Frontiers in New-Quality Communication Technology

Explicit construction of QC-LDPC codes based on the shifting sequence method

  • Guohua ZHANG 1 ,
  • Mei LI 1 ,
  • Mengjuan LOU 1 ,
  • Yi FANG , 2, *
Expand
  • 1. School of Communications and Information Engineering, Xi'an University of Posts and Telecommunications, Xi'an 710121, China
  • 2. School of Information Engineering, Guangdong University of Technology, Guangzhou 510000, China

Received date: 2024-12-02

  Online published: 2025-11-07

Copyright

All rights reserved. Unauthorized reproduction is prohibited.

Abstract

Objective: The performance of quasi-cyclic low-density parity-check (QC-LDPC) codes is adversely impacted by the presence of short cycles, particularly 4-cycles and 6-cycles. Existing methods to eliminate these short cycles can be generally divided into two categories: search-based methods and explicit methods. Search-based methods, such as symmetrical construction, typically involve extensive searches for exponent matrices that satisfy specific structural constraints. This results in a complex search process and high description complexity for QC-LDPC codes. In contrast, explicit methods, such as the greatest common divisor (GCD) and shifting sequence (SS) methods, leverage specific mathematical formulas to directly define the required exponent matrix. This eliminates the need for computer-based searches and leads to lower description complexity. Additionally, the column weight is a crucial factor influencing the performance of QC-LDPC codes. Existing explicit construction methods that ensure the absence of 4-cycles and 6-cycles are primarily applicable to QC-LDPC codes with column weight 3. However, methods suitable for column weight 4 are still relatively rare. The objective of this study is to investigate a novel explicit construction method for QC-LDPC codes with column weight 4, girth 8, and excellent decoding performance. Methods: Inspired by the SS method for constructing QC-LDPC codes with column weight 3, this paper introduces a novel SS method to design QC-LDPC codes with column weight 4. The core methodology involves two steps: directly defining two original sequences using mathematical formulas and then generating two derived sequences by right shifting the original sequences. These four sequences together form the required exponent matrix. Subsequently, an analysis is conducted to verify that for any circulant size above a certain lower bound, the governing equations for 4-cycles and 6-cycles do not hold. Finally, the sum-product algorithm (SPA) is employed to simulate the newly constructed codes and compare their decoding performances with those of several typical QC-LDPC codes. Results: Through a rigorous mathematical analysis of the governing equations for 4-cycles and 6-cycles, it is concluded that when the circulant size is greater than or equal to the difference between the maximum element and half of the row weight, neither 4-cycles nor 6-cycles exist. Moreover, due to the presence of 8-cycles, the newly constructed codes exhibit a girth of exactly 8. Simulation results indicate that the new codes outperform codes constructed using the GCD method and perform similarly to codes based on symmetrical construction but with a significantly simpler construction process. Furthermore, the new codes have the potential to outperform 5G codes in the high-signal-to-noise region. Conclusions: A novel explicit construction method for high-performance QC-LDPC codes is proposed, offering the following advantages: 1) applicability to any row weight L and 2) elimination of the need for exhaustive searches, allowing QC-LDPC codes to be explicitly constructed through mathematical formulas, thereby significantly reducing description complexity.

Cite this article

Guohua ZHANG , Mei LI , Mengjuan LOU , Yi FANG . Explicit construction of QC-LDPC codes based on the shifting sequence method[J]. Journal of Tsinghua University(Science and Technology), 2025 , 65(11) : 2017 -2023 . DOI: 10.16511/j.cnki.qhdxxb.2025.27.034

低密度奇偶校验(low-density parity-check, LDPC)码由Gallager于20世纪60年代首次提出[1],并在90年代复兴,因接近Shannon极限的卓越性能和较低的译码复杂度受到了广泛关注[2-3]。作为LDPC码的一种特殊类型,准循环(quasi-cyclic, QC)LDPC码凭借其在编码和译码硬件实现上的便利性[4-6]成为研究领域的热点。然而,QC-LDPC码的性能往往受到其Tanner图中短环的影响。短环的存在通常会增加误码率。因此,如何构造无短环的QC-LDPC码成为该领域研究的重点问题之一。
目前,消除短环的主要方法包括显式构造法[7-12]和搜索法[13-14]。在QC-LDPC码的构造中,显式构造法侧重于利用特定结构来构造所需的码,无须依赖计算机搜索;而搜索法(例如对称(symmetrical, SYM)法[13]等)通常基于一些结构约束和计算机搜索,搜索过程较复杂并且码的描述复杂度高。如果QC-LDPC码的Tanner图中没有长度小于8的环,那么其围长(girth)至少为8。如何显式地构造围长为8的QC-LDPC码,是具有挑战性的研究方向。
(J, L)-规则QC-LDPC码的校验矩阵是一个J×L的阵列,其中JL分别为校验矩阵的列重和行重。J对于QC-LDPC码的性能有较重要的影响,已有研究一般围绕J为3和J为4的情况进行研究。J为3时的显式构造方法相对较多,例如Vasic等[7]基于“最早序列”提出了一类围长为8的(3, L)-规则QC-LDPC码;Zhang等[8]基于移位序列(shifting sequence, SS)提出了一类围长为8的(3, L)-规则QC-LDPC码。J为4的显式构造方法比J为3的难度更大,目前只有几种,例如Liu等[9]首次使用显式方法构造出围长为8的(4, L)-规则QC-LDPC码;张国华等[10]基于max函数提出了一种围长为8的(4, L)-规则QC-LDPC码的显式构造方法;此外,也可利用最大公约数(greatest common divisor, GCD)方法构造围长为8的(4, L)-规则QC-LDPC码[11]
受这些显式构造方法的启发,并基于研究团队前期利用SS构造的围长为8的(3, L)-规则QC-LDPC码[8],本研究提出了一种基于SS构造围长为8的(4, L)-规则QC-LDPC码的显式方法,该方法无须依赖计算机搜索,能够通过公式直接生成所需的码,且描述复杂度很低。

1 QC-LDPC码简介

1.1 指数矩阵及循环块尺寸

LDPC码作为一种线性分组码,通常由一个二进制稀疏奇偶校验矩阵(PCM)H的零空间定义。(J, L)-规则QC-LDPC码的PCM由相同大小的循环块构成。本文在QC-LDPC码的构造中使用的循环块为循环置换矩阵(circulant permutation matrix, CPM),其PCM可以用一个J×L的指数矩阵E和循环块尺寸P共同描述。指数矩阵E的形式如(1)所示:
$\begin{gather*}\boldsymbol{E}= \\\left(\begin{array}{cccc}e(0, 0) & e(0, 1) & \cdots & e(0, L-1) \\e(1, 0) & e(1, 1) & \cdots & e(1, L-1) \\\vdots & \vdots & & \vdots \\e(J-1, 0) & e(J-1, 1) & \cdots & e(J-1, L-1)\end{array}\right) _{J\times L}. \end{gather*} $
其中:e(r, i)代表E中的元素(0≤rJ-1, 0≤iL-1),且e(r, i)∈{0, 1, …, P-1}。指数矩阵E中的每个元素e(r, i)均对应于一个特定的P×P的CPM。具体来说,这个CPM是一个P×P的矩阵,其第零行中唯一的非零元素位于第e(r, i)列,其余每行则是将其前一行向右循环移动一个位置得到。

1.2 4环和6环的存在条件

短环通常指长度为4(简记为4环)和长度为6的环,是影响QC-LDPC码性能的一个重要因素。在QC-LDPC码中,围长是指最短环的长度,是一个不小于4的偶数。在Tanner图中,任意长度为2l(l为正整数)的环均可以通过模等式来表达[4]。以下叙述4环和6环存在的条件:
1) 假设ij是2个不同的列索引(0≤ijL-1),而rs是2个不同的行索引(0≤rsJ-1)。
用“(r, s; i, j)-4环”表示位于指数矩阵的第r行和第s行,以及第i列和第j列中长度为4的环,4环可用如下等式表示:
$\begin{gather*}e(r, i)-e(s, i)+e(s, j)- \\e(r, j)=0({\rm{mod}}\ P) .\end{gather*}$
2) 假设ijk是3个不同的列索引(0≤i, j, kL-1),而rst是3个不同的行索引(0≤rstJ-1)。
用“(r, s, t; i, j, k)-6环”表示位于指数矩阵的第r、第s和第t行,以及第i、第j和第k列中长度为6的环,6环可用如下等式表示:
$\begin{gather*}e(r, i)-e(t, i)+e(t, k)-e(s, k)+ \\e(s, j)-e(r, j)=0({\rm{mod}}\ P) .\end{gather*}$
通过巧妙地设计指数矩阵E,可以有效消除Tanner图中的4环和6环,从而提升QC-LDPC码的译码性能。本研究基于移位序列,提出了一种适用于任意行重L的新显式构造法,能够确保新码不存在4环和6环,即新码围长至少为8。

2 基于SS构造的围长为8的新码

2.1 新码构造方法

ESS为一个4×L的指数矩阵,其每一行的定义如式(4)所示:
$\left\{\begin{array}{l}e(0, i)={\rm{mod}}\ (i, 2) \cdot(i+1) / 2 , \\e(1, i)={\rm{mod}}\ (i-1, 2) \cdot i / 2, \\e(2, i)=(i+1) \cdot(i / 2+L) , \\e(3, i)=i \cdot[(i-1) / 2+L].\end{array}\right.$
其中0≤iL-1。为了清晰地理解指数矩阵ESS的结构,给出一个示例:令L=7,得到如下指数矩阵
$\boldsymbol{E}_{\mathrm{SS}}=\left(\begin{array}{ccccccc}0 & 1 & 0 & 2 & 0 & 3 & 0 \\0 & 0 & 1 & 0 & 2 & 0 & 3 \\7 & 15 & 24 & 34 & 45 & 57 & 70 \\0 & 7 & 15 & 24 & 34 & 45 & 57\end{array}\right) .$
观察式(5)可知,除第一行和第三行的第零个元素外,其余元素均为上一行元素向右移动一个位置所得,这表明上述矩阵具有移位特性。为方便后续证明,新码的移位特性可表示为如下等式:当1≤iL-1时,e(1, i)=e(0, i-1),否则e(1, 0)=0;当1≤iL-1时,e(3, i)=e(2, i-1),否则e(3, 0)=0。

2.2 围长特性为8的证明

$ \lfloor L / 2\rfloor$表示不超过L/2的最大整数。
引理1  对于任意CPM循环块尺寸Pe(2, L-1)-L+1=L[(L-1)/2+L]-L+1,指数矩阵ESS对应的Tanner图中无4环。
证明  设ij是不同的列索引,0≤ijL-1。因此,需分别考虑以下6种情形。
情形1:(0, 1; i, j)-4环。
基于特殊值e(1, 0),考虑以下2种情况:
1) i=0,依据移位特性,式(2)可转化为e(0, j-1)-e(0, j)=0(mod P),这显然不成立;
2) i≥1,依据移位特性,式(2)可转化为e(0, i)-e(0, i-1)+e(0, j-1)-e(0, j)=0(mod P)。由于等式左侧(简写为LHS)不为0,因此得出0<|LHS|≤L-1<P。这表明在(0, 1)行存在4环的假设是不成立的。
情形2:(0, 2; i, j)-4环。
根据|e(2, j)-e(2, i)|>L及|e(0, j)-e(0, i)|<L,可得LHS≠0。由于|LHS|≤L[(L-1)/2+L]-LP,因此式(2)不成立。这表明在(0, 2)行不存在4环。
需要说明的是,当i=0,j=L-1(L为奇数)时,可知P的下界为e(2, L-1)-L+1。
情形3:(0, 3; i, j)-4环。
由于|e(3, j)-e(3, i)|≥L且|e(0, j)-e(0, i)|<L,可得LHS≠0。又因e(3, j)-e(3, i)<e(2, j)-e(2, i),故有|LHS|<|e(0, i)-e(2, i)+e(2, j)-e(0, j)|。基于情形2可知在(0, 3)行不存在4环。
情形4:(1, 2; i, j)-4环。
由于|e(2, j)-e(2, i)|>L且|e(1, j)-e(1, i)|<L,可得LHS≠0。基于特殊值e(1, 0),考虑以下2种情况:
1) i=0,|LHS|≤L[(L-1)/2+L]-LP,显然式(2)不成立;
2) i≥1,由于|LHS|≤L[(L-1)/2+L]-(2L+1)<P,这与式(2)矛盾。由此可得,在(1, 2)行不存在4环。
需要说明的是,当i=0,j=L-1(L为偶数)时,可知P的下界为e(2, L-1)-L+1。
情形5:(1, 3; i, j)-4环。
由于|e(3, j)-e(3, i)|≥L且|e(1, j)-e(1, i)|<L,可得LHS≠0。又因e(3, j)-e(3, i)<e(2, j)-e(2, i),故有|LHS|<|e(1, i)-e(2, i)+e(2, j)-e(1, j)|。基于情形4可知在(1, 3)行不存在4环。
情形6:(2, 3; i, j)-4环。
基于特殊值e(3, 0),考虑以下2种情况:
1) i=0,由于LHS=-j,因此式(2)不成立;
2) i≥1,|LHS|=j-iP,可知式(2)亦不成立。因此,在(2, 3)行不存在4环。
根据上述证明可知,新码无4环。证毕。
引理2  对于任意CPM循环块尺寸Pe(2, L-1)-$ \lfloor L / 2\rfloor$=L[(L-1)/2+L]-$ \lfloor L / 2\rfloor$,指数矩阵ESS对应的Tanner图中无6环。
证明  设ijk是不同的列索引(0≤i, j, kL-1)。因此需要分析以下4种情形。
情形1:(0, 1, 2; i, j, k)-6环。
由于|e(2, k)-e(2, i)|>L且|e(1, k)-e(1, j)+e(0, j)-e(0, i)|<L,可得LHS≠0。在这3行中,特殊值为e(1, 0),因此需考虑以下3种情况:
1) j≠0且k≠0,由于$ |\mathrm{LHS}|<L[(L-1) / 2 +L]-L+\lfloor L / 2\rfloor \leqslant P$,因此式(3)不成立;
2) j=0,式(3)变为e(0, i)-e(2, i)+e(2, k)-e(1, k)=0(mod P),由于|LHS|≤L[(L-1)/2+L]-(2L+1)+1<P,矛盾;
3) k=0,经分析,当L为偶数时,$ |\mathrm{LHS}| <L [(L-1) / 2+L]-L+\lfloor L / 2\rfloor \leqslant P$;当L为奇数时,$ |\mathrm{LHS}| \leqslant L[(L-1) / 2+L]-L+\lfloor L / 2\rfloor <P$。因此,在(0, 1, 2)行不存在6环。
需要说明的是,当i=0,j=L-2,k=L-1(L为偶数)或i=L-1,j=L-2,k=0(L为奇数)时,可知P的下界为e(2, L-1)-$ \lfloor L / 2\rfloor$,不能再小。
情形2:(0, 1, 3; i, j, k)-6环。
考虑到|e(3, k)-e(3, i)|≥L且|e(0, j)-e(0, i)+e(1, k)-e(1, j)|<L,可得LHS≠0。又因|e(3, k)-e(3, i)|<|e(2, k)-e(2, i)|,故有|LHS|<|e(0, i)-e(2, i)+e(2, k)-e(1, k)+e(1, j)-e(0, j)|。基于情形1可知在(0, 1, 3)行不存在6环。
情形3:(0, 2, 3; i, j, k)-6环。
通过对式(3)左侧加项减项(引入e(2, i))并化简可知,当且仅当e(0, i)+e(2, j)-e(0, j)-e(2, i)=k-i时,LHS=0。由于|k-i|<L且|e(0, i)+e(2, j)-e(0, j)-e(2, i)|≥L,可得LHS≠0。在这3行中,特殊值为e(3, 0),因此需考虑以下3种情况:
1) i≠0且k≠0,由于|LHS|≤L[(L-1)/2+L]-(L+1)<P,因此式(3)不成立;
2) i=0,由于|LHS|≤L[(L-1)/2+L]-(L+1)<P,与式(3)相矛盾;
3) k=0,由于|LHS|≤L[(L-1)/2+L]-L-L+1<P,式(3)同样不成立。因此在(0, 2, 3)行不存在6环。
情形4:(1, 2, 3;i, j, k)-6环。
采用与情形3相同的证明方法,可得LHS≠0。在这3行中,特殊值为e(1, 0)和e(3, 0),因此需考虑以下4种情况:
1) i, j, k≠0,由于|LHS|≤L[(L-1)/2+L]-L-(L+2)<P,因此式(3)不成立;
2) i=0,由于|LHS|≤L[(L-1)/2+L]-(L+1)<P,式(3)同样不成立;
3) j=0,由于LHS=e(1, i)-e(3, i)+e(3, k)-e(2, k)+L<0,可得|LHS|≤(L-1)[(L-2)/2+L]+L-2=L[(L-1)/2+L]-L-1<P,与式(3)矛盾;
4) k=0,由于|LHS|≤L[(L-1)/2+L]-L-LP,与式(3)矛盾。因此在(1, 2, 3)行不存在6环。
根据以上证明可知,新码无6环。证毕。
需要注意的是,由无4环的情形2和情形4可知,P的下界为e(2, L-1)-L+1。由无6环的情形1可知,P的下界为$ e(2, L-1)-\lfloor L / 2\rfloor$
由于指数矩阵中包含子矩阵[0 1 0 2; 0 0 1 0],因此存在等式(1-0)+(0-2)+(0-0)+(1-0)=0(mod P),这表明在该指数矩阵中存在不依赖于P的8环。因此根据引理1和引理2可得以下定理:
定理1  对于任意CPM循环块尺寸Pe(2, L-1)-$ \lfloor L / 2\rfloor$=L[(L-1)/2+L]-$ \lfloor L / 2\rfloor$,指数矩阵ESS对应的Tanner图围长为8。

3 性能仿真

本节将新码与现有的4种QC-LDPC码进行对比。仿真过程采用BPSK调制、加性Gauss白噪声(additive white Gaussian noise, AWGN)信道和最大迭代次数为50的和积译码算法(sum-product algorithm, SPA)。
以下通过5个例子展示新码的性能。首先,与基于GCD方法构造的码对比,新码在性能上展现出显著的优势。其次,仿真表明,随着P的增加,新码性能逐渐提高,并且在高信噪比下优于GCD方法构造的码。然后,新码与文[13]中的对称码以及通过随机搜索得到的对称码相比,性能非常相近,但新码不需要搜索且描述复杂度低。此外,与J为3的SS码[8]相比,J为4的新码性能更优。进一步地,与5G码进行对比,新码在高信噪比下具有超越5G码的潜力。

3.1 新码与GCD码的性能对比

L=10,构造2个围长为8的(4, L)-规则QC-LDPC码。根据定理1可知,在P≥140时,ESS对应一个围长为8的(4, 10)-规则QC-LDPC码。选择P=140,根据2.1节构造方法产生一个新码。为进行对比,采用现有元组[0, 1, L, L+1]生成一个GCD码[11](J=4时的GCD方法等价于文[9]中的方法)。新码与GCD码的比特错误率(bit error rate, BER)和分组错误率(block error rate, BLER)曲线如图 1所示。由图可知,信噪比超过2.5 dB时,新码的性能显著优于GCD码。
图 1 新码与GCD码的译码性能对比(L=10)

3.2 不同P时新码与GCD码的性能对比

某些应用场合期望在使用相同指数矩阵的前提下,通过调整P生成不同码长的QC-LDPC码。设L=8。根据2.1节构造方法生成的新码与现有元组[0, 1, L, L+1]生成的GCD码[11]在4种P值下的BER曲线如图 2所示。由图可知,当P以等步进(本小节设为22)变化时,新码的性能随着P的增加逐渐提高,且在高信噪比区域显著优于GCD码。
图 2 新码与GCD码在不同循环块尺寸下的译码性能对比(L=8)

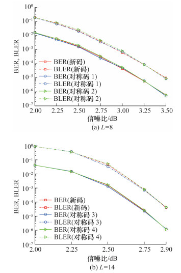
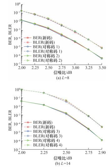
3.3 新码与对称码的性能对比

L=8且P=88。首先根据2.1节的构造方法产生一个新码。选择对称码1(详见文[13]中的表2),经验证P=88时其围长为8。另外,随机产生一个P=88且围长为8的对称码2。新码和对称码的BER和BLER曲线如图 3a所示。
图 3 新码与对称码的译码性能对比
L=14且P=280。根据2.1节的构造方法产生一个新码。选择对称码3(详见文[13]中的表2),经验证P=280时其围长为8。另外,随机产生一个P=280且围长为8的对称码4。新码和对称码的BER和BLER曲线如图 3b所示。
图 3a图 3b可知,在仿真的信噪比范围内,新码的性能与对称码非常相似。然而,新码的优势是指数矩阵的构造无须搜索且描述复杂度低。

3.4 新码与已有SS码的性能对比

本小节比较2个JL不同但码率相同的QC-LDPC码。首先,通过2.1节的构造方法产生一个新码(J=4,L=12,P=204)。然后,利用已有SS方法[8]产生一个基准码(J=3,L=9,P=272)。新码和SS基准码的BER和BLER曲线如图 4所示。由图可知,J为4的新码的性能在中高信噪比区明显超过J为3的SS基准码。
图 4 新码(J=4)与SS基准码(J=3)的译码性能对比

3.5 新码与5G码的性能对比

为了比较新码与5G码的性能,首先根据2.1节中的构造方法产生了一个新码(J=4,L=8,P=140),并对其进行掩膜(Masking)操作,掩膜矩阵M满足M(i, i)=M(i, i+4)=0,0≤i≤3,且其余位置均为1。然后,设定P=56且选择BG2矩阵前12行和前22列(前两列被打孔)对应的指数矩阵[5];该指数矩阵对应于一个5G (1 120, 560)QC-LDPC码。新码和5G码的BER和BLER曲线如图 5所示。由图可知,掩膜后新码的性能在高信噪比区域有超越5G码的趋势。
图 5 新码与5G码的译码性能对比

4 结论

本文提出了一种构造围长为8的(4, L)-规则QC-LDPC码的显式方法,该方法通过特定公式定义的指数矩阵具有移位特性。译码性能对比表明,新码在性能上优于GCD码;新码与对称码性能接近,但无须搜索且描述复杂度低;新码在高信噪比区域有超越5G码的潜力。总之,新码具有以下特点:1) 适用于任意行重L;2) 无须借助计算机搜索,可以凭借公式显式构造,描述复杂度低。
1
GALLAGER R . Low-density parity-check codes[J]. IRE Transactions on Information Theory, 1962, 8 (1): 21- 28.

DOI

2
葛广君, 殷柳国. 卫星高速数传系统多码率融合LDPC编码器设计[J]. 清华大学学报(自然科学版), 2016, 56 (6): 656- 660.

DOI

GE G J , YIN L G . Multi-rate LDPC encoder for high-speed satellite data transmissions[J]. Journal of Tsinghua University (Science and Technology), 2016, 56 (6): 656- 660.

DOI

3
SONG L Y , YU S Y , HUANG Q . Low-density parity-check codes: highway to channel capacity[J]. China Communications, 2023, 20 (2): 235- 256.

DOI

4
FOSSORIER M P C . Quasi-cyclic low-density parity-check codes from circulant permutation matrices[J]. IEEE Transactions on Information Theory, 2004, 50 (8): 1788- 1793.

DOI

5
ZHANG G H , LOU M J , SUN A J , et al. Dual-diagonal QC-LDPC codes free of small cycles from GCD framework via negative coefficients[J]. IEEE Communications Letters, 2024, 28 (12): 2724- 2728.

DOI

6
ZHANG G H, SUN A J, LIU L, et al. Short regular girth-8 QC-LDPC codes from exponent matrices with vertical symmetry [C]// 2024 IEEE International Symposium on Information Theory (ISIT). Athens, Greece: IEEE, 2024: 647-652.

7
VASIC B , PEDAGANI K , IVKOVIC M . High-rate girth-eight low-density parity-check codes on rectangular integer lattices[J]. IEEE Transactions on Communications, 2004, 52 (8): 1248- 1252.

DOI

8
ZHANG G H , SUN R , WANG X M . Several explicit constructions for (3, L) QC-LDPC codes with girth at least eight[J]. IEEE Communications Letters, 2013, 17 (9): 1822- 1825.

DOI

9
LIU K K, FEI Z S, KUANG J M. Novel algebraic constructions of nonbinary structured LDPC codes over finite fields [C]// 2008 IEEE 68th Vehicular Technology Conference. Calgary, AB, Canada: IEEE, 2008: 1-5.

10
张国华, 孙蓉, 王新梅. 围长为8的QC-LDPC码的显式构造及其在CRT方法中的应用[J]. 通信学报, 2012, 33 (3): 171- 176.

ZHANG G H , SUN R , WANG X M . Explicit construction of girth-eight QC-LDPC codes and its application in CRT method[J]. Journal on Communications, 2012, 33 (3): 171- 176.

11
WANG J H , ZHANG J H , ZHOU Q , et al. Full-length row-multiplier QC-LDPC codes with girth eight and short circulant sizes[J]. IEEE Access, 2023, 11, 22250- 22265.

DOI

12
MAJDZADE M , GHOLAMI M . On the class of high-rate QC-LDPC codes with girth 8 from sequences satisfied in GCD condition[J]. IEEE Communications Letters, 2020, 24 (7): 1391- 1394.

DOI

13
TASDIGHI A , BANIHASHEMI A H , SADEGHI M R . Symmetrical constructions for regular girth-8 QC-LDPC codes[J]. IEEE Transactions on Communications, 2017, 65 (1): 14- 22.

14
KHARIN A, DRYAKHLOV A, MIROKHIN E, et al. An approach to the generation of regular QC-LDPC codes with girth 8 [C]// 2020 9th Mediterranean Conference on Embedded Computing (MECO). Budva, Montenegro: IEEE, 2020: 1-4.

Outlines

/