1 牵引电网-地铁网耦合模型
1.1 牵引电网建模
1.2 地铁网络建模
1.3 牵引电网与地铁网络耦合模型
2 耦合牵引电网失效影响下的地铁网络韧性模型
2.1 基于供需理论的牵引电网状态模型
2.2 考虑客流加权和出行时间阻抗的网络效率模型
2.3 地铁列车功率-速度映射函数
2.4 地铁网络韧性模型
3 仿真实验流程
4 案例分析
4.1 研究区域
4.2 数据获取与模型验证
表 1 研究区域地铁列车运行数据 |
| 地铁线路 | 列车型号 | 基础负荷/MW | 车头时距/min | 平均速度/(km·h-1) |
| 2号线 | B2 | 2.4 | 2 | 37 |
| 3号线 | B2 | 2.4 | 3 | 36 |
| 4号线 | B2 | 2.4 | 3.5 | 36 |
| 5号线 | B2 | 2.4 | 4 | 39 |
| 6号线 | B2 | 2.4 | 3.5 | 39 |
表 2 研究区域供电区间参数 |
| 编号 | 区间范围 | 地铁线路 | 负荷/MW |
| 1 | 西北工业大学—省人民医院·黄雁村 | 5号线 | 2.19 |
| 2 | 科技路—西北工业大学 | 6号线 | 1.43 |
| 3 | 小寨—大雁塔 | 3号线 | 2.35 |
| 4 | 大雁塔—青龙寺 | 3号线 | 4.36 |
| 5 | 青龙寺—建筑科技大学·李家村 | 5号线 | 3.63 |
| 6 | 建筑科技大学·李家村—西安科技大学 | 4号线 | 1.16 |
| 7 | 西安科技大学—大雁塔 | 4号线 | 1.43 |
| 8 | 科技路—小寨 | 3号线 | 6.14 |
| 9 | 省人民医院·黄雁村—文艺路 | 5号线 | 2.08 |
| 10 | 文艺路—建筑科技大学·李家村 | 5号线 | 0.67 |
| 11 | 南稍门—小寨 | 2号线 | 4.41 |
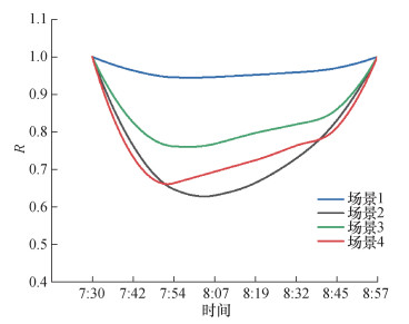
表 3 失效场景 |
| 失效场景 | 故障牵引变电站(PTi,ζ) | 部分失效供电区间(h) | 完全失效供电区间(h) |
| 1 | 省人民医院·黄雁村(2.13,2) | 1(2),9(2) | 7(1) |
| 2 | 科技路(3.78,2) 建筑科技大学·李家村(2.73,3) | 2(1),5(3) 6(1),10(1) | 8(3) |
| 3 | 小寨(8.65,3) 大雁塔(4.07,3) | 4(2),8(3) | 3(1),7(1) 11(2) |
| 4 | 省人民医院·黄雁村(2.13,2) 文艺路(1.38,2) 大雁塔(4.07,3) | 1(2),3(1) 4(2),10(1) | 5(3),7(1) 9(2) |
