1 有限元分析模型
1.1 桩-土相互作用模型
表 1 桩-土相互作用有限元分析模型网格划分方法 |
| 工况 | 细网格 | 偏置网格 (最大网格) | 粗网格 | 数量/个 |
| 1 | 0.17D | 1.5D | 0.40D | 10 128 |
| 2 | 0.10D | 1.3D | 0.25D | 23 152 |
| 3 | 0.05D | 1.0D | 0.25D | 48 304 |
注:D为单桩外径。 |
1.2 砂土循环本构模型
表 2 福建标准砂亚塑性本构模型计算参数 |
| 功能分类 | 计算参数 | 数值 |
| 八参数亚塑性模型参数 | φ′ /(°) | 35.7 |
| hs/MPa | 3 060 | |
| n | 0.134 | |
| ec0 | 0.952 | |
| ed0 | 0.607 | |
| ei0 | 1.095 | |
| α | 0.11 | |
| β | 3.5 | |
| 粒间应变张量参数 | R | 1×10-4 |
| mR | 2.8 | |
| mT | 1.4 | |
| βR | 0.1 | |
| χ | 3.5 |
注:φ′为土体临界内摩擦角;hs为颗粒硬度;n为等比压缩参数;ec0为土体临界孔隙比;ei0为土体上限孔隙比,取值近似emax; ed0为土体下限孔隙比,取值近似emin; α为土体峰值强度控制参数;β为土体达到峰值强度时的应变控制参数;R为弹性范围;mR为应变方向改变180°时初始剪切刚度,mT为应变方向改变90°时初始剪切刚度;βR和χ为2个刚度随应变弱化速率参数。 |
1.3 有限元分析模型验证
表 3 单桩水平受荷离心机试验参数设置 |
| 参数 | D/m | L/D | e/m | Ep·Ip/(kN·m2) |
| 数值 | 5.9 | 9.3 | 23.0 | 1.1×107 |
注:D为单桩外径,L/D为单桩长径比,e为加载高度,(Ep·Ip)为单桩抗弯刚度。 |
2 循环荷载计算
表 4 大直径单桩风机基础动力响应计算工况 |
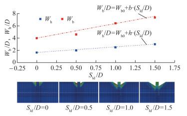
| 工况 | Vhub/(m·s-1) | Hs/m | Tp/s | Sd/D | L/D |
| NS-1 | 10.66 | 1.54 | 7.65 | 0 | 4.5 |
| NS-2 | 0 | 3.5 | |||
| GS-1 | 1.0 | 4.5 | |||
| LS-1 | 0.5 | 4.5 | |||
| LS-2 | 1.0 | 4.5 | |||
| LS-3 | 1.5 | 4.5 |
注:Vhub为风机轮毂高度平均风速,Hs为不规则波浪有义波高,Tp为不规则波浪谱峰周期,Sd/D为归一化平衡冲刷深度,L/D为单桩长径比。 |
