1 测量方法与原理
1.1 测量原理
1.2 石英挠性梁变形分析
表 1 石英摆片尺寸 |
| 部件 | 长度/mm | 宽度/mm | 厚度/μm |
| 镀层 | 3.5 | 1.65 | 0.2 |
| 挠性梁 | 3.5 | 3.93 | 30 |
2 摆片仿真分析
2.1 模态仿真
表 2 有镀层与无镀层摆片特征频率 |
| 模态阶次 | 1 | 2 | 3 |
| 无镀层摆片特征频率/Hz | 22.64 | 179.9 | 579.8 |
| 有镀层摆片特征频率/MHz | 58.90 | 437.2 | 1 470 |
2.2 挠性梁变形仿真
表 3 双侧镀层与挠性梁模型尺寸 |
| 部件 | 长度/mm | 宽度/mm | 厚度/μm |
| 镀层 | 3.5 | 1.65 | 2 |
| 挠性梁 | 3.5 | 3.93 | 30 |
表 4 Δσf与w的关系 |
| ΔT/℃ | 3 | 6 | 9 | 12 |
| Δσf/MPa | 5.41 | 10.83 | 16.24 | 21.67 |
| w仿真结果/μm | 2.039 | 4.079 | 6.118 | 8.158 |
2.3 变形量对电容影响仿真
表 5 极板间电容随间距小范围变化情况 |
| d/μm | 20 | 30 | 40 | 50 | 60 | 80 | 100 |
| C/pF | 50.6 | 34.4 | 26.3 | 21.3 | 11.4 | 13.8 | 11.4 |
表 6 极板间电容随间距大范围变化情况 |
| d/μm | 120 | 140 | 160 | 180 | 200 | 500 | 1 000 |
| C/pF | 9.7 | 8.5 | 8.1 | 6.9 | 6.3 | 3.2 | 2.1 |
3 石英摆片原位测量装置
3.1 电容测量芯片
3.2 石英摆片夹具
3.3 可移动测量机构
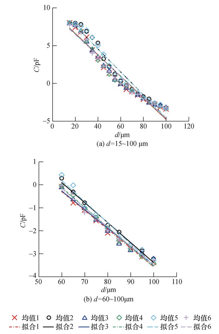
3.4 测量与标定
表 7 极板间距在15~100 μm变化时电容变化率 |
| 标定编号 | 1 | 3 | 4 | 5 | 6 |
| 拟合斜率/ (pF·μm-1) | -0.141 6 | -0.140 4 | -0.140 4 | -0.151 6 | -0.138 1 |
表 8 极板间距在60~100 μm变化时电容变化率 |
| 标定编号 | 1 | 3 | 4 | 5 | 6 |
| 拟合斜率/ (pF·μm-1) | -0.081 8 | -0.080 9 | -0.086 7 | -0.091 9 | -0.083 4 |
