新质通信前沿技术

基于LCH-FFT的RS码高效编译码算法与架构

  • 陈超 1 ,
  • 唐念歧 2 ,
  • 韩永祥 2 ,
  • 王晓甜 , 3, * ,
  • 白宝明 1
展开
  • 1. 西安电子科技大学 ISN全国重点实验室,西安 710071
  • 2. 电子科技大学(深圳)高等研究院,深圳 518110
  • 3. 西安电子科技大学 人工智能学院,西安 710071
王晓甜,副教授,E-mail:

陈超(1981—),男,副教授

收稿日期: 2024-11-25

  网络出版日期: 2025-11-07

基金资助

国家重点研发计划项目(2021YFA1000500)

版权

版权所有,未经授权,不得转载。

New algorithms and architectures for Reed-Solomon codes based on LCH-FFT

  • Chao CHEN 1 ,
  • Nianqi TANG 2 ,
  • Yunghsiang HAN 2 ,
  • Xiaotian WANG , 3, * ,
  • Baoming BAI 1
Expand
  • 1. State Key Lab of ISN, Xidian University, Xi'an 710071. China
  • 2. Shenzhen Institute for Advanced Study, University of Electronic Science and Technology of China, Shenzhen 518110, China
  • 3. School of Artificial Intelligence Engineering, Xidian University, Xi'an 710071, China

Received date: 2024-11-25

  Online published: 2025-11-07

Copyright

All rights reserved. Unauthorized reproduction is prohibited.

摘要

当前已有研究发明了一种新的有限域快速Fourier变换,即Lin-Chung-Han fast fourier transform(LCH-FFT),并将其应用于Reed-Solomon(RS)码。该文基于LCH-FFT,提出RS码的高效编译码算法与架构。编码方面,基于LCH-FFT设计了2种新的RS码系统编码器架构:通过改进现有的编码算法设计而成的Ⅰ型编码器,通过提出一种新的纠删译码算法设计而成的Ⅱ型编码器。译码方面,基于LCH-FFT设计了一种新的RS码译码器的架构,且在关键方程求解模块根据最新提出的频域模方法(frequency-domain modular approach,FDMA)算法设计了一种脉动阵列架构。由此证明了基于LCH-FFT的RS编译码算法和架构经过简单处理后,可适用于常用的循环RS码。基于现场可编程门阵列(field-programmable gate array,FPGA)完成了RS(544, 514)码编译码器的硬件设计,结果表明基于LCH-FFT的RS编译码器相比传统编译码器具有更显著的资源优势。

本文引用格式

陈超 , 唐念歧 , 韩永祥 , 王晓甜 , 白宝明 . 基于LCH-FFT的RS码高效编译码算法与架构[J]. 清华大学学报(自然科学版), 2025 , 65(11) : 2053 -2066 . DOI: 10.16511/j.cnki.qhdxxb.2025.27.045

Abstract

Objective: Reed-Solomon (RS) codes represent a category of error-correction codes that have been extensively used in various communication and storage systems. However, in some applications, such as optical transmission, very high transmission rates cause several challenges for the efficient implementation of codecs, especially for low-power performance. Methods: The conventional approach of employing a parallel configuration for both the encoder and decoder lacks efficiency. The fast Fourier transform (FFT) over finite fields can be utilized to reduce the decoding complexity of RS codes. Recently, Lin, Chung, and Han developed a novel FFT that, for the first time, attains the O(nlogn) complexity (n is the FFT size) for binary extension fields. An LCH-FFT-based encoding algorithm with complexity O(nlogk) was presented for an (n, k) RS code when $ \frac{k}{n}$ ≤0.5 and k is a power of 2. An LCH-FFT-based erasure decoding algorithm was developed with complexity O(nlogn). The erasure-decoding algorithm is applicable to both low-rate and high-rate RS codes. LCH-FFT was also applied to the error decoding of the RS codes. A novel LCH-FFT-based encoding algorithm with complexity O(nlog(n-k)) was presented for an (n, k) RS code when $ \frac{k}{n}$ ≥0.5 and n-k is a power of 2. The key equation was derived and solved using the extended Euclidean algorithm. It has been demonstrated that the complexity O(nlog(n-k)+(n-k)log2(n-k)) is achieved. A variant of the LCH-FFT algorithm, designated as the partial FFT algorithm, was introduced to adapt to general code parameters. More recently, Tang and Han proposed the use of the Welch-Berlekamp approach for the resolution of the key equation. A novel variant, designated as the modular approach (MA) algorithm, was derived. Subsequently, the frequency-domain modular approach (FDMA) algorithm and the fast modular approach (FMA) algorithm were developed on this basis, exhibiting a complexity of O(nlog(n-k)+(n-k)log2(n-k)). The LCH-FFT-based decoding method exhibits a significantly lower degree of complexity compared to alternative decoding methodologies for RS codes. Existing works have demonstrated that LCH-FFT-based encoding and decoding achieve complexity advantages over the commonly used LFSR-based encoding and syndrome-based decoding. The implementation of a low-complexity algorithm in hardware may not be feasible. Consequently, the investigation of the implementation aspects of the LCH-FFT-based encoding and decoding methods is of practical interest. The RS codes for which the LCH-FFT-based coding methods were developed are based on the polynomial evaluation method. However, most of the RS codes in use are of the shortened cyclic code variety, which are constructed as a specific class of BCH codes based on the generator polynomial of a cyclic code. Therefore, it is worthwhile to investigate the applicability of LCF-FFT coding methods to RS codes based on the BCH construction. Such a determination is important for standardized RS codes, for which the definition has been established. Results: To address these issues, the present study proposes new algorithms and architectures for RS codes based on the LCH-FFT. Two types of systematic encoders have been developed. The Type-Ⅰ encoder is obtained by modifying a known encoding algorithm. The development of a novel erasure decoding algorithm has enabled the creation of a new encoding algorithm, which forms the foundation for the design of a Type-Ⅱ encoder. The decoder architecture has been designed based on LCH-FFT. For the key equation solver (KES) block in the decoder, a systolic architecture is designed based on the FDMA algorithm recently proposed by Tang and Han. The LCH-FFT-based en/decoding devices designed for polynomial-evaluation-based RS codes are also applicable to commonly used cyclic RS codes through the incorporation of straightforward pre- and post-processing methodologies. Conclusions: FPGA-based emulation demonstrates that the LCH-FFT-based RS encoder and decoder can achieve significant advantages in terms of resource consumption compared to the conventional implementation.

Reed-Solomon(RS)码已在各种通信和存储系统中得到了广泛的应用[1]。然而,在某些高速率传输应用如光通信系统中,传输速率可达800 Gb/s甚至1.6 Tb/s[2],这为RS编译码器的高效实现,特别是在低功耗性能方面带来了巨大挑战。另一方面,对传统编译码器采用并行化处理会带来面积和功耗的显著增加。因此,RS码的高效编译码算法和架构具有重要的研究与应用价值。
众所周知,有限域上的快速Fourier变换(FFT)可以降低RS码的编译码复杂度[3-4]。Lin等[5]于2014年提出了一种有限域上新的FFT算法(简称LCH-FFT),该算法首次在二元扩域上实现了O(2 log2(2))的复杂度(2为FFT的尺寸)。目前,研究者们已围绕LCH-FFT在RS码的快速编译码算法设计方面开展了诸多研究。Lin等[6]将LCH-FFT应用于RS码的纠删译码,针对一个(n, k)RS码(n为码长,k为信息长度,k/n为码率,k/n≤0.5且k为2的幂次),提出了一种基于LCH-FFT的编码算法,其复杂度为O(n log2k);Lin等[6]还提出了一种基于LCH-FFT的纠删译码算法,其复杂度为O(nlog2n),尽管该纠删译码算法是在低码率RS码的背景下提出的,但也适用于文[7]中的高码率RS码。Lin等[7]针对一个(n, k)RS码(k/n≥0.5且(n-k)为2的幂次),提出了一种基于LCH-FFT编码算法,其复杂度为O(nlog2(nk)),同时提出了一种基于LCH-FFT的RS码译码算法(其中求解关键方程部分使用扩展Euclid算法),该算法是首次在二元扩域上实现了O((nlog2(nk))+(nk)log22(nk))复杂度的RS译码算法[3]。Tang等[8]在文[6]的工作基础上进一步推广,取消了对(n-k)为2的幂次的限制,提出了一种称为“局部FFT(partial FFT)”的LCH-FFT算法,用于处理一般参数情况下的编码;同时也对译码的关键方程进行了推广。Tang等[9]于2022年基于文[10]推导出了一种新的变体,称为模方法(modular approach,MA)算法;并在此基础上提出了频域模方法(frequency-domain modular approach,FDMA)算法和快速模方法(frequency modular approach,FMA)算法,其复杂度分别为O((nk)2)和O((nk)log22(nk))。结果表明,基于LCH-FFT的译码复杂度显著低于其他现有的RS码译码算法。Han等[11]和Tang等[12]研究了基于LCH-FFT的RS码纠错纠删问题,并推广了文[7]中的关键方程。在求解关键方程方面,Han等[11]采用扩展Euclid算法,而Tang等[12]采用MA算法。
目前,基于LCH-FFT的编码方法主要适用于多项式求值形式的RS码。然而在实际标准应用中,RS码几乎均为(缩短的)循环码,这类码作为一种特殊的BCH码是基于循环码生成多项式构造的。因此,探讨LCH-FFT编译码方法是否适用于基于BCH构造的循环RS码非常重要。
本文主要研究了高速率RS码的纠错译码,提出了2种基于LCH-FFT的编码器架构:第一种架构通过修改已知编码算法[6]设计而成;第二种架构通过提出一种新的编码算法设计而成,该新算法的基本想法是通过删除译码来实现编码。为译码过程中的各个模块设计了相应的架构,针对关键方程求解器(key equation solver,KES)模块设计了一种基于文[9]中FDMA算法的脉动阵列架构。针对基于LCH-FFT设计的RS编译码算法和架构在传统的循环RS码上的适用性进行了证明;针对RS(544, 514)码,给出了基于FPGA的硬件实现,并做了资源消耗评估。

1 LCH-FFT算法

二元扩域$ \mathbb{F}_{2^{m}}$可以视为$ \mathbb{F}_{2}$上的一个m维向量空间。设{νi}i=0m-1$ \mathbb{F}_{2^{m}}$的一组基。令{ωi}i=02m-1表示$ \mathbb{F}_{2^{m}}$的元素,每个元素可表示为
$\omega_{i}=i_{0} \nu_{0}+i_{1} \nu_{1}+\cdots+i_{m-1} \nu_{m-1} .$
其中ij∈{0, 1}是i的二进制表示,即i=i0+i1·2+…+im-1·2m-1。定义$ \mathbb{F}_{2^{m}}$的一个维子空间V
$\begin{gather*}V_{\ell}=\left\{i_{0} \nu_{0}+i_{1} \nu_{1}+\cdots+i_{\ell-1} \nu_{\ell-1}: i_{j} \in\{0, 1\}\right\}= \\\left\{\omega_{0}, \omega_{1}, \cdots, \omega_{2^{\ell}-1}\right\} .\end{gather*}$
V的子空间多项式(subspace polynomial)定义为
$s_{\ell}(x)=\prod\limits_{\omega \in V_{\ell}}(x-\omega) .$
Lin等[5]提出了$ \mathbb{F}_{2^{m}}[x] /\left(x^{2^{m}}-x\right)$上一种新的多项式基,称为LCH基,定义为
$\overline{\mathbb{X}}=\left\{\bar{X}_{0}(x), \bar{X}_{1}(x), \cdots, \bar{X}_{2^{m}-1}(x)\right\} .$
其中:
$\bar{X}_{i}(x)=\frac{\prod\limits_{j=0}^{m-1}\left(s_{j}(x)\right)^{i_{j}}}{\prod\limits_{j=0}^{m-1}\left(s_{j}\left(\nu_{j}\right)\right)^{i_{j}}} .$
$ \bar{X}_{i}(x)$的次数为i。对于任意一个多项式$ u(x) \in \mathbb{F}_{2^{m}}[x] /\left(x^{2^{m}}-x\right)$,若deg(u(x))<2m,则u(x)可以表示为
$u(x)=\sum\limits_{i=0}^{2^{\ell}-1} u_{i} \bar{X}_{i}(x).$
LCH-FFT算法是一种快速的多项式多点求值算法,其结果表示为
$\begin{gather*}\left(u\left(\omega_{0}+\beta\right), u\left(\omega_{1}+\beta\right), \cdots, u\left(\omega_{2^{\ell}-1}+\beta\right)\right)= \\\operatorname{FFT}_{\overline{\mathbb{X}}}\left(\left(u_{0}, u_{1}, \cdots, u_{2^{\ell}-1}\right), \ell, \beta\right) . \end{gather*}$
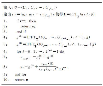
其中$ \beta \in \mathbb{F}_{2^{m}}$中的任意元素。对应的逆LCH-FFT算法是多项式插值的快速算法,表示为
$\begin{gather*}\left(u_{0}, u_{1}, \cdots, u_{2^{\ell}-1}\right)= \\\operatorname{IFFT}_{\overline{\mathbb{X}}}\left(\left(u\left(\omega_{0}+\beta\right), u\left(\omega_{1}+\beta\right), \cdots, \right.\right. \\\left.\left.u\left(\omega_{2^{\ell}-1}+\beta\right)\right), \ell, \beta\right) . \end{gather*}$
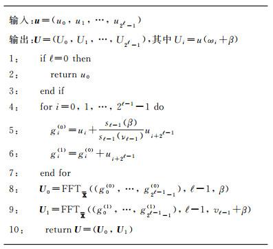
2种算法的步骤分别如图 1图 2所示。在$ \mathbb{F}_{2^{m}}$上,这2个算法的复杂度为2log2(2)次加法和$ \frac{1}{2} \times 2^{\ell} \log _{2}\left(2^{\ell}\right)$次乘法。
图 1 LCH-FFT算法$ \text{FFT}_{\overline{\mathbb{X}}}({u}, {\ell}, {\beta})$[6]
图 2 逆LCH-FFT算法$ \text{IFFT}_{\overline{\mathbb{X}}}({U}, \ell, \beta)$[6]
一个8点LCH-FFT和逆LCH-FFT算法的示例如图 3所示,体现出一种并行实现结构。由图可知,2种算法均是从左侧并行输入8个数据,计算分为3个阶段,每个阶段都需要23次加法和0.5×23次乘法,计算结果从右侧并行输出。
图 3 LCH-FFT和逆LCH-FFT算法数据流程图
以下性质对于RS编码和译码至关重要。
定理1[6]:若$ \boldsymbol{U}=\mathrm{FFT}_{\overline{\mathbb{X}}}(\boldsymbol{u}, \ell, \beta)$, 其中长度为2uU可分别写为
$\begin{aligned}\boldsymbol{u} & =\left(\boldsymbol{u}_{0}, \boldsymbol{u}_{1}, \cdots, \boldsymbol{u}_{2^{\ell-b}-1}\right), \\\boldsymbol{U} & =\left(\boldsymbol{U}_{0}, \boldsymbol{U}_{1}, \cdots, \boldsymbol{U}_{2^{\ell-b}-1}\right) .\end{aligned}$
这里每个子向量uiUi的长度均为2b,0≤b,则下式成立:
$\boldsymbol{u}_{2^{\ell-b}-1}=\sum\limits_{i=0}^{2^{\ell-b}-1} \operatorname{IFFT}_{\overline{\mathbb{X}}}\left(\boldsymbol{U}_{i}, b, \omega_{i \cdot 2^{b}}\right) . $

2 RS码及其译码算法

2.1 RS码的定义

一个在$ \mathbb{F}_{2^{m}}$上的(n, k)RS码(n≤2m)的定义为
$\begin{gather*}C_{(n, k)}=\left\{\left(u\left(\omega_{0}\right), u\left(\omega_{1}\right), \cdots, \right.\right.\\\left.u\left(\omega_{2^{m}-1}\right)\right): u(x) \in \mathbb{F}_{2^{m}}[x], \\\left.\operatorname{deg}(u(x))<2^{m}-(n-k), u\left(\omega_{j}\right)=0, j \in J\right\} . \end{gather*}$
其中J={j0, j1, …, j2mn-1}{0, 1, …, 2m-1},集合中的元素可以任意选定,无需传输由J索引的(2mn)个零元素,因此C(n, k)实际上是长度为n的码。码的纠错能力为$ t=\frac{n-k}{2}$
可以对k个消息符号采用如下的方法进行编码。假设d0, d1, …, dk-1是待编码的消息符号,令u(ωpi)=di表示一组信息位置{pi: 0≤ik-1, piJ}上的信息符号。由于u(x)的次数小于2m-(nk),u(x)可以被{u(ωi): i∈{p0, p1, …pk-1}∪J}唯一确定。码字中的其余符号可以通过对u(x)求值确定。
该码的定义可以视为RS码原始定义的推广[13]
$\begin{gather*}C_{\left(2^{m}, k\right)}=\left\{\left(u\left(\omega_{0}\right), u\left(\omega_{1}\right), \cdots, u\left(\omega_{2^{m}-1}\right)\right):\right. \\\left.\quad u(x) \in \mathbb{F}_{2^{m}}[x], \operatorname{deg}(u(x))<k\right\} . \end{gather*}$
因此,码C(n, k)C(2m, k+(2mn))的缩短码,缩短是通过对C(2m, k+(2mn))码中由J索引的(2mn)个符号设为零并将其删除来实现的。

2.2 RS译码

设(C0, C1, …, C2m-1)=(u(ω0), u(ω1), …, u(ω2m-1)) ∈C(n, k)为对应某个u(x)的传输码字,令(E0, E1, …, E2m-1)为错误模式,则接收字表示为
$\begin{gather*}\left(R_{0}, R_{1}, \cdots, R_{2^{m}-1}\right)= \\\left(C_{0}, C_{1}, \cdots, C_{2^{m}-1}\right)+\left(E_{0}, E_{1}, \cdots, E_{2^{m}-1}\right), \end{gather*}$
其中Cj=Ej=Rj=0, jJ。设r(x)表示度数小于2m的插值多项式,使得
$\begin{gather*}r\left(\omega_{i}\right)=R_{i} ; \\i=0, 1, \cdots, 2^{m}-1 . \end{gather*}$
定义错误位置多项式为
$\lambda(x)=\prod\limits_{i \in \varepsilon}\left(x-\omega_{i}\right) .$
其中$ \mathcal{E}$是错误位置的集合,表示为
$\mathcal{E}=\left\{i: E_{i} \neq 0\right\} .$
则有
$\begin{gather*}u\left(\omega_{i}\right) \cdot \lambda\left(\omega_{i}\right)=r\left(\omega_{i}\right) \cdot \lambda\left(\omega_{i}\right) ; \\i=0, 1, \cdots, 2^{m}-1 . \end{gather*}$
上式可等价于
$u(x) \lambda(x)=r(x) \lambda(x) {\rm{mod}}\ s_{m}(x) .$
其中:
$s_{m}(x)=\prod\limits_{i=0}^{2^{m}-1}\left(x-\omega_{i}\right)=x^{2^{m}}-x . $
因此,存在某个$ q(x) \in \mathbb{F}_{2^{m}}[x]$,使得
$u(x) \lambda(x)=r(x) \lambda(x)+q(x) s_{m}(x) .$
其中deg(q(x))<deg(λ(x)),子空间多项式sm(x)可以写为[6]
$\begin{gather*}s_{m}(x)=\left(\prod\limits_{j=\ell}^{m-1} s_{j}\left(\nu_{j}\right)\right) \bar{X}_{2^{m}-2^{\ell}}(x) s_{\ell}(x)+ \\\sum\limits_{i=\ell}^{m-1}\left(\prod\limits_{j=i}^{m-1} s_{j}\left(\nu_{j}\right)\right) \bar{X}_{2^{m}-2^{i}}(x) s_{i}\left(v_{i}\right) .\end{gather*}$
r(x)除以$ \bar{X}_{2^{m}-2^{\ell}}(x)$,可得
$r(x)=s(x) \bar{X}_{2^{m}-2^{\ell}}(x)+r_{0}(x), $
其中:s(x)是商,且deg(s(x))<2r0(x)是余式,且deg(r0(x))<2m-2。将式(20)和式(21)代入式(19),可得
$\begin{gather*}u(x) \lambda(x)+r_{0}(x) \lambda(x)+ \\\left(\sum\limits_{i=\ell}^{m-1}\left(\prod\limits_{j=i}^{m-1} s_{j}\left(\nu_{j}\right)\right) \bar{X}_{2^{m}-2^{i}}(x) s_{i}\left(\nu_{i}\right)\right) q(x)= \\\bar{X}_{2^{m}-2^{\ell}}(x)\left(s(x) \lambda(x)+\left(\prod\limits_{j=\ell}^{m-1} s_{j}\left(\nu_{j}\right)\right) q(x) s_{\ell}(x)\right) . \end{gather*}$
通过提取式(22)右侧的第二项,定义
$z(x)=s(x) \lambda(x)+\left(\prod\limits_{j=\ell}^{m-1} s_{j}\left(\nu_{j}\right)\right) q(x) s_{\ell}(x) . $
由于式(22)的左侧项的次数小于(2m-2+degλ(x))且$ \operatorname{deg}\left(\bar{X}_{2^{m}-2^{\ell}}(x)\right)=2^{m}-2^{\ell}$,则存在deg(z(x))<deg(λ(x))。依据$ s_{\ell}(x)=\prod\limits_{i=0}^{n-k-1}(x- \left.\omega_{i}\right)$,其中nk=2,得到关键方程为
$z(x)=s(x) \lambda(x) {\rm{mod}} \prod\limits_{i=0}^{n-k-1}\left(x-\omega_{i}\right) . $
其中deg(z(x))<deg(λ(x))。
当且仅当s(x)为零多项式时,接收到的字为码字。解释如下:基于式(21),当且仅当deg(r(x))<2m-2时,s(x)为零多项式。依照RS码的定义,有r(ωj)=0, jJ。基于式(10)中码的定义,$ r(x) \in \mathbb{F}_{2^{m}}[x]$,当且仅当(r(ω0), r(ω1), …, r(ω2m-1))为C(n, k)的码字,使得deg(r(x))<2m-2,且r(ωj)=0, jJ; nk=2。因此,s(x)可以看作是伴随式。
求解关键方程得到λ(x)后,利用Chien搜索可以找到错误位置。为计算错误值,对式(19)进行求导,得到:
$\begin{gather*}u^{\prime}(x) \lambda(x)+u(x) \lambda^{\prime}(x)=r^{\prime}(x) \lambda(x)+ \\r(x) \lambda^{\prime}(x)+q^{\prime}(x) s_{m}(x)+q(x) . \end{gather*}$
对于错误位置$ i \in \mathcal{E}$,下式成立:
$u\left(\omega_{i}\right) \lambda^{\prime}\left(\omega_{i}\right)=r\left(\omega_{i}\right) \lambda^{\prime}\left(\omega_{i}\right)+q\left(\omega_{i}\right) .$
因此,位置$ i \in \mathcal{E}$处的错误值为
$E_{i}=u\left(\omega_{i}\right)-r\left(\omega_{i}\right)=\frac{q\left(\omega_{i}\right)}{\lambda^{\prime}\left(\omega_{i}\right)} . $
错误值还可以通过以下方法计算。
情况1:若$ i \in \mathcal{E}$ink,则基于式(23)和式(27),存在
$E_{i}=\frac{z\left(\omega_{i}\right)}{\prod\limits_{j=1}^{m-1} s_{j}\left(v_{j}\right) \cdot \prod\limits_{j=0}^{n-k-1}\left(\omega_{i}-\omega_{j}\right) \cdot \lambda^{\prime}\left(\omega_{i}\right)} .$
对式(23)的等式两边求导,可得
$\begin{align*}& z^{\prime}(x)=s^{\prime}(x) \lambda(x)+s(x) \lambda^{\prime}(x)+ \\& \left(\prod\limits_{j=\ell}^{m-1} s_{j}\left(v_{j}\right)\right)\left(q^{\prime}(x) \prod\limits_{i=0}^{n-k-1}\left(x-\omega_{i}\right)+\right. \\& \left.q(x) \sum\limits_{i=0}^{n-k-1} \prod\limits_{j=0, j \neq i}^{n-k-1}\left(x-\omega_{j}\right)\right) .\end{align*}$
情况2:若$ i \in \mathcal{E}$ink,基于式(27)和式(29),得到
$E_{i}=\frac{z^{\prime}\left(\omega_{i}\right)-s\left(\omega_{i}\right) \lambda^{\prime}\left(\omega_{i}\right)}{\prod\limits_{j=1}^{m-1} s_{j}\left(\nu_{j}\right) \cdot \prod\limits_{j=0, j \neq i}^{n-k-1}\left(\omega_{i}-\omega_{j}\right) \cdot \lambda^{\prime}\left(\omega_{i}\right)} .$

3 基于LCH-FFT的RS编码器设计

本章将阐述2种编码算法以及相应的架构。第一种编码算法基于定理1,直接从给定的消息符号计算出校验符号,由此提出一种新的删除译码算法,并基于此算法推导出第二种编码算法。
2种编码均为系统编码方法,且复杂度均为O(n log2(nk))。不同之处在于第一种编码选择的信息位置是连续的,因而可基于定理1实现;第二种编码选择的信息位置是任意的k个位置,主要为适配传统循环RS码的编码。

3.1 Ⅰ型编码器

该编码器基于定理1,其中nk=2且FFT的大小为2。设$ u(x)=u_{0} \bar{X}_{0}(x)+u_{1} \bar{X}_{1}(x)+\cdots+ u_{2^{m}-1} \bar{X}_{2^{m}-1}(x){\rm{且}}\operatorname{deg}(u(x))<2^{m}-(n-k)$,根据码定义,对应的码字由下式给出:
$\begin{gather*}\left(C_{0}, C_{1}, \cdots, C_{2^{m}-1}\right)= \\\operatorname{FFT}_{\overline{\mathbb{X}}}\left(\left(u_{0}, u_{1}, \cdots, u_{2^{m}-1}\right), 2^{m}, \omega_{0}\right) .\end{gather*}$
基于定理1,得到
$\begin{gather*}\sum\limits_{i=0}^{2^{m-\ell}-1} \operatorname{IFFT}_{\overline{\mathbb{X}}}\left(\left(C_{i \cdot 2^{\ell}}, C_{i \cdot 2^{\ell}+1}, \cdots\right.\right. \\\left.\left.C_{i \cdot 2^{\ell}+2^{\ell}-1}\right), \ell, \omega_{i} \cdot 2^{\ell}\right)= \\\left(u_{2^{m}-2^{\ell}}, u_{2^{m}-2^{\ell}+1}, \cdots, u_{2^{m}-1}\right)=0 .\end{gather*}$
对于系统编码,可以选择任意p(0≤p<2m),使得(Cp·2, Cp·2+1, …, Cp·2+2-1)作为校验符号。其余已知符号为消息符号和缩短的零(若有)。因此,校验符号可以计算为
$\begin{align*}& \left(C_{p \cdot 2^{\ell}}, C_{p \cdot 2^{\ell}+1}, \cdots, C_{p \cdot 2^{\ell}+2^{\ell}-1}\right)= \\& \operatorname{FFT}_{\overline{\mathbb{X}}}\left(\sum _ { i = 0 , i \neq p } ^ { 2 ^ { m - \ell } - 1 } \operatorname { I F F T } _ { \overline { \mathbf { x } } } \left(\left(C_{i \cdot 2^{\ell}}, \cdots, \right.\right.\right. \\& \left.\left.\left.C_{i \cdot 2^{\ell}+2^{\ell}-1}\right), \ell, \omega_{i} \cdot 2^{\ell}\right), \ell, \omega_{p \cdot 2^{\ell}}\right) . \end{align*}$
基于式(33)的编码方法修改了文[6]中的方法,其中p=0,即(C0, C1, …, C2-1)为校验符号。关于p的选取,若|J|<nk,即缩短符号的数量少于校验符号的数量,则可以令{0, 1, …, nk-1}为校验位置。因此,基于式(28)和式(30),消息位置和校验位置的错误值可以分别计算。基于式(28),若|J|≥nk,可令{0, 1, …, nk-1}为缩短位置以便处于消息位置和校验位置的错误值可以统一依据式(28)计算。
基于式(33)的Ⅰ型编码器架构如图 4所示。图中实例化了(2m-1)个IFFT模块,支持部分和完全并行输入。在这种设计中,所有的乘法器均为常数乘法器。IFFT模块被安排为部分并行输入激活或停用。对应于缩短符号的IFFT模块不需要实例化。
图 4 Ⅰ型编码器架构
对于部分并行输入,另一种设计是实例化一定数量的IFFT模块以匹配输入吞吐量。每个IFFT模块执行具有不同β的IFFT(·, , β)计算。因此,IFFT模块中的乘法器是通用的。上述2种设计可能在面积和功耗消耗之间实现不同的权衡。

3.2 Ⅱ型编码器

基于LCH-FFT的纠错译码算法的推导过程(详见2.2节)表明其可用于纠删译码。为此设置Ri=0, $ i \in \mathcal{E}$。若$ |\mathcal{E}| \leqslant n-k$,即擦除的数量小于或等于校验的数量,存在一个唯一的码字,其与接收到的字在最多(nk)个位置上不同。因此,译码算法可以唯一确定u(x)和q(x)。相应地,可以恢复传输的码字。
设:
$r(x)=r_{0} \bar{X}_{0}(x)+r_{1} \bar{X}_{1}(x)+\cdots+r_{2^{m}-1} \bar{X}_{2^{m}-1}(x), $
$s(x)=s_{0} \bar{X}_{0}(x)+s_{1} \bar{X}_{1}(x)+\cdots+s_{2^{\ell}-1} \bar{X}_{2^{\ell}-1}(x).$
则式(21)可推导出:
$\begin{gather*}\left(s_{0}, s_{1}, \cdots, s_{2^{\ell}-1}\right)=\left(r_{2^{m}-2^{\ell}}, r_{2^{m}-2^{\ell}+1}, \cdots, r_{2^{m}-1}\right)= \\\sum\limits_{i=0}^{2^{m-\ell}-1} \operatorname{IFFT}_{\overline{\mathbb{X}}}\left(\left(R_{i \cdot 2^{\ell}}, R_{i \cdot 2^{\ell}+1}, \cdots\right.\right. \\\left.\left.R_{i \cdot 2^{\ell}+2^{\ell}-1}\right), \ell, \omega_{i} \cdot 2^{\ell}\right), \end{gather*}$
其中第二个等号的成立是基于定理1。之后可计算得
$\begin{gather*}\left(s\left(\omega_{0}\right), s\left(\omega_{1}\right) \cdots, s\left(\omega_{2^{\ell}-1}\right)\right)= \\\mathrm{FFT}_{\overline{\mathbb{X}}}\left(\left(s_{0}, s_{1}, \cdots, s_{2^{\ell}-1}\right), \ell, \omega_{0}\right) . \end{gather*}$
$ z(x)=z_{0} \bar{X}_{0}(x)+z_{1} \bar{X}_{1}(x)+\cdots+z_{t-1} \bar{X}_{t-1}(x)$,基于式(24)得到
$\begin{gather*}\left(z_{0}, z_{1}, \cdots, z_{t-1}\right)=\operatorname{IFFT}_{\overline{\mathbb{X}}}\left(\left(s\left(\omega_{0}\right) \lambda\left(\omega_{0}\right), \right.\right. \\\left.\left.s\left(\omega_{1}\right) \lambda\left(\omega_{1}\right), \cdots, s\left(\omega_{t-1}\right) \lambda\left(\omega_{t-1}\right)\right), \ell-1, \omega_{0}\right) . \end{gather*}$
本研究提出了一种新的RS纠删译码算法,如图 5所示。初始化步骤为计算$ \left\{\lambda\left(\omega_{i}\right): i \notin \mathcal{E}\right\}$$ \left\{\lambda^{\prime}\left(\omega_{i}\right): i \in \mathcal{E}\right\}$,基于快速Walsh-Hadamard变换,这可以以O(2mlog2(2m))的复杂度执行。其他步骤的总体复杂度为O(2mlog2(2))。形式导数$ z^{\prime}(x) =z_{0}^{\prime} \bar{X}_{0}(x)+z_{1}^{\prime} \bar{X}_{1}(x)+\cdots+z_{2^{\ell}-1}^{\prime} \bar{X}_{2^{\ell}-1}(x)$可以依据O(2log2(2))的复杂度计算[7]
图 5 一种新的RS码纠删译码算法
编码方面,考虑将k个消息符号和(2mn)个缩短符号作为正确接收的符号,(n-k)个校验符号作为擦除符号。消息符号和校验符号的位置可以任意选择。由于校验位置集合是固定的,初始化步骤可以提前完成,因此对编码复杂度没有贡献。Ⅱ型编码器架构如图 6所示。
图 6 Ⅱ型编码器架构

4 基于LCH-FFT的RS译码器设计

4.1 伴随式计算

伴随式计算(syndrome computation,SC) 模块计算频域伴随式向量(s(ω0), s(ω1), …, s(ω2-1))。类似于删除译码的推导,得到:
$\begin{align*}& \left(s\left(\omega_{0}\right), s\left(\omega_{1}\right), \cdots, s\left(\omega_{2^{\ell}-1}\right)\right)= \\& \left(\sum _ { i = 0 } ^ { 2 ^ { m - \ell } - 1 } \operatorname { I F F T } _ { \overline { \mathbf { x } } } \left(\left(R_{i \cdot 2^{\ell}}, R_{i \cdot 2^{\ell}+1}, \cdots\right.\right.\right. \\& \left.\left.\left.R_{i \cdot 2^{\ell}+2^{\ell}-1}\right), \ell, \omega_{i} \cdot 2^{\ell}\right), \ell, \omega_{0}\right).\end{align*}$
SC模块的架构如图 7所示。该结构与图 4中展示的Ⅰ型编码器相同。因此,IFFT模块可以进行类似的实例化。

4.2 关键方程求解器

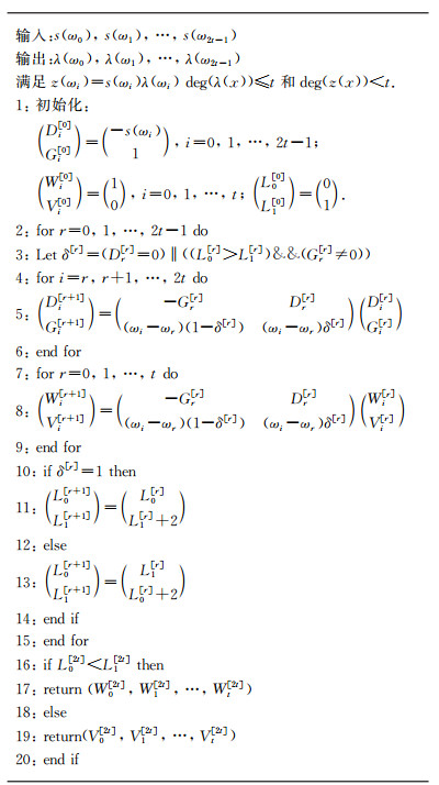
关键方程可利用FDMA算法[9]求解,该算法的描述如图 8所示。对应的关键方程求解器(key equation solver,KES)是译码器的重要组成部分。
本研究设计FDMA算法的一种脉动阵列架构。如图 9a所示,该架构包括一个控制单元和2个异构的处理元素(processing element,PE)数组。第一个数组由2个PE0组成,负责更新(Di[r], Gi[r]),其结构如图 9b所示。第二个数组由(t+1)个PE1组成,负责更新(Wi[r], Vi[r]),其结构如图 9c所示。架构的关键路径包括一个加法器和一个乘法器。
图 9 FDMA算法架构
由于(Di[r], Gi[r])和(Wi[r], Vi[r])有相同的更新规则,此处使用异构设计,利用2个不同的PE结构实现更新。这主要基于如下考虑:
1) 将Dr[r]Gr[r]作为广播信号输出,更新后的Di[r]Gi[r]向左移动,以便Dr[r]Gr[r]总是可以从最左边的PE0中取出。该设计可消除关键路径中选择Dr[r]Gr[r]的电路,因此可改善关键路径。
2) 更新后的Wi[r]Vi[r]不向左移动,而是留在原地,因此可节省功耗。
给定(λ(ω0), λ(ω1), …, λ(ωt)),λ(x)=$ \lambda_{0} \bar{X}_{0}(x)+\lambda_{1} \bar{X}_{1}(x)+\cdots+\lambda_{t} \bar{X}_{t}(x)$可计算为
$\begin{gather*}\left(\lambda_{0}, \lambda_{1}, \cdots, \lambda_{t}, 0, \cdots, 0\right)= \\\operatorname{IFFT}_{\overline{\mathbb{X}}}\left(\left(\lambda\left(\omega_{0}\right), \lambda\left(\omega_{1}\right), \cdots, \lambda\left(\omega_{2^{\ell}-1}\right)\right), \ell, \omega_{0}\right) .\end{gather*}$
其中(λ0, λ1, …, λt)和(λ(ωt+1), …, λ(ω2-1))是待求解的未知量。此问题是partial-FFT问题的特殊情况[8]。为了简化解决方案,此处基于文[9]提出一个替代解决方案。
基于定理1,存在:
$\begin{gather*}\left(\lambda_{t}, 0, \cdots, 0\right)=\operatorname{IFFT}_{\overline{\mathbb{X}}}\left(\left(\lambda\left(\omega_{0}\right), \cdots, \right.\right. \\\left.\left.\lambda\left(\omega_{t-1}\right)\right), \ell-1, \omega_{0}\right)+ \\\operatorname{IFFT}_{\overline{\mathbb{X}}}\left(\left(\lambda\left(\omega_{t}\right), \cdots, \lambda\left(\omega_{2^{\ell}-1}\right)\right), \ell-1, \omega_{t}\right) . \end{gather*}$
通过在等式两边应用$ \mathrm{FFT}_{\overline{\mathbb{X}}}\left(\cdot, \ell-1, \omega_{t}\right)$得到:
$\begin{gather*}\left(\lambda_{t}, \lambda_{t}, \cdots, \lambda_{t}\right)=\\\operatorname{FFT}_{\overline{\mathbb{X}}}\left(\operatorname{IFFT}_{\overline{\mathbb{X}}}\left(\left(\lambda\left(\omega_{0}\right), \cdots, \lambda\left(\omega_{t-1}\right)\right)\right.\right., \\\left.\left.\left.\ell-1, \omega_{0}\right), \ell-1, \omega_{0}\right), \ell-1, \omega_{t}\right)+\\\left(\lambda\left(\omega_{t}\right), \cdots, \lambda\left(\omega_{2^{\ell}-1}\right)\right) . \end{gather*}$
式(40)中的λt被计算为右侧向量的第一个分量,其中λ(ω0), λ(ω1), …, λ(ωt)为已知。给定λt,利用式(40)计算(λ(ωt+1), …, λ(ω2-1))。接着可基于式(38)计算λ(x)。
进而,$ z(x)=z_{0} \bar{X}_{0}(x)+z_{1} \bar{X}_{1}(x)+\cdots+ z_{t-1} \bar{X}_{t-1}(x)$可计算为
$\begin{gather*}\left(z_{0}, z_{1}, \cdots, z_{t-1}\right)=\operatorname{IFFT}_{\overline{\mathbb{X}}}\left(s\left(\omega_{0}\right) \lambda\left(\omega_{0}\right), \right. \\\left.\left.s\left(\omega_{1}\right) \lambda\left(\omega_{1}\right), \cdots, s\left(\omega_{t-1}\right) \lambda\left(\omega_{t-1}\right)\right), \ell-1, \omega_{0}\right) . \end{gather*}$
λ(x)和z(x)的计算架构如图 10所示。
图 10 λ(x)和z(x)的计算架构

4.3 Chien搜索和错误评估

Chien搜索旨在找到λ(x)的根,这可通过首先计算式(42)然后检查哪些分量为零来实现。
$\begin{gather*}\left(\lambda\left(\omega_{i \cdot 2^{\ell}}\right), \cdots, \lambda\left(\omega_{i \cdot 2^{\ell}+2^{\ell}-1}\right)\right)=\\\mathrm{FFT}_{\overline{\mathbb{X}}}\left(\left(\lambda_{0}, \cdots, \lambda_{t}, 0, \cdots, 0\right), \ell, \omega_{i} \cdot 2^{\ell}\right), \\i=0, 1, \cdots, 2^{m}-\ell-1 . \end{gather*}$
Chien搜索和错误计算(Chien search and error evaluation,CSEE)模块的架构如图 11所示,FFT模块的实例化方式与编码器中的IFFT模块相同。
图 11 CSEE模块架构

4.4 译码器的整体架构

将上述设计的SC、KES和CSEE集成到一个整体架构中,如图 12所示。这3个模块以流水线方式操作。为了匹配SC模块的输出速率,可以在KES模块中实例化多个FDMA模块。SC和KES之间的接口为频域伴随式(s(ω0), s(ω1), …, s(ω2t-1))。KES和CSEE之间的接口包括λ(x),z(x)和(s(ω0), s(ω1), …, s(ω2t-1))。
图 12 译码器整体架构
针对硬件复杂度和关键路径延迟这2个指标,将本研究所提的FDMA架构与Berlekamp-Massey算法的2个著名架构:RiBM[14]和ePIBMA[15]进行对比,结果如表 1所示。由表可知,FDMA架构需要的硬件资源比其他2个架构多,但考虑到SC和CSEE模块的显著改进,基于LCH-FFT的译码器的整体实现复杂度仍然低于传统的基于伴随式的RS译码器,因此对于高速实现需要的硬件资源更少。此外,由于功耗通常由SC模块主导,因此所提出的架构在SC模块做了显著改进,从而实现了低功耗设计。
表 1 不同架构下的硬件复杂度和关键路径延迟对比
算法 架构 加法器 乘法器 锁存器 多路复用器 时钟 关键路径延迟
BM RiBM[14] 3t+1 6t+2 6t+2 3t+1 2t Tmult+Tadd
BM ePIBMA[15] 2t+1 4t+2 4t+2 6t+3 2t Tmult+Tadd
WB FDMA 6t+2 9t+3 8t+2 3t+1 2t Tmult+Tadd

5 传统循环RS码的适用性证明

本节将证明基于LCH-FFT的编码方法可以应用于传统循环RS码。此处以本原循环RS码为例展开论述,相关证明结果可扩展至缩短的RS码和单扩展RS码。
本原循环RS码的码字可视为具有一组连续零频率分量的时域向量。令c(x)=c0+c1x+…+cn-1xn-1为向量(c0, c1, …, cn-1)的多项式表示。设$ \alpha \in \mathbb{F}_{2^{m}}$为一个本原元。$ \mathbb{F}_{2^{m}}$上的(n(n=2m-1), k)RS码可定义为
$\begin{gather*}\mathcal{R}_{\left(2^{m}-1, k\right)}=\left\{\left(c_{0}, c_{1}, \cdots, c_{2^{m}-2}\right): c\left(\alpha^{i}\right)=0, \right. \\b \leqslant i \leqslant b+n-k-1\} . \end{gather*}$
由于{α0, α1, …, α2m-2}={ω1, …, ω2m-1}=$ \mathbb{F}_{2^{m}} \backslash\{0\}$,此处定义一个置换:
$\begin{gather*}\Pi:\left\{1, \cdots, 2^{m}-1\right\} \rightarrow\left\{0, \cdots, 2^{m}-2\right\} \\\Pi(i)=j, \text{满足 } w_{i}=\alpha^{j} . \end{gather*}$
使得向量(c0, c1, …, c2m-2)满足
$\begin{gather*}& \operatorname{Per}\left(c_{0}, c_{1}, \cdots, c_{2^{m}-2}\right)= \\& \left(c_{\Pi(1)}, c_{\Pi(2)}, \cdots, c_{\Pi\left(2^{m}-1\right)}\right) . \end{gather*}$
由此获得定理2。
定理2:当且仅当(0, Per(α0c0, αbc1, …, α2m-2bc2m-2))∈C(2m-1, k)$ \left(c_{0}, c_{1}, \cdots, c_{2^{m}-2}\right) \in \mathcal{R}_{\left(2^{m}-1, k\right)}$,其中J={0}体现在C(2m-1, k)的式(10)中。
证明:通过重写$ \mathcal{R}_{\left(2^{m}-1, k\right)}$
$\begin{gather*}\mathcal{R}_{\left(2^{m}-1, k\right)}=\left\{\left(c_{0}, c_{1}, \cdots, c_{2^{m}-2}\right): c\left(\alpha^{-i}\right)=0, \right. \\\left.2^{m}-b-(n-k) \leqslant i \leqslant 2^{m}-b-1\right\} . \end{gather*}$
将每个码字视为频域向量。定义集合
$\begin{align*}\mathcal{T}_{\left(2^{m}-1, k\right)} & \triangleq\left\{\left(\alpha^{0} c_{0}, \alpha^{(b-1)} c_{1}, \cdots, \alpha^{\left(2^{m}-2\right)(b-1)} c_{2^{m}-2}\right):\right. \\& \left.\left(c_{0}, c_{1}, \cdots, c_{2^{m}-2}\right) \in \mathcal{R}_{\left(2^{m}-1, k\right)}\right\} . \end{align*}$
$ f(x)=f_{0}+f_{1} x+\cdots+f_{2^{m}-2} x^{2^{m}-2} \in \mathbb{F}_{2^{m}}[x]$$ F(x)=F_{0}+F_{1} x+\cdots+F_{2^{m}-2} x^{2^{m}-2} \in \mathbb{F}_{2^{m}}[x]$是一对Fourier变换则根据文[1]存在
$\begin{gather*}\mathcal{T}_{\left(2^{m}-1, k\right)}=\left\{\left(F_{0}, F_{1}, \cdots, F_{2^{m}-2}\right):\right. \\\left.F\left(\alpha^{-i}\right)=0, k \leqslant i \leqslant 2^{m}-2\right\}= \\\left\{\left(f\left(\alpha^{0}\right), f\left(\alpha^{1}\right), \cdots, f\left(\alpha^{2^{m}-2}\right)\right): \operatorname{deg}(f(x))<k\right\} . \end{gather*}$
其中第一个等号的成立是基于Fourier变换的平移性质[1]
考虑由式(10)定义的RS码C(2m-1, k),其中J={0},
$\begin{align*}& \mathcal{C}_{\left(2^{m}-1, k\right)}=\left\{\left(0, u\left(\omega_{1}\right), \cdots, u\left(\omega_{2^{m}-1}\right)\right):\right. \\& \left.u(x) \in \mathbb{F}_{2^{m}}[x], \operatorname{deg}(u(x))<k+1\right\} . \end{align*}$
通过设置u(x)=xf(x),使得deg(f(x))<k,由此可见$ \left(f\left(\alpha^{0}\right), f\left(\alpha^{\prime}\right), \cdots, f\left(\alpha^{2^{m}-2}\right)\right) \in \mathcal{T}_{\left(2^{m}-1, k\right)}$当且仅当$ \left(0, \omega_{1} f\left(\omega_{1}\right), \cdots, \omega_{2^{m}-1} f\left(\omega_{2^{m}-1}\right)\right) \in \mathcal{C}_{\left(2^{m}-1, k\right)}$时成立。因此,$ \left(c_{0}, c_{1}, \cdots, c_{2^{m}-2}\right) \in \mathcal{R}_{\left(2^{m}-1, k\right)}$当且仅当$ \left(0, \operatorname{Per}\left(\alpha^{0} c_{0}, \alpha^{b} c_{1}, \cdots\right.\right.$$ \left.\left.\alpha^{\left(2^{m}-2\right) b} c_{2^{m}-2}\right)\right) \in \mathcal{C}_{\left(2^{m}-1, k\right)}$时成立。
基于定理2,本文提出了一种用于本原循环RS码的高效编码器和译码器结构,如图 13所示。由图可知,内部的LCH-FFT编码器和译码器在长度为2m的码字上运行。对于缩短码,这可能在一定程度上削弱了其相对于在长度为n的码字上操作的常规设计的优势。此外,LCH-FFT编码器和译码器可以通过利用部分输入的零符号进行优化。
图 13 用于本原循环RS码的高效编码器和译码器结构

6 RS(544, 514)的FPGA实现

基于图 13给出的硬件架构方案,在Vivado平台上使用Verilog HDL语言进行编程,并对系统进行功能仿真以及资源评估,然后将其与传统的RS码编译码器做对比。所有测试均在Xilinx公司的XCVU9P-L2FLGA2104E芯片上做上板实测,并验证误码率性能。
不同并行度下RS编码器的资源评估结果如表 2所示。括号中的百分数表示LCH-FFT的RS编码器的顶层模块消耗的查找表(look up table,LUT)资源,与同并行度下的传统RS编码器相比降低的比例。由表可知,与同并行度的传统RS编码器相比,基于LCH-FFT的RS编码器模块所消耗的LUT资源更少;且并行度越大,资源优势越明显。并行度为32时LUT数减少了18.13%;并行度为128时LUT数减少了35.86%,全并行时则减少了66.24%,这与前人理论[9]相符。此外,在实现FFT和IFFT运算时为了保证较短的关键路径,无论并行度为多少,基于LCH-FFT的RS编码器都需要更多的寄存器用于打拍。
表 2 各并行度下编码器的资源评估结果
编码器类型 并行度 LUT数 寄存器数
传统的RS编码器 32 7 408 627
128 27 370 2 264
全并行 93 494 10 582
基于LCH-FFT的RS编码器 32 6 065(18.13%) 1 959
128 17 554(35.86%) 5 125
全并行 31 562(66.24%) 18 926
不同并行度下RS译码器的资源评估结果如表 3所示。括号中的百分数表示LCH-FFT的RS译码器的顶层模块消耗的LUT资源,与同并行度下的传统RS译码器相比降低的比例。由表可知,与传统的RS译码器相比,基于LCH-FFT的RS译码器在低并行度时并没有取得资源上的收益,甚至是负收益(32路并行译码器的LUT数比传统译码器的LUT数多17.66%)。这一方面是因为基于LCH-FFT的RS译码器关键方程的形式已经改变,不再适用于资源更少的RiBM架构,另一方面是因为基于LCH-FFT的ChienEC模块更加复杂,多出来的这部分资源在低并行度时无法被采用FFT进行多点估值节省的资源抵消。但随着并行度的进一步提高,基于LCH-FFT的RS译码器的资源收益开始显现,且并行度越高,LUT资源的收益越明显。并行度为128时,LUT数减少了22.62%,全并行时更是减少了46.39%。这是因为随着并行度的提高,基于FFT的多点估值在资源上的优势越来越明显,这使得Syndrome模块和ChienEC模块的资源收益也越来越明显。因此高并行度时,虽然KES模块由于无法采用RiBM架构而使计算复杂度增加,但Syndrome模块和ChienEC模块由于采用FFT进行多点估值促使了计算复杂度的显著降低,因此基于LCH-FFT的RS译码器的总体计算复杂度比传统的RS译码器要低很多,且并行度越高,计算复杂度的优势越明显。此外,在实现FFT和IFFT运算时为了保证较短的关键路径,需要更多的寄存器用于打拍。
表 3 各并行度下译码器的资源评估结果
传统的RS译码器 基于LCH-FFT的RS译码器
并行度 模块名 LUT数 寄存器数 并行度 模块名 LUT数 寄存器数
32 Decoder(顶层) 30 313 4 723 32 Decoder(顶层) 35 665(-17.66%) 8 747
Syndrome 8 696 306 Syndrome 6 093 1 624
KES 10 312 1 988 KES 14 215 3 161
ChienEC 10 975 2 093 ChienEC 15 333 3 541
128 Decoder(顶层) 142 785 14 786 128 Decoder(顶层) 110 481(22.62%) 23 536
Syndrome 46 503 304 Syndrome 15 876 2 576
KES 36 472 6 940 KES 46 269 9 705
ChienEC 58 522 6 248 ChienEC 48 314 9 899
全并行 Decoder(顶层) 559 879 31 642 全并行 Decoder(顶层) 300 129(46.39%) 66 127
Syndrome 200 187 2 516 Syndrome 27 916 15 708
KES 189 513 14 876 KES 207 735 43 197
ChienEC 164 731 13 210 ChienEC 59 315 1 713
为了验证基于LCH-FFT的RS编译码器在FPGA上的误码性能,本文利用Vivado平台上的可定制IP核虚拟输入输出(virtual input output,VIO)对FPGA内部的信号进行实时的驱动和监视。系统的测试平台如图 14所示。由图可知,首先由VIO配置AWGN信道的方差,同时VIO给出开始信号控制信源产生伪随机序列,信源模块由串行的移位寄存器构成。之后信号经过RS编码器、BPSK调制、AWGN信道、BPSK解调、RS译码器以及错误统计模块后,将统计的信息传回VIO并实时显示,其中AWGN信道是通过Box-Muller方式产生噪声的。
图 14 系统测试平台
根据不同信噪比(Eb/N0)下VIO上抓取的统计数据计算误比特率并绘制误码率(bit error rate,BER)性能曲线。2种RS编译码器的通信系统的BER性能对比如图 15所示。图中每个信噪比下都测试了不少于100帧错误。由图可知,2条实测曲线基本吻合,这说明本文设计的基于LCH-FFT的编译码器能够正常工作,在不损失BER性能的基础上能够有效降低硬件实现的资源。
图 15 2种RS编译码器的BER性能曲线对比

7 结论

基于LCH-FFT,本文设计了2种RS码系统编码器架构(Ⅰ型编码器和Ⅱ型编码器)和一种新的译码器架构;为FDMA算法设计了一种脉动阵列架构来解决关键方程。经证明,本文所提方法可对基于LCH-FFT的编译码方法进行预处理和后处理,也可以对常用的循环RS码(包括缩短码和单扩展码)实施快速编译码。基于FPGA的实现表明,基于LCH-FFT的编译码器非常适合高并行实现,未来有望在高速场景中实现关键性的应用。
1
BLAHUT R E . Algebraic codes for data transmission[M]. Cambridge: Cambridge University Press, 2003.

2
WANG X Y , HE X , REN H . Advanced FEC for 200 Gb/s transceiver in 800 GbE and 1.6 TbE standard[J]. IEEE Communications Standards Magazine, 2023, 7 (3): 56- 62.

DOI

3
JUSTESEN J . On the complexity of decoding Reed-Solomon codes (Corresp.)[J]. IEEE Transactions on Information Theory, 1976, 22 (2): 237- 238.

DOI

4
HONG J , VETTERLI M . Simple algorithms for BCH decoding[J]. IEEE Transactions on Communications, 1995, 43 (8): 2324- 2333.

DOI

5
LIN S J, CHUNG W H, HAN Y S. Novel polynomial basis and its application to Reed-Solomon erasure codes [C]// Proceedings of the IEEE 55th Annual Symposium on Foundations of Computer Science. Philadelphia, USA: IEEE, 2014: 316-325.

6
LIN S J , AL-NAFFOURI T Y , HAN Y S , et al. Novel polynomial basis with fast Fourier transform and its application to Reed-Solomon erasure codes[J]. IEEE Transactions on Information Theory, 2016, 62 (11): 6284- 6299.

DOI

7
LIN S J , AL-NAFFOURI T Y , HAN Y S . FFT algorithm for binary extension finite fields and its application to Reed-Solomon codes[J]. IEEE Transactions on Information Theory, 2016, 62 (10): 5343- 5358.

DOI

8
TANG N Q , LIN Y . Fast encoding and decoding algorithms for arbitrary (n, k) Reed-Solomon codes over[J]. IEEE Communications Letters, 2020, 24 (4): 716- 719.

DOI

9
TANG N Q , HAN Y S . A new decoding method for Reed-Solomon codes based on FFT and modular approach[J]. IEEE Transactions on Communications, 2022, 70 (12): 7790- 7801.

DOI

10
MOON T K . Error correction coding: Mathematical methods and algorithms[M]. Hoboken: John Wiley & Sons, Inc., 2005.

11
HAN Y S , CHEN C , LIN S J , et al. On fast Fourier transform-based decoding of Reed-Solomon codes[J]. International Journal of Ad Hoc and Ubiquitous Computing, 2021, 36 (3): 180- 187.

DOI

12
TANG N Q , CHEN C , HAN Y S . Fast error and erasure decoding algorithm for Reed-Solomon codes[J]. IEEE Communications Letters, 2024, 28 (4): 759- 762.

DOI

13
REED I S , SOLOMON G . Polynomial codes over certain finite fields[J]. Journal of the Society for Industrial and Applied Mathematics, 1960, 8 (2): 300- 304.

DOI

14
SARWATE D V , SHANBHAG N R . High-speed architectures for Reed-Solomon decoders[J]. IEEE Transactions on Very Large Scale Integration (VLSI) Systems, 2001, 9 (5): 641- 655.

DOI

15
WU Y Q . New scalable decoder architectures for Reed-Solomon codes[J]. IEEE Transactions on Communications, 2015, 63 (8): 2741- 2761.

DOI

文章导航

/