid mixing of fuel and air in a multi-element diffusion (Hencken) burner[J]. Combustion and Flame, 2023, 251, 112686.

DOI

20
沈畅, 邵森, 郭祺峰, 等. 火焰合成凝聚相纳米材料调控技术的研究进展[J]. 清华大学学报(自然科学版), 2023, 63 (4): 546- 559.

DOI

SHEN C , SHAO S , GUO Q F , et al. Research progress on control technologies for flame synthesis of condensed-phase nanomaterials[J]. Journal of Tsinghua University (Science and Technology), 2023, 63 (4): 546- 559.

DOI

21
SILVESTRI S, CELANO M P, SCHLIEBEN G, et al. Characterization of a multi-injector GOx/CH4 combustion chamber[C]// Proceedings of the 52nd AIAA/SAE/ASEE Joint Propulsion Conference. Salt Lake City, UT, USA: American Institute of Aeronautics and Astronautics, 2016.

22
PERAKIS N , STRAUSS J , HAIDN O J . Heat flux evaluation in a multi-element CH4/O2 rocket combustor using an inverse heat transfer method[J]. International Journal of Heat and Mass Transfer, 2019, 142, 118425.

DOI

23
RAITHBY G D , CHUI E H . A finite-volume method for predicting a radiant heat transfer in enclosures with participating media[J]. Journal of Heat Transfer, 1990, 112 (2): 415- 423.

DOI

24
COPPALLE A , VERVISCH P . The total emissivities of high-temperature flames[J]. Combustion and Flame, 1983, 49 (1-3): 101- 108.

DOI

25
SMITH T F , SHEN Z F , FRIEDMAN J N . Evaluation of coefficients for the weighted sum of gray gases model[J]. Journal of Heat Transfer, 1982, 104 (4): 602- 608.

DOI

26
ZETTERVALL N , FUREBY C , NILSSON E J K . Small skeletal kinetic reaction mechanism for ethylene-air combustion[J]. Energy & Fuels, 2017, 31 (12): 14138- 14149.

27
METCALFE W K , BURKE S M , AHMED S S , et al. A hierarchical and comparative kinetic modeling study of c1-c2 hydrocarbon and oxygenated fuels[J]. International Journal of Chemical Kinetics, 2013, 45 (10): 638- 675.

DOI

28
BILGER R W . The structure of turbulent nonpremixed flames[J]. Symposium (International) on Combustion, 1989, 22 (1): 475- 488.

DOI

29
CAO S , MA B , BENNETT B A V , et al. A computational and experimental study of coflow laminar methane/air diffusion flames: Effects of fuel dilution, inlet velocity, and gravity[J]. Proceedings of the Combustion Institute, 2015, 35 (1): 897- 903.

DOI

30
KARATAŞA E , GÜLDER Ö L . Dependence of sooting characteristics and temperature field of co-flow laminar pure and nitrogen-diluted ethylene-air diffusion flames on pressure[J]. Combustion and Flame, 2015, 162 (4): 1566- 1574.

DOI

31
覃建果, 魏小林, 郭啸峰, 等. 甲烷高压富氧燃烧层流扩散火焰的数值研究[J]. 燃烧科学与技术, 2013, 19 (5): 425- 433.

QIN J G , WEI X L , GUO X F , et al. Numerical study on oxygen-enhanced axisymmetric laminar methane diffusion flames at high pressures[J]. Journal of Combustion Science and Technology, 2013, 19 (5): 425- 433.

文章导航

/