1 方法及模型
1.1 研究方法
1.2 氢设施泄漏事件树分析
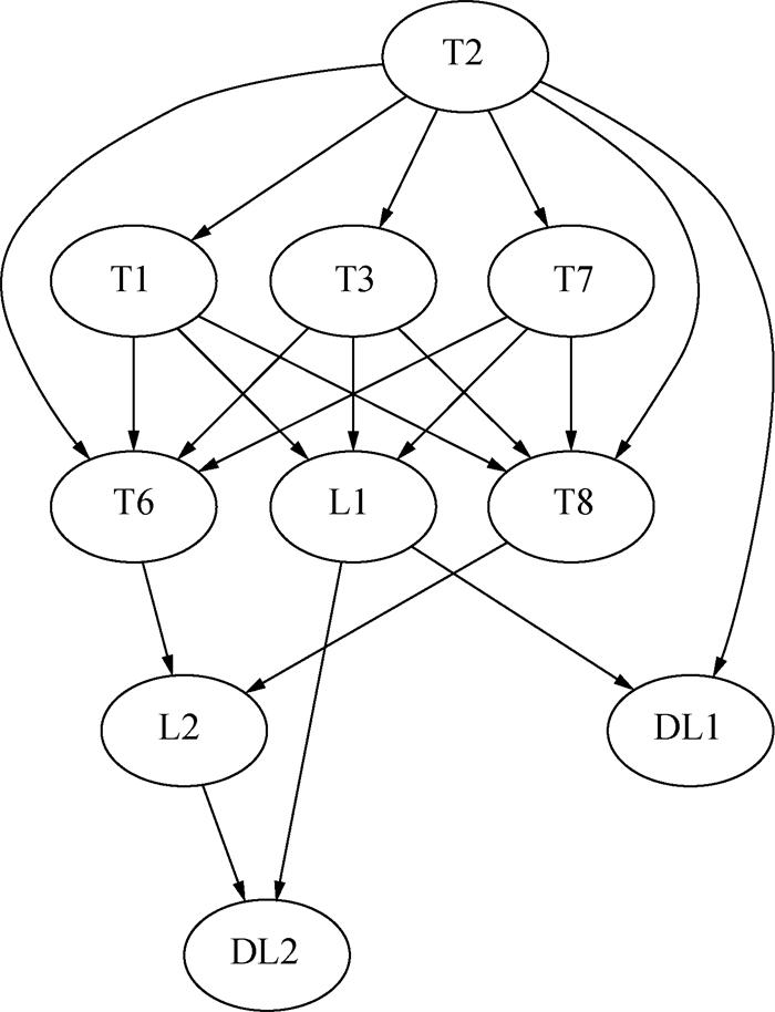
1.2.1 事件树拓扑结构
1.2.2 事件树节点频率
表 1 涉氢装置泄漏场景频率 |
| 泄漏场景 | 氢气球罐 | 氢气瓶 | 压缩机 | 管道 |
| 小孔泄漏 | 3.5×10-5 | 2.1×10-6 | 2.0×10-1 | 1.3×10-5 |
| 中孔泄漏 | 7.1×10-6 | 6.6×10-7 | 7.9×10-3 | 1.8×10-6 |
| 大孔泄漏 | 4.3×10-7 | 3.8×10-7 | 2.1×10-4 | 9.1×10-7 |
| 完全破裂 | 9.0×10-7 | 2.1×10-7 | 3.0×10-5 | 6.4×10-7 |
注:实际管道泄漏场景频率为表格结果与管道长度之积 |
1.3 多米诺风险定量计算
表 2 事件树分支计算所用模型 |
| 事故类型 | 物理效应 | 所用模型 |
| JF | 热辐射 | 虚拟喷嘴模型、加权多点源喷射火模型、气体状态参数模型 |
| VCE | 超压 | 虚拟喷嘴模型、积分扩散模型、气体状态参数模型、TNO模型 |
| FF | — | — |
| FB | 热辐射 | 火球模型 |
| CGEE | 超压 | 热力学有效性—虚拟距离TNT模型 |
1.4 Bayes网络
1.4.1 BN结构
1.4.2 Bayes网络参数
2 分析与讨论
2.1 分析案例
2.2 方法验证
2.3 综合风险分析
2.3.1 加氢站综合风险分析
2.3.2 储氢罐区敏感性分析
2.4 因果推理
表 4 储氢罐区T8中孔泄漏VCE各节点的状态升级概率 |
| 节点 | JF | VCE | FB | CGEE | ||||||||
| 小孔泄漏 | 中孔泄漏 | 大孔泄漏 | 小孔泄漏 | 中孔泄漏 | 大孔泄漏 | 完全破裂 | 完全破裂 | |||||
| 一级节点 | T3 | 2.6×10-1 | 2.9×10-1 | 3.7×10-2 | 1.3×10-2 | 1.4×10-2 | 1.8×10-3 | 3.5×10-2 | 8.1×10-2 | |||
| T7 | 2.6×10-1 | 2.9×10-1 | 3.7×10-2 | 1.3×10-2 | 1.4×10-2 | 1.8×10-3 | 3.4×10-2 | 8.0×10-2 | ||||
| T9 | 2.6×10-1 | 2.9×10-1 | 3.7×10-2 | 1.3×10-2 | 1.4×10-2 | 1.8×10-3 | 3.4×10-2 | 8.0×10-2 | ||||
| 二级节点 | T2 | 2.8×10-1 | 3.0×10-1 | 3.9×10-2 | 1.4×10-2 | 1.5×10-2 | 1.9×10-3 | 3.7×10-2 | 8.5×10-2 | |||
| T4 | 2.8×10-1 | 3.0×10-1 | 3.9×10-2 | 1.4×10-2 | 1.5×10-2 | 1.9×10-3 | 3.7×10-2 | 8.5×10-2 | ||||
表 5 加氢站C1大孔泄漏JF各节点的状态升级概率 |
| 节点 | JF | VCE | FB | CGEE | ||||||||
| 小孔泄漏 | 中孔泄漏 | 大孔泄漏 | 小孔泄漏 | 中孔泄漏 | 大孔泄漏 | 完全破裂 | 完全破裂 | |||||
| 一级节点 | T1 | 2.3×10-1 | 3.3×10-1 | 2.2×10-1 | 1.2×10-2 | 1.6×10-2 | 1.1×10-2 | 5.4×10-2 | 1.3×10-1 | |||
| T3 | 2.3×10-1 | 3.3×10-1 | 2.2×10-1 | 1.2×10-2 | 1.6×10-2 | 1.1×10-2 | 5.4×10-2 | 1.3×10-1 | ||||
| 二级节点 | T2 | 1.5×10-1 | 2.1×10-1 | 1.4×10-1 | 7.3×10-3 | 1.0×10-2 | 6.9×10-3 | 3.4×10-2 | 8.0×10-2 | |||
2.5 诊断推理
表 6 不同证据下的T8自失效泄漏概率推理结果 |
| 证据 | 小孔泄漏 | 中孔泄漏 | 大孔泄漏 | 完全破裂 |
| E6 | 0 | 1.5×10-1 | 1.9×10-2 | 8.3×10-1 |
| E7 | 0 | 1.4×10-1 | 1.8×10-2 | 8.4×10-1 |
注:E6和E7分别表示发生一级和两级多米诺事故的散列值 |
表 7 不同证据下的C1自失效泄漏概率推理结果 |
| 证据 | 小孔泄漏 | 中孔泄漏 | 大孔泄漏 | 完全破裂 |
| E8 | 0 | 2.7×10-1 | 5.5×10-1 | 1.9×10-1 |
| E9 | 0 | 3.1×10-1 | 5.2×10-2 | 1.6×10-1 |
注:E8和E9分别表示发生一级和两级多米诺事故散列值 |
