Microgravity Combustion

Review and prospect of microgravity single droplet combustion research

  • Haiyu SONG 1 ,
  • Hengyi ZHOU 1 ,
  • Wenyi ZHANG 1 ,
  • Zixuan DING 1 ,
  • Yuhang SUN 1 ,
  • Yucheng LIU , 1, 2, *
Expand
  • 1. Center for Combustion Energy, Department of Energy and Power Engineering, Tsinghua University, Beijing 100084, China
  • 2. Key Laboratory for Thermal Science and Power Engineering of Ministry of Education, Tsinghua University, Beijing 100084, China

Received date: 2024-04-29

  Online published: 2025-08-30

Copyright

All rights reserved. Unauthorized reproduction is prohibited.

Abstract

Significance: Single droplet combustion in a microgravity environment is an important model for understanding spray combustion. This study aims to enrich the theory of droplet combustion, providing crucial insights for practical applications such as engine design of aerospace and other spray combustion systems. Progress: By combining single droplet combustion experiments in microgravity with numerical simulations, this study discusses unique phenomena and analyzes the influence of various uncertainties, such as experimental methods and environmental conditions, on combustion characteristics. This study begins by explaining the D2 law, a fundamental theory of single droplet combustion, and its influencing factors. Then, it focuses on the suspending fiber wire technique, analyzing how it affects droplet combustion characteristics. This study examines soot shell formation, flame extinction phenomena, and cool flames during droplet combustion, discussing the mechanisms behind soot shell generation and its influence on the combustion process. The single-droplet flame, a typical diffusion flame, is affected by radiation extinction and diffusion extinction. The cool flame is controlled by the low-temperature oxidation reaction of hydrocarbon fuel, leading to a complex multistage ignition process in droplet combustion. In addition, this study reviews how high-pressure environments affect combustion characteristics and explores phenomena such as preferential evaporation and possible microexplosions during multicomponent droplet combustion. Finally, research on alternative fuels and biofuels reveals that biofuels produce considerably lower soot emissions than conventional hydrocarbon fuels. Conclusions and Prospects: By combining experiments and numerical simulations, this study expanded basic combustion theory through new phenomena observed in microgravity experiments, offering new ideas for developing microgravity experiments and improving numerical models. These experiments on single-droplet combustion in a microgravity environment made several important contributions: using new phenomena to address gaps in droplet combustion theory; revealing fundamental characteristics of autoignition, quasi-steady-state combustion, and extinction of different liquid fuels through experiments under reduced buoyancy convection conditions; and establishing a novel theoretical framework for droplet combustion based on multistage reaction flame structures. However, the experimental and theoretical aspects of single-droplet combustion in the microgravity environment still face several challenges: deficiencies in optical diagnostics for high-pressure combustion experiments, the lack of a large amount of experimental data to support relevant theories in high-pressure environments, the controversy of the pressure effect in microexplosions, insufficient experimental data for practical fuel surrogates, the difficulty in accurately using simple models with few components to develop representations of complex surrogates for practical fuels, and the lack of research data on new liquid fuels (e.g., biodiesel). Addressing these challenges can provide theoretical support for developing new combustion technologies and facilitate the transition to green and low-carbon energy solutions.

Cite this article

Haiyu SONG , Hengyi ZHOU , Wenyi ZHANG , Zixuan DING , Yuhang SUN , Yucheng LIU . Review and prospect of microgravity single droplet combustion research[J]. Journal of Tsinghua University(Science and Technology), 2025 , 65(9) : 1736 -1762 . DOI: 10.16511/j.cnki.qhdxxb.2024.27.037

近几十年来,化石燃料的需求量持续占据全球总能源需求量的80%以上。其中石油和生物质衍生出的液体燃料由于具备高能量密度、易储存等优势被广泛应用于工业燃烧设备和各类发动机中。在“双碳”目标的驱动下,能源动力系统中燃料从高碳转向低碳的需求日益迫切,这对于各类燃料在极端工况下应用效果的预测能力提出了更高要求,然而许多燃烧研究在常重力条件下因浮力效应难以得到很好的实验结果。因此,开展微重力燃烧基础性研究,通过微重力条件下的实验得到解耦浮力对流的基础燃烧实验数据十分重要,并有望推进基础燃烧研究的成果进一步向创新性的燃烧技术转化。随着中国微重力和空间基础科学的迅速发展,中国空间站梦天实验舱的燃烧科学实验柜和相应的燃烧科学实验系统已投入使用,并完成一系列的气体燃烧实验[1],这对中国地基和在轨微重力燃烧实验有着全面的促进作用,也为国内外的空间科学学科提供前所未有的机遇。
目前液体燃料在发动机中均以喷雾燃烧的方式完成从化学能到热能的能量转换。在典型的湍流喷雾场中,单液滴和液滴群作为重要组元被广泛研究。若考虑将单液滴燃烧作为喷雾燃烧子模型,则单液滴采用一维球形结构,蒸发速率可通过经典的直径平方(D2)定律提供理论解,并可由无对流条件拓展至对流条件,使喷雾燃烧数值仿真能在Euler相(气相)计算反应动力学和喷雾液滴流动间起交互作用。其中液滴蒸发的子模型用于Lagrange相,大大地提高了计算效率。另一方面,具有球对称结构的液滴火焰能对气液互溶与输运、多组分优先性蒸发、气相反应动力学等微观现象所导致的着火延迟、火焰结构、燃烧速率等宏观参数进行研究,是多相燃烧问题中最具代表性的一类简化问题。单液滴是忽略了周围液滴影响而简化出来的理论假设,而实际喷雾中液滴间存在相互影响,相关研究常针对液滴阵列或液滴群展开。液滴阵列是被挂丝固定的二维或三维液滴群,用来研究液滴之间的相互作用。将液滴三维阵列位置固定是研究液滴群燃烧的一种重要手段[2]。如果液滴间隔较近,彼此之间的蒸发存在相互影响,液滴群通常形成一个整体燃烧,即群燃烧。Chiu等[3]最早基于准稳态、单步总包化学的假设发展了液滴群燃烧理论,推导得出的无量纲数G能够预测液滴群所处的燃烧模式,包括单液滴燃烧、液滴内群燃烧、液滴外群燃烧和外包燃烧,但这一基于准稳态提出的液滴群燃烧理论被后人发现不能准确预测液滴群的瞬态着火行为。Zhou等[4]基于液滴群蒸发薄层的物理特征提出了新的无量纲数Gig$ G_{\mathrm{ig}}=4 \pi n^{\frac{2}{3}} d^2$,其中n为液滴数密度,d为液滴直径,使用该参数能够准确预测液滴群多段着火行为的区域。描述液滴阵列中蒸发、着火和火焰传播比较经典的为渗流理论[5]。渗流理论关注火焰在液滴群中间传播,认为火焰在液滴群内部传播是由一个或多个燃烧的液滴激发,火焰能够吞噬周围的液滴,或者激发周围液滴的自着火,从而使得火焰成功在液滴群内传播并形成液滴群燃烧。此外,研究者们还利用微重力环境实验研究了液滴阵列的火焰传播和自着火,详细分析了传热传质与化学反应之间的竞争关系[6-7],完成了微重力下液滴阵列(包含一维至三维阵列)火焰传播实验,利用实验讨论了各类情况下火焰在燃料液滴间的蔓延现象,包含随机分布液滴云火焰扩散极限、群点燃、冷火焰等,为喷雾燃烧提供了重要的基础数据和理解[2, 8-10]
近几十年来,微重力液滴燃烧实验通过地面落塔、抛物线飞机、探空火箭、绕轨航天器等实现。1957年,日本学者Kumagai等[11]利用地面1 s的落塔首次观察了正庚烷液滴在不同加速度下的燃烧情况,获得了相关燃料液滴的燃烧速率,用于验证液滴燃烧理论模型。后续Bremen落塔、美国国家宇航局(National Aeronautics and Space Administration, NASA)Glenn落塔、德国宇航中心(Deutsches Zentrum für Luft-und Raumfahrt, DLR)抛物线飞机等各类设施也被用于微重力液滴燃烧实验。随着国际空间站(International Space Station, ISS)的发展和太空微重力实验平台的建立,更多类型和更复杂情况的微重力实验在较高水平的微重力环境中开展。NASA在ISS建立了多用户液滴燃烧腔体(multi-user droplet combustion apparatus,MDCA),并进行了包括液滴火焰熄灭(flame extinguishment experiment, FLEX)、冷火焰研究(cool flames investigation, CFI)等系列液滴燃烧实验。日本宇宙航空研究开发机构(Japan Aerospace Exploration Agency, JAXA)使用Kibo模组多功能小载荷实验柜(multi-purpose small payload rack, MSPR)进行了液滴阵列火焰实验等微重力燃烧实验,这些实验为发展理想流场下的基础火焰理论提供了可靠的实验数据。
微重力单液滴燃烧实验一般分为外界辅助点火实验[12]和自着火实验[13]。外界辅助点火实验的点火方式包括电热丝点火和电火花点火。单液滴通常是通过挂丝或热电偶头来固定。微重力液滴燃烧中的重要研究对象包括燃烧速率、火焰面直径、碳烟壳直径以及熄灭直径等参数。此外,通过单液滴燃烧实验结合数值模拟,对单液滴燃烧实验中出现的特殊现象及各种不确定外界因素的影响进行讨论,以揭示理论模型中的不确定性。本文逐一介绍了单液滴燃烧的基础理论,即液滴经典D2定律及其模型;单液滴燃烧实验常用的方法与技术;微重力下碳烟壳的生成及其对燃烧过程的影响;液滴火焰熄灭现象及其主要控制因素;低温化学引发的液滴冷火焰现象;高压环境对单液滴燃烧特性及模拟研究的影响;多组分单液滴相关燃烧特性;实际燃料燃烧的应用研究。最后指出目前微重力单液滴燃烧相关实验和理论研究存在的挑战。

1 单液滴经典D2定律

自20世纪50年代初,单液滴燃烧一直被认为是喷雾燃烧的重要基础过程。最初的理论模型于1953年由Godsave[14]和Spalding[15]提出。如图 1所示,单液滴在无限氧化介质中的燃烧模型中包含以下假设:1) 球对称的单液滴在无限大空间内达到准稳态蒸发;2) 火焰面厚度无穷小、温度为绝热火焰温度;3) 恒定的气相传输特性,Lewis数等于1;4) 不考虑碳烟和辐射;5) 液滴内部处于完全混合状态,温度为沸点等。在这些假设基础上推导出的关系式预测了同种燃料液滴燃烧速率(液滴直径平方的下降速率)为定值,即D2定律,并提供了火焰与液滴直径比(FSR)及单组分液滴燃烧的绝热火焰温度。分析还显示,在低温环境下,液滴的蒸发速率由扩散过程控制;在高温情况下,则由传热过程控制。
图 1 单液滴在无限氧化介质中的燃烧模型示意图[16]
尽管该模型在描述燃料液滴汽化过程中表现出色,但随着实验技术和数值模拟的不断发展,该模型的一些基础假设和预测受到了挑战[17-18]。研究表明D2定律所依赖的准稳态假设在实际燃烧环境中往往不成立。化学反应的有限速率、瞬态加热过程、非单位Lewis数、燃料蒸气在液滴附近的积聚、变化的输运性质、燃烧产物中的水凝结成液态以及碳烟和辐射等都会对液滴的燃烧过程产生影响。
Crespo等[19]和Chin等[20]的研究发现,在稳态液滴蒸发前存在一个非稳态加热期。在液滴加热的初始阶段,观察到液滴最初吸收的热量将用于将液体加热至其平衡温度,达到此温度后,进一步传递到液滴中的热量将被用来汽化液体。如果忽略这一加热期,液滴蒸发速率和寿命的计算结果则会产生较大误差。其后,Chauveau等[21]发现,在微重力条件下,当环境温度低于约950 K时,D2定律不再适用。这一现象可以通过液滴表面周围流场的“特征速度”来解释,这一速度决定了蒸汽从液滴表面的输运能力;存在一个临界蒸汽速度,超过此速度可防止大量蒸汽在液滴周围积聚,从而使D2定律得以应用。考虑到微重力环境下对流的减少,可以推断,在微重力条件下液滴蒸发并不一定符合D2定律。此外,微重力实验中使用的纤维丝悬浮液滴技术也可能对液滴蒸发造成影响,这主要归因于液滴传热机制的改变[22]
多组分液滴的汽化过程也是液滴燃烧研究的一个重要方向。Millán-Merino等[23]通过详细的非定常模拟,研究乙醇/水和正十二烷/正十六烷液滴在潮湿环境中的汽化过程,发现单组分燃料液滴的D2定律对双组分液滴不适用;汽化过程中,挥发性较低的燃料位于液滴内层,挥发性较强的燃料位于外层,该假设有助于提升模拟值与实验值的一致性。在潮湿环境中,Millán-Merino等观察到蒸发的乙醇液滴具有更高的汽化速率。在初期汽化阶段,水在液滴表面的冷凝相变释放的热量促进了燃料的快速蒸发,进而使蒸发速率偏离D2定律;而增加乙醇液滴的含水量则会降低汽化速率,液滴直径平方呈线性衰减。
在满足D2定律的准稳态燃烧阶段,燃烧速率受多重因素叠加影响。Xu等[24]在不同温度的微重力环境中进行了正癸烷单液滴燃烧实验,研究发现液滴在低温环境中的燃烧速率常数K随初始直径D0的增加而降低;在高温环境中则相反,且温度越高,燃烧速率增幅越大。分析认为是由于低温环境中净热量(液滴获得的热量与火焰周围损失的热量之间的差值)为负值,随着环境温度升高,热损减少,净热量逐渐变为正值。与发光火焰大小和不同大小液滴产生碳烟有关的研究表明,发光和非发光火焰辐射同时对微重力条件下的净热量起决定作用。

2 单液滴燃烧实验方法

目前在微重力环境下进行单液滴燃烧实验主要采用4种方法固定液滴:自由悬浮液滴[25]、气体悬浮法[26-27]、多孔球法[28]和悬挂纤维丝技术[29-30]
实现自由悬浮液滴的方式大致有2类,一类是在实验准备阶段于2个对称支撑结构的间隙形成“液桥”,其中一边的支撑结构具备液泵功能,使液桥(或液滴)体积增加至实验所需大小,液滴的悬浮则是通过在微重力环境下快速撤离2个对称的支撑结构完成。假设液滴与支撑结构的表面张力在静态和运动过程中保持一致,基于力平衡的原理,液滴将在2个对称结构撤离之后因为惯性停留在原处,达到液滴自由悬浮的效果。2个支撑结构与液滴形成的表面张力不可能完全一致,结构撤离之后可能导致液滴的漂移。因此,这一技术适用于较大尺寸(具有较大惯性)的液滴的工况。此方式最开始用于NASA的John H. Glenn研究中心(GRC)的落塔实验,之后成为了ISS实验制备单液滴的主要方式,实例如图 2所示。
图 2 第1类自由悬浮液滴实验方法
另一类是在常重力环境发射液滴,在液滴抵达运动顶点的同时释放自由落体实验装置,如图 3所示。液滴在自由落体过程中的轨迹由液滴在常重力发射时的初速度分量及实验装置进入自由落体时的绝对速度是否为0(即到达顶点)决定,此实验方法对于液滴发射和装置释放的精度要求较为苛刻。
图 3 第2类自由悬浮液滴实验方法[29]
气体悬浮法采用气体悬浮、声悬浮或磁悬浮,使液滴悬浮在空气中。优点是液滴不与其他物体接触,其形状类似球形,只依赖周围力场的分布;局限性在于较难适用于高温环境,且液滴的蒸发速度一定程度上受悬浮源的干扰。
多孔球法通过连续向多孔球体内部注入燃料,保持其表面能够有定量的燃料溢出。这种方法简单易操作,能够保持液滴的标准球形,实验误差主要来自多孔材料对于液相导热的影响及燃料溢出速率的控制精度,该方法仅适用于研究液滴的稳态汽化过程。
悬挂纤维丝技术是将液滴悬挂在纤维丝上,被目前绝大多数液滴燃烧和蒸发实验所采用,其主要优点是液滴位置固定,方便记录液滴整个生命周期。在进行液滴阵列燃烧研究时,悬挂纤维丝交叉处的位置用于控制液滴间距,如图 4所示。在液滴阵列布置中,常用的液滴生成方式是利用微量泵通过细玻璃管向纤维丝交叉点部署挥发性液滴[6],使用手动或自动手段控制细玻璃管的位置。若需同时部署较多液滴,一些研究使用室温下为固体的材料,在手动部署前加热材料形成液滴,以便部署到纤维丝上,并防止蒸发[33-34]
图 4 液滴阵列大规模点火时的火焰蔓延图像[2]
目前的液滴自着火实验中,液滴均通过悬挂纤维丝进行固定。例如东京大学的液滴自着火设施[13, 35-37]通过固定在机械臂上的喷嘴将燃料注入悬挂丝顶部,待液滴生成后,机械臂撤回喷嘴,位于燃烧室下方安装在可移动臂上的悬挂器件将液滴插入燃烧室中,其中悬挂丝由0.15 mm的石英玻璃纤维制成,装置示意图如图 5所示。燃烧室温度通过热电偶反馈数据进行实时调节至设定值。液滴周围温度场利用迈克尔逊干涉法进行可视化观测。最近,在高压燃烧室进行的液滴蒸发实验中,研究人员采用2根纤维丝十字交叉并在交叉点固定小玻璃珠的方法进行液滴悬挂,防止液滴插入燃烧室时掉落[38]
图 5 液滴自着火装置示意图[37]
然而,引入外部因素可能会对液滴汽化及燃烧过程造成干扰,首先悬挂纤维丝会导致液滴变形。Struk等[39]比较了确定变形液滴等效直径的各种方法,开发了一种用于定义液滴静态平衡形状的数值方法。Avedisian等[40]在微重力燃烧实验中观察到悬挂纤维丝对正庚烷液滴碳烟壳的影响。研究发现悬挂纤维丝的存在,导致液滴周围的热泳力和Stephen阻力分布不对称,从而使碳烟壳在液滴周围形成非球形分布。特别是当纤维丝直径较大时,这种变形效应更为明显,如图 6所示。
图 6 地基实验中的自由单液滴和悬挂液滴点火实验结果(t=0.25 s,Df为挂丝直径)[40]
实验和模拟研究表明,纤维丝的直径、排列方式和材质都会对球形液滴的燃烧过程产生一定影响。Yang等[41]研究了490~750 K弱对流下悬挂纤维丝热传导对液滴汽化的影响,认为悬挂纤维丝增强了液滴汽化作用,而中等直径的纤维丝可以最大限度地提高纤维丝的热传导。Chauveau等[42]通过实验量化了通过纤维丝传导热量的影响程度,进而量化了由于悬挂纤维丝的存在而增加的汽化速率,得出正庚烷液滴汽化速率与纤维丝直径的平方呈线性关系。Farouk等[22]利用瞬态一维球对称模型模拟液滴燃烧过程,其中考虑悬挂纤维丝的影响。模拟结果与先前发表的在日本微重力中心(JAMIC)10 s落塔和NASA的GRC的5.2 s落塔进行的实验做了对比,发现该模型几乎再现了悬挂正癸烷液滴燃烧现象的各个方面,包括液滴燃烧过程、瞬态和平均燃烧速率以及FSR。结果表明,悬挂纤维丝的存在显著提高了燃烧速率和FSR。由于纤维丝的导热的影响,通过较大直径纤维丝输入的热量缓慢达到峰值,燃烧速率随时间的变化呈现非线性。相比之下,小尺寸纤维丝的热传导贡献微乎其微。纤维丝尺寸对燃烧速率的影响表明,随着纤维丝直径的减小,燃烧速率呈现减小趋势;且与石英纤维丝相比,SiC纤维丝对燃烧速率的影响更加显著,如图 7所示,其中$\bar{K}_{0 \text { fiber }}$为挂丝时液滴平均燃烧速率,$\bar{K}_{0 \text { no fiber }}$为自由悬浮液滴平均燃烧速率。此外,应当注意纤维丝的不同排列方式也会对传热及燃烧速率产生影响,Mikami等[6]的研究显示,相比于单个串珠纤维丝,采用无串珠交叉纤维丝排列可以有效减少液滴的变形,这一点在液滴阵列生成技术中尤为重要。
图 7 液滴平均燃烧速率误差随初始液滴直径与挂丝直径之比的变化[22]

注:$\bar{K}_{0 \text { fiber }}$为挂丝时液滴平均燃烧速率,$\bar{K}_{0 \text { no fiber }}$为自由悬浮液滴平均燃烧速率。

随着研究的不断深入,科研人员探索了纤维丝传热的非定常演变和其深层机制。其中Shringi等[43]数值研究了悬挂纤维丝对高温高压环境中液滴蒸发的影响,发现虽然最初气相到液滴表面的热传递非常强烈,但随着液滴表面温度的升高,导热迅速减弱,纤维丝在该过程中为液滴提供恒定热流,并为后期液滴汽化提供很大一部分能量。该研究还发现,悬浮纤维丝促进了纤维丝与液滴接触位置附近的热Marangoni流动,这一效应在使用较大纤维丝和较低Reynolds数(Re) 时尤为显著。在液滴蒸发的早期阶段,较冷的内部流体循环会降低液滴表面温度,从而减缓蒸发速率。同样地,对于纤维丝表面液滴Marangoni对流的形成,Ghata等[44]的数值模拟结果表明,随着纤维丝直径增大,Marangoni对流随时间增加。这导致界面上的径向温度和物质梯度随时间增加,进而提高了汽化速率。这些发现为理解纤维丝传热对液滴燃烧和蒸发过程的复杂影响提供了重要指导。
进一步,Liu等[29]的地面落塔和ISS实验提供了液滴燃烧过程中悬挂纤维丝引起上述气相微对流的直接实验证据,为数值分析提供了数据支持。基于正辛烷和正癸烷液滴(D0=0.5~5 mm)燃烧过程中生成的碳烟形态间接揭示液滴周围热流和流动不对称性。实验利用微重力环境减少强迫和浮力对流,分别对自由悬浮(无悬挂)和纤维丝悬挂的液滴进行实验,发现无悬挂或者纤维丝直径相对于D0较小时,碳烟呈球对称形态。对于1 mm < D0 < 3 mm,纤维丝直径为80 μm的情况,在靠近纤维丝插入液滴的表面位置处存在不对称流场。这种纤维丝引起的温度场和流场的不对称性导致碳烟颗粒局部受力的不平衡,进而产生了纤维丝附近的涡流模式。这在一定程度上可以解释为液滴形状扭曲引起的流动不对称性。另外,流场的变化还可能使得由纤维丝与周围气体之间的对流加热以及对液滴的导热引起的温度场不对称性加剧,导致液滴表面附近出现Marangoni流。通过纤维丝悬挂和游离液滴的对比实验发现,由14 μm SiC纤维丝悬挂的正癸烷液滴(D0≈0.5 mm)的温度场和流场近乎球对称,在液滴直径燃至接近纤维丝直径前,未发现任何由于悬挂纤维丝引起的实质性影响。Chauveau等[42]的实验进一步证实使用14 μm纤维丝直径的交叉纤维丝不会显著将热量传递到液滴中,因此不会干扰蒸发过程。
纤维丝的物理属性也是研究焦点之一。Rehman等[30]在低温强制对流环境下实验研究了热传导对液滴蒸发的影响,发现将液滴悬浮在金属热电偶线上会显著增加传递到液滴的热量,从而得到更高的蒸发速率。Wang等[45]则在高温环境(673~973 K)下实验研究了悬挂纤维丝直径及热导率对燃料液滴汽化的影响,D0平均值为0.84 mm。结果表明,液滴汽化速率常数K与纤维丝直径的平方及导热系数λ均呈线性关系,如图 8所示。此外,液滴寿命与纤维丝直径和热导率也均呈线性关系。液滴汽化速率常数随纤维丝导热系数的增加而增加,但液滴寿命相应减少。在影响液滴汽化的2个因素中,纤维丝直径是主导。当纤维丝的λ低于80 W/(m·K)时,可以忽略其对液滴汽化的影响。最理想的参数组合是纤维丝直径小于0.1 mm且λ小于80 W/(m·K)。该研究还证实,在高温环境下悬挂纤维丝可能导致燃料液滴发生微爆,特别是当纤维丝直径大于0.15 mm或λ大于400 W/(m·K)时,这种现象是由悬挂纤维丝在液滴内部诱发局部沸腾或Leidenfrost效应所引起的。
图 8 JME液滴的蒸发速率与悬挂纤维丝的直径平方、导热系数λ的关系[45]
SiC挂丝由于力学特性良好,多用于液滴燃烧实验,但它并不是低热传导率的材料,其λ=60~490 W/(m·K)(与晶相相关)。Liu等[46]对比了相同尺寸(14 μm)条件下的3M Nextel 312型号的陶瓷纤维(λ≈2 W/(m·K))与SiC挂丝的正庚烷和甲苯液滴燃烧实验,结果表明液滴燃烧速率在2种挂丝材料下并无显著区别。
微重力液滴蒸发或燃烧实验研究通常使用较大的液滴(D0>0.5 mm),以将蒸发和燃烧速率观测的尺度提升至秒量级,便于使用更好的分辨率解析液滴图像。然而,实际喷雾的液滴尺寸为10~200 μm不等,这些小液滴具有较快的热响应时间,且多数并不经历单液滴燃烧过程,而是在湍流和已蒸发气相燃料的整体作用下形成大范围的扩散或部分预混火焰。因此,微重力下的单液滴作为液态燃料燃烧的最简单构型,虽有助于发现许多基础现象,但还需谨慎论证液滴尺寸和气、液相输运对理论预测的影响。只有从复杂湍流喷雾燃烧问题或其他新型应用中发现更多样化的液滴反应流问题,并凝练出简化问题、设计参数化的实验,才能为技术突破取得关键的实验数据。

3 单液滴燃烧中碳烟壳的生成

相对分子质量较大的碳氢燃料在扩散燃烧过程中会显著生成碳烟。微重力环境下,由于对流效应明显降低,碳烟颗粒聚集凝结成球形碳烟壳的概率较大。近年来,随着实验检测和成像技术的不断进步及数值模拟等方法的日益完善,对液滴燃烧中碳烟壳生成的研究逐渐深入。本节将介绍碳烟壳生成的机制、影响因素及其对液滴燃烧过程的影响。
球形碳烟壳的生成是微重力液滴燃烧过程中的一个重要现象。NASA的GRC的2.2 s落塔实验[47]首次报道了碳氢燃料燃烧过程中球对称碳烟壳的生成。之后考虑到碳烟壳可能对液滴燃烧存在的影响,数值模拟研究者们开始针对此类一维球对称的液滴燃烧问题引入相应的碳烟模型。Choi等[48]和Jackson等[49]建立了正庚烷液滴的球对称燃烧模型。其中Jackson等利用Stephen流作用和热泳力(或通量)相平衡,定义了碳烟壳的位置,并指出碳烟壳作为热屏障及其辐射效应可能导致燃烧速率下降。这些模型都过高地预测了碳烟壳的位置。Perea等[50]定义液滴周围气相粒子速度等于0的地方为碳烟壳位置,模型研究发现,仅凭热泳和Stephen流效应无法解释碳烟壳的生成;随着他们修改模型,加入光泳效应,预测发现当碳烟壳直径与液滴直径比(SSR)约为4.3时,碳烟壳稳定存在。在不断改进模型、精确碳烟壳位置过程中,Ben-Dor等[51]数值分析了球形正庚烷液滴火焰中碳烟壳结构的生成过程,发现扩散力对碳烟力平衡位置的影响不可忽略。Dobbins等[52]认为煤烟壳内的颗粒最初可能主要由碳烟前体组成,这些前体在碳烟壳位置的凝结和碳化作用下转变为碳烟颗粒。
随着地面落塔设施的发展,利用实验探索碳烟壳的生成逐渐便捷,这也为获取更多可靠的数值模拟结果提供了条件。Manzello等[53]利用NASA的GRC的2.2 s落塔设施,对微重力条件下液滴燃烧中碳烟壳生成过程进行了观察,如图 9所示,证实了热泳和Stephen效应在碳烟壳生成中的重要作用,而光泳对于碳烟前体物质的运输影响则相对有限。
图 9 地面落塔己烷液滴(D0 =1.44 mm) 燃烧中碳烟壳重新生成[53]
实验还发现碳烟在辐射传热中的重要性。MIKAMI等[54]通过实验研究液滴周围的火焰结构,发现碳烟壳还存在辐射效应,位于最高温度区(即反应区)内侧发出的黄色光就是由碳烟辐射造成的。后续Nakaya等[55]通过改变液滴所在环境中稀释剂的组分,发现当碳烟生成量有限时,由于液滴的升温和气体辐射的减弱,瞬时燃烧速率会随着时间的推移而增加。在未生成碳烟壳的环境中,瞬时燃烧速率与液滴初始加热后的直径平方显示出强相关性,表明碳烟壳的存在与否对燃烧速率有显著影响。
日渐丰富的实验进展为构建更精确的碳烟壳数值模型提供了新的思路。从建模的角度出发,碳烟的生成与产生碳烟前体(PAH)的动力学过程密切相关,因此详细描述这一过程的反应动力学是预测碳烟生成的必要条件;Stephen流、热泳、扩散泳的平衡确定了碳烟聚集的径向位置,生成易于观测的碳烟壳;此外,碳烟的存在显著影响发光辐射,进而影响了传热、燃烧速率以及整个燃烧过程。Chang等[56]采用单步反应机制研究碳烟产生、火焰辐射和液滴燃烧速率之间的相关性;Baek等[57]则通过全局性化学反应和简化的双方程模型[58]分析了碳烟与辐射的相互作用,该模型能够描述碳烟体积分数和数量密度的演变。
Stagni等[59]首次使用详细的非均质动力学模型,研究了微重力条件下碳氢燃料单液滴燃烧中碳烟生成、生长和氧化的动力学过程,并考虑了非发光和发光辐射热损失。以正庚烷为燃料,分析了大直径范围液滴(D0=0.5~3.87 mm) 燃烧过程中的瞬态现象。该模型在火焰温度、火焰面位置、SSR预测等方面,与实验数据具有较好的一致性,如图 10所示。该模型通过定位和量化碳烟生成的不同步骤,发现这些步骤发生在火焰面和SSR之间的区域,该区域Stephen流和热泳效应的综合作用导致了向内的通量。由于上述作用,碳烟颗粒在火焰前沿停留时间比一般气相扩散火焰中的时间要长得多,因此相比于传统燃烧系统,液滴的碳烟生长、凝聚和聚集明显增强。研究发现,辐射对碳烟生成的影响显著,但对碳烟壳的位置几乎没有影响。另一方面,将不完全热适应纳入热泳定律可以更精确地预测碳烟壳的体积分数和位置。
图 10 不同初始直径液滴SSR演化:实验数据(散点)与模型预测(曲线)之间的比较[59]
随着研究深入,数值模拟和实验结果均发现碳烟的生成量受D0的影响。Nobili等[60]通过模拟正庚烷单液滴燃烧过程中碳烟的生成,解释了Choi等[61]实验测量结果,即具有中等D0(约1.9 mm)的液滴在燃烧过程中具有最高的碳烟体积分数。模拟结果揭示了碳烟随D0变化的非单调生成趋势是辐射损失(导致火焰温度降低)和液滴寿命之间竞争的结果。一方面,由于液滴本身的寿命较长,D0的增加往往会促进碳烟的生成;另一方面,较大的D0对应较大的火焰辐射损失,导致火焰温度降低,从而抑制碳烟生成。
尽管数值模拟的定性结果比较符合实验结果,但在定量分析上仍存在一定偏差。目前,对于复杂燃料液滴燃烧过程中的碳烟生成过程还未建立高效且准确的模型。随着新型燃料和燃烧技术的发展,液滴燃烧过程中碳烟壳生成的研究将面临新的机遇和挑战,预示着该领域的研究将不断深入,以应对更复杂的燃烧环境和更严峻的技术要求。

4 单液滴火焰熄灭现象

微重力燃烧实验中可能会观察到稳定燃烧的液滴发生熄灭现象[62-63],一种是由火焰中热释放的停留时间不足引起的扩散熄灭或吹灭;另一种是由火焰的辐射热损失导致的辐射熄灭。
Tarifa等[63]最早从理论和实验的角度研究了液滴的熄灭现象,发现在特定条件下,稳定燃烧的液滴会发生熄灭。Law[64]注意到对冲扩散火焰和液滴扩散火焰之间的相似性,应用大活化能的理论制定了液滴火焰的熄灭标准。早期关于液滴火焰熄灭的理论是基于单步反应进行的。Chao等[65]基于活化能渐近分析研究了扩散和辐射对熄灭的影响。
随着模型的进步和计算效率的提升,学者对非发光辐射对液滴燃烧特性的影响展开讨论,并发现其与D0密切相关。Saitoh等[66]使用气相辐射模型,预测了由于火焰辐射的存在,正庚烷液滴燃烧过程中火焰温度降低导致燃烧速率显著降低。相比之下,液滴表面的辐射热影响可以忽略不计。Marchese等[67]使用考虑详细动力学的一维模型讨论了非发光热辐射在液滴燃烧过程中的作用,发现只有当D0小于约1.5 mm时,辐射的影响才可以忽略不计。由于辐射发生的能量传递与液滴的半径成正比,随着D0的增加,辐射传热影响增强。
随着微重力实验设施的发展,实验成为探究辐射效应强有力的手段。Marchese等[68]在哥伦比亚号航天飞机实验中研究了甲醇液滴燃烧的辐射效应,选择甲醇作为燃料是因为其相对于碳氢燃料几乎不产生碳烟,因此可以避免碳烟对可见光辐射的影响。然而,由于水和甲醇分子间的极性分子作用,最初存在于环境中或通过燃烧产生的水在液滴表面溶解并输送到液滴内部,使得液滴内的含水量持续增加。当液滴中的水含量达到一定水平,再加上气相辐射损失,甲醇与水的混合物的汽化无法维持燃烧反应,导致火焰熄灭。在USML-2任务期间,最初纯甲醇和甲醇/水混合物的液滴(D0 =2~5 mm)燃烧实验在航天飞机哥伦比亚号上进行[69],结果表明,与该任务中研究的烷烃液滴不同,纯甲醇熄灭直径随D0的增加而线性增大。
考虑甲醇液滴溶水为液滴燃烧熄灭带来的附加效应,人们尝试探索液滴溶水的主要机制。根据Zhang等[70]的实验结果,在熄灭时液滴中水的质量分数高达40%~80%,认为仅考虑扩散导致的水输运无法解释液滴中如此大量的水的吸收。Marchese等[71]的研究进一步指出,表面张力可能是导致水与甲醇发生较大程度互溶的原因。微重力实验中液滴漂移速度、点火等轻微干扰可能导致液滴偏离球对称性,使得水的质量分数和温度沿液滴表面分布不均匀,由此产生表面张力梯度,引发了界面上Marangoni对流效应,进而增强了液相混合。Raghavan等[72]在数值模型中发现由于表面张力影响,通过弱气相对流(Re=0.01)作为扰动引入的弱液相循环大大增强。表面张力在液滴中引起了复杂的流动模式,通过增强液滴内部混合来促进水的吸收。如果忽略表面张力,仅以扩散来解释吸水过程,则会严重偏离实验观察到的熄灭直径。然而即使考虑到表面张力,如果忽略辐射,熄灭直径的预测也会被低估。
后续Raghavan等[73]在数值模拟中同时考虑辐射和表面张力的影响,并发现D0影响两种效应在控制液滴熄灭中的作用权重。他们利用CO2和H2O对火焰辐射进行模拟,得到了低温(300 K)、低压(0.1 MPa)、静止大气环境中(初始Re=0.01)D0在0.43~3 mm范围内甲醇液滴的燃烧结果。结果表明当D0小于约1 mm时,火焰辐射的影响可以忽略不计;而对于较大的液滴,辐射变得更为重要,平均蒸发速率常数随着D0的增大而逐渐减小。表面张力和热辐射效应在预测初始大液滴的熄灭直径方面起着重要作用。相比于忽略表面张力考虑辐射的模型,加入表面张力忽略辐射时,熄灭直径预测值更接近完整的模型预测结果。对于D0较大的液滴,熄灭直径与D0呈非线性变化,如图 11所示。根据Marchese等[68]的研究结果,当D0大于约4 mm时,液滴熄灭机制会转向火焰辐射热损失机制。
图 11 液滴熄灭直径与初始直径的关系[73]
对于D0较小的甲醇液滴在空气中的燃烧,辐射并不重要,火焰通过水的扩散控制机制熄灭。针对水扩散机制导致的熄灭,Zhang等[70]报道了一个更详细的理论模型。通过对甲醇液滴燃烧过程中液滴中水浓度进行模拟,并将其与气相化学中涉及的速率比渐近分析(RRA)相结合,用于估计纯甲醇液滴燃烧熄灭时的液滴直径。认为当液滴与水互溶至水在液滴中的质量分数约30%时,液滴表面的平衡气相水浓度会超过火焰处的,水开始向液滴外输运,液滴随后以甲醇和水的二元混合物的形式燃烧。此时绝热火焰温度明显低于纯甲醇的绝热火焰温度,导致化学动力学气相火焰熄灭。理论研究方面,Nayagam[74]通过扩展文[70]中上述模型,提出了微重力条件下甲醇液滴燃烧的活化能渐近(AEA)理论,以解释随时间变化的液滴中水溶解或蒸发的过程。该AEA模型与燃料浓度和液滴温度的非定常演化方程相结合,能有效预测空气中不同D0时甲醇液滴的熄灭直径。
在此基础上改变环境气体,由于上述几种效应受不同气氛物理性质等的影响,因此液滴熄灭受稀释气体性质影响十分明显。Hick等[75]研究了微重力环境中大气压固定氧浓度但不同浓度二氧化碳环境下D0在1.25~1.72 mm之间的甲醇液滴燃烧的扩散熄灭现象。结果表明提高环境中二氧化碳浓度会导致熄灭直径略有减小。二氧化碳通过降低扩散系数和火焰温度来降低K值,从而降低了辐射能的输出。与此同时,水的扩散系数降低的影响更为显著,最终导致熄灭直径的减小。
研究发现,稀释气体不仅改变液滴熄灭时的扩散和辐射效应,还显著影响液滴周围的氧浓度。FLEX系列实验研究了液体燃料在各种惰性气体替代环境中的可燃性,其中环境气体中的氮气被其他惰性气体(如二氧化碳、氦气或氙气)以不同摩尔分数取代,这导致有效氧Lewis数(LeO)的变化;质量较小的惰性气体(如氦气)具有较大的LeO,而质量较大的惰性气体的LeO则较小。在典型的实验条件下[76]Le数的影响可以近似为对环境氧浓度的修正系数1/LeO,其中氧气扩散系数的增加与其浓度的增加同等重要。根据FLEX系列实验结果,Shaw等[77]研究了LeO对氦和氦稀释气氛中甲醇和正庚烷液滴燃烧过程的影响,发现环境气体的传输特性在决定火焰的极限氧指数、燃烧速率和辐射热输出历史方面起着重要作用。然而,与落塔数据的比较显示,D0在确定极限氧指数方面可能不具显著作用。Nayagam等[78]给出了ISS上0.5~2倍大气压下,稀释剂取代环境中正烷烃液滴辐射熄灭的实验结果,实验中的燃料包括正庚烷、正辛烷和正癸烷,二氧化碳、氦气和氙气用作惰性气体,分别以不同体积分数代替氮气作为稀释剂。结果表明,较大的D0和较低的氧浓度导致火焰熄灭的时间更早。用二氧化碳来代替氮气会促进辐射热损失,从而导致火焰更早熄灭;少量氦气添加可以扩大温度场并缩短燃烧持续时间,但大量氦气添加会显著降低火焰温度,减少火焰热辐射,使冷火焰更早地出现;相反,氙气由于具有与氦气相反的Le数效应,会提高火焰温度和延长燃烧时间。
综合上述多种效应的影响,Farouk等[79]利用数值模拟研究了微重力下甲醇液滴在不同环境中燃烧时的熄灭特性,选用二氧化碳和氦气作为稀释气体,分别考虑稀释剂、水的溶解及氧浓度在液滴熄灭中的重要作用。将上述影响因素利用有效燃烧速率Keffective进行整理,该参数取决于平均燃烧速率、FSR、环境扩散率,得到其作为自变量,与归一化液滴熄灭时的体积呈“U”形函数,其中熄灭体积在Keffective的下界和上界附近区间均呈指数型增长。该变化表明随着Keffective的降低,熄灭会从扩散模式过渡到辐射模式。扩散模式与水从火焰前沿溶解到液相或从火焰到远场的热扩散损失有关。在平均燃烧速率较大的情况下会出现扩散熄灭;反之由于辐射热损失或接近极限氧浓度,会出现非线性过渡。研究发现,不同大小的液滴具有相同的“U”形曲线特征,这进一步凸显了Keffective在熄灭中的重要参考价值。
由于烷烃类燃料不溶于水,水的扩散效应在其燃烧过程中不成立,此时的扩散效应代表扩散热损失。学者尝试总结致使烷烃类燃料液滴熄灭的各类效应的影响。Nayagam等[80]利用前人数据总结了微重力条件下单组分烷烃燃料的KD0的关系。最终确定了3个阶段:D2定律阶段、碳烟阶段和非发光辐射损失阶段,如图 12所示,D2R为D2定律阶段,SR为碳烟阶段,NLR为非发光辐射损失阶段,D1D2D3分别为3个区域的上界。第一个阶段中由于D0很小,碳烟及辐射影响均可忽略。D0>D1,碳烟的出现导致火焰区域传输特性改变,燃烧速率下降;D0>D2,液滴火焰温度低于碳烟生成所需温度,此时燃烧速率的变化归结于非发光辐射的影响;当D0>D3,将发生辐射熄灭。此外,研究发现在后2个阶段的KD0均呈现如下关系:KD0-1/4,其中D1可以利用半经验公式进行估算。
图 12 常压下庚烷液滴在空气中燃烧时液滴燃烧速率随初始直径的变化规律[80]

注:D2R为定律阶段,SR为碳烟阶段,NLR为非发光辐射损失阶段,D1D2D3分别为3个区域的上界。

Liu等[81]利用ISS液滴燃烧实验结果和尺度分析对上述分区中KD0的关系作进一步讨论,如图 13所示,其中D2定律阶段,为碳烟阶段,为非发光辐射损失阶段,D0 D0 分别为区域上界。由此可发现D2定律阶段的KD0无关;在非发光辐射损失阶段,对于D0较大的液滴,其火焰辐射损失比扩散热损失更为重要,根据火焰位置能量平衡得到以下反比关系:KD0-n(n=2/7);在碳烟阶段,辐射和扩散热损失均对熄灭产生重要影响,液滴的大小和环境条件共同决定了辐射和扩散2种机制的作用权重,进而影响燃烧过程的稳定性和熄灭模式。
图 13 液滴燃烧速率与初始直径的关系[81]

注:D2定律阶段,为碳烟阶段,为非发光辐射损失阶段,D0 D0 分别为区域上界

由于烷烃燃料中碳烟的存在,其辐射能力在辐射熄灭中的影响不可忽略。针对上述几个分区,Cuoci等[82]通过实验和数值研究了含乙醇体积分数10%的87辛烷值汽油的七组分表征燃料燃烧过程,发现D0<0.25 mm的液滴的辐射可忽略不计,燃烧速率和火焰温度将收敛至一个定值;当D0增加至1.80 mm,燃烧速率降低,发光辐射影响显著;特别是D0接近2.00 mm的液滴,将碳烟引起的发光辐射与始终存在的固有非发光辐射相结合,辐射对燃烧速率的影响更为明显;D0大于2.00 mm时显示出的强辐射效应使得大液滴在点火后几乎立即熄灭,没有观察到从典型的辐射燃烧过渡到冷火焰行为的迹象。
研究进一步针对上述分区中的D3(辐射熄灭直径)展开,同时考虑环境气体的输运特性对烷烃类液滴熄灭的影响。Cuoci等[83]利用基于详细动力学机理的数值模型研究了微重力条件下烷烃单液滴的燃烧过程,主要关注了液滴的D0及大气中的氧气含量如何影响辐射熄灭和后续形成的稳定冷火焰。数值预测的结果与实验测量相符,显示只有当液滴的D0超过一个临界值时才会发生辐射熄灭,紧接着是低温、无烟的冷火焰现象。研究发现,这一临界直径的平方与大气中氧的摩尔分数呈线性关系,如图 14所示。在对正庚烷和正癸烷的临界直径进行比较时,没有发现明显差异,表明临界直径几乎不受燃料种类的影响。此外,环境中的惰性气体(如氮气、二氧化碳等)被发现对辐射熄灭的趋势起到了重要的促进或抑制作用。这些惰性气体可以影响氧气在液滴周围的分布和总体气氛的热动力学特性,从而影响燃烧过程的稳定性和熄灭模式。
图 14 正庚烷液滴在氧气与不同惰性气体混合气氛中的辐射熄灭临界直径计算值[83]
了解这些燃料在各种尺寸液滴下的燃烧特性,特别是辐射对燃烧过程的影响,有助于建立更准确高效的多相燃烧辐射模型,对更大规模的燃烧数值仿真具有重要意义。

5 单液滴冷火焰现象

FLEX项目揭示了微重力条件下,单个碳氢燃料(正庚烷、正辛烷和正癸烷)大液滴(D0 =3~5 mm)热火焰在发生辐射熄灭后,能够在液滴周围形成自维持的低温冷火焰燃烧[62]。系列实验表明液滴低温燃烧并没有可见的火焰,个别气体环境下甚至伴有多次高温热火焰的闪烁。冷火焰是一种由低温燃烧反应动力学维持的火焰结构,其化学反应生成热量不足以维持火焰的可见光发射。早在1996年,Tanabe等[13]在液滴自着火实验中利用干涉法测量液滴周围温度,观察到碳氢燃料存在多级着火现象,如图 15所示,其中包括存在冷火焰和热火焰的二级着火,进一步证明即使在地球重力条件下,液滴的燃烧也可以展现出复杂多变的行为。这种多级着火现象揭示了燃烧过程的复杂性,不仅为理解微重力条件下的燃烧现象提供了新的视角,也对设计更安全有效的燃烧系统以及宇航任务中的火灾预防措施提供了重要的科学依据。
图 15 液滴自燃实验中燃烧模式温度—压力(T-P)图[13]
Nayagam等[62]对FLEX实验中观察到的多级燃烧现象进行了初步分析。他们发现一个D0较大的正庚烷液滴在发生辐射熄灭后,在很长一段时间内以准稳态燃烧速率被消耗,后续被消耗至一定的液滴直径发生二次熄灭,液滴周围迅速出现蒸汽云团,以蒸发形式耗尽,如图 16所示。通过假设首次熄灭后的液滴消耗是由低温化学下冷火焰热释放维持的,利用实验测量的液滴燃烧速率和熄灭直径得到低温化学下的热释放、总活化能和指前因子,所得参数的值与文献[84]中关于冷火焰的反应速率参数相近。
图 16 ISS的FLEX项目中正庚烷液滴火焰的辐射熄灭(df为火焰直径)[62]
Farouk等[85]采用数值模拟尝试对正庚烷液滴在微重力下的两级燃烧现象进行探究,并进一步控制冷火焰的发生。他们基于包括高温和低温动力学在内的化学反应机理,证实了大液滴辐射熄灭后的燃烧是由与冷火焰相关的低温化学动力学引起的。两阶段燃烧行为是由高于负温度系数翻转温度且低于热火焰着火温度条件下的低温反应决定的。在准稳态第二阶段燃烧过程中,当反应温度低于翻转温度,应发生熄灭,如果温度超过热点火条件,将重新发生高温燃烧。考虑到通过控制热损失可以调控多级燃烧过程,改变环境气体组分后发现,二氧化碳和氦气都可以在更小的D0条件下促进低温燃烧过程的启动。因此在一定工况的环境气体和D0条件下,可能引发液滴多级燃烧过程的相互转换。后续实验也证实了多级火焰调控的可行性。
FLEX实验中观察到冷火焰发生后存在多级火焰振荡现象,并对其进行探究。Farouk等[86]进行了较大D0的正庚烷液滴在高压下的燃烧实验,观察到液滴从热火焰熄灭过渡到冷火焰,随后重燃为热火焰,又变为不稳定的冷火焰的过程,如图 17所示,D0=4.08 mm,气体环境为氧气体积分数21%(XO2=21%),XCO2=15%,XN2=64%,0.3 MPa,当t=18.4 s时开始发生热火焰重新点火。基于化学动力学的数值模拟结果表明,低温动力学决定的冷火焰燃烧中,热释放与扩散损失的相对速率控制着多级热、冷火焰的转变;其中有关过氧化氢酮基的生成和消耗反应速率被认为是冷火焰能否重燃为热火焰的关键因素。通过模拟也再次证实了多级燃烧的出现与否依赖于初始实验条件,包括压力和稀释剂种类等。模拟得出的定性结论与实验结论基本一致,但定量结果存在明显误差。Dietrich等[87]在高压环境下使用正癸烷和己醇混合物(体积比为1∶1)通过空间实验发现0.20 MPa环境压力下,辐射熄灭后液滴在冷火焰燃烧一段时间后重燃为热火焰,但0.30 MPa的环境压力下不会发生重新点火现象,且该现象仅存在于悬挂纤维丝的实验中。因此其认为纤维丝带来的热扰动足以改变液滴多级燃烧过程。
图 17 FLEX实验结果[86](每张图像间隔0.033 s)
2017年2—10月,作为NASA和俄罗斯联邦航天局合作计划的一部分,研究人员在ISS上进行了名为CFI(NASA命名)或Zarevo(俄罗斯联邦航天局命名)的冷火焰研究,旨在研究复杂的重烃类燃料(如正十二烷及其异构体、2, 6, 10-三甲基十二烷)在微重力条件下的单液滴燃烧行为,并探索这些燃料是否与FLEX实验中观察到的现象相关。Frolov等[88]利用数值模拟研究了微重力条件下正十二烷液滴的点火、燃烧、辐射熄灭以及之后的低温氧化作用下冷、蓝、热火焰的多次发光。其中冷火焰的检测是利用激发态甲醛发出的非常微弱的光;蓝火焰则由过氧化氢分解过程中产生的链分支导致,并通过激发态甲酰和激发态甲醛发出的蓝光进行检测。该模型基于具有可变热物性的液相和气相中质量和能量守恒的非定常微分方程进行求解。通过在液滴周围设置高温的薄球用于模拟空间站实验中使用的点火丝点火,从而产生热火焰。模拟结果显示,热火焰熄灭后,可能在液滴附近发生低温化学反应。随后,活性中间产物在低温反应中生成,其中主要是烷基和过氧化氢。当达到临界浓度时,过氧化物热分解形成羟基自由基,迅速与其他中间体反应,在液滴周围引发二次火焰发光。二次发光之后形成二次烟灰壳,随后烟灰壳的影响下火焰熄灭,后续火焰反复振荡,直到液滴完全耗尽。上述过程过氧化氢分解在多次火焰发光过程中起着决定性作用。此外,点火参数的变化可以影响冷火焰、蓝火焰和热火焰的出现时间和发光次数,从而对液滴蒸发过程产生影响。
除了上述多级火焰振荡现象外,Dietrich等[87]在高压下进行的空间实验表明,在热火焰的辐射熄灭之前可能存在复杂的火焰结构,即冷火焰和热火焰可能共存。其认为足量的氧化剂能穿透过热火焰面向内泄漏以支持冷火焰燃烧,并且有足够的燃料通过冷火焰面以维持辐射熄灭前的热火焰。
就上述复杂火焰结构,Nayagam等[89]基于Burke-Schumann的理论,探索了准稳态液滴燃烧过程中双火焰结构的可能性,假设反应被限制在薄的火焰面,并最终认为靠近液滴的冷火焰和远离液滴的热火焰同时存在的双火焰结构在一定的初始条件下是可能出现的,如图 18所示。分析表明,当燃料泄漏较多时,会形成微弱的冷火焰,其燃烧热约为热火焰的20%。随着泄漏量的增加,这种弱火焰会减少热量释放,从而向液滴表面移动,但假如是泄漏率低于50%、相对较强的冷火焰,则随着燃烧热的降低,冷火焰会向热火焰靠近,并最终与热火焰合并,形成单一火焰结构。
图 18 混合分数坐标中的液滴火焰结构示意图

注:$ \widetilde{Y}$为无量纲组分质量分数,$ \widetilde{T}$为无量纲温度,Z为混合物分数变量,L为燃料汽化潜热,cp为气相比热,下标O表示氧气,下标F表示燃料,下标∞表示无穷远处环境,下标s表示燃料表面位置,下标h表示热火焰位置,下标c表示冷火焰位置,下标1表示液滴中心位置,下标b表示火焰面位置,下标l表示液相。

随着数值模拟的发展,针对文[13]的液滴自着火实验,学者通过模拟得到一系列新的发现。Cuoci等[91]利用一系列数值模拟,探究微重力条件下单液滴的自燃过程。这些模拟涵盖了空气中正庚烷、正癸烷和正十二烷单液滴在不同环境条件(温度600~1 100 K,压力0.1~2 MPa)下的自燃行为,结果表明数值模拟可对一级着火延迟时间和总着火延迟时间进行合理的预测,证实了低温反应对液滴自着火的重要影响,实验中观察到的不同自着火类型可通过低温和高温机制之间的竞争关系来解释。随后,Zhang等[92]利用瞬态一维数值模拟,对温度-压力图中划定的不同自燃状态边界附近的潜在物理和化学现象进行了更加详尽的探索,分区结果如图 19所示。这些分析揭示了不同边界线上自燃状态的转变依赖于液滴燃烧过程中物理和化学因素的双重影响。
图 19 正庚烷液滴自着火实验分区边界和模拟结果[92]
Zhang等[93]就文[13]异辛烷液滴是否存在冷火焰燃烧进行了研究。异辛烷存在支链,氢原子提取后会形成多种辛烷基,导致其在一些气相燃烧反应研究中存在明显的2段冷火焰现象。根据化学动力学模拟,气相反应能产生多达4段着火,但与正庚烷相比,异辛烷的支链结构导致了较弱的低温反应特性,因此产生的自由基较少,使得异辛烷/空气混合物的翻转温度更高;加上液滴扩散带来的不稳定性,导致最初液滴实验中无法辨别异辛烷冷火焰。此外,异辛烷液滴燃烧模拟中发现了特定工况下多级着火和振荡冷火焰现象,如图 20所示,多段冷火焰的发生对辛烷基异构体有较强的依赖性。
图 20 以热释放为判断依据得到的异辛烷液滴自着火模式温度-压力(T-P)图[93]
根据上述燃料低温燃烧反应动力学的差异,多组分燃料液滴的低温燃烧特性引起广泛关注。Farouk等[94]报道了由正庚烷和异辛烷组成的初级参考燃料(Primary Reference Fuel, PRF)液滴燃烧的实验数据和数值模拟,D0为0.50和3.51 mm。模拟结果表明,大气压下空气中液滴燃烧是否存在冷火焰取决于异辛烷分数和液滴尺寸。因此,异辛烷较弱的低温化学特性对液滴冷火焰的形成存在显著的抑制作用。异辛烷体积分数超过50%(PRF>50)的大直径以及亚毫米直径液滴(仅存在热火焰无辐射熄灭)经预测不会发生冷火焰现象。在另一个多组分液滴燃烧实验中,Ando等[95]进行了正癸烷/乙醇液滴燃烧实验和数值模拟,发现虽然乙醇体积比的增加导致液滴的冷火焰点火延迟时间增加,但冷火焰温度未发生显著变化。这可能是因为乙醇的高挥发性延缓了正癸烷的蒸发,对正癸烷的低温氧化影响不大。
此外,环境中稀释剂类型和浓度能够显著影响液滴冷火焰燃烧,甚至控制冷火焰出现与否。Nayagam等[96]认为稀释剂主要影响传热和扩散过程,而非化学动力学,并采用简化的理论描述来预测冷火焰熄灭时的K值和液滴直径,所得结果与多数实验数据高度吻合。然而对于某些较长碳链的燃料,如正癸烷等,存在预测偏差,可能是由于过分强调了稀释剂的影响,特别是冷火焰中间物质的Le数。
当向环境中加入臭氧时,该添加剂会影响化学反应动力学。Farouk等[94]研究发现用臭氧代替少量惰性气体可以充分改变PRF50液滴的低温反应动力学活性,甚至影响亚毫米直径的该特性。这表明适当调整实验设置,地面实验中也能研究亚毫米直径的单液滴低温冷火焰燃烧过程。就臭氧对冷火焰的促进作用而言,Alam等[97]通过向环境中添加臭氧(O3),对亚毫米直径正庚烷单液滴的近极限冷火焰燃烧动力学进行了数值模拟。该模拟不需要热火焰引发和辐射熄灭便能实现近乎准稳态的冷火焰燃烧。低氧指数条件下添加O3,最初会形成近乎准稳态的冷火焰,然后过渡到动态振荡的冷火焰,振荡幅度在时间和空间上逐渐增大,直至液体燃料完全耗尽。研究发现振荡是液滴表面附近的燃料蒸气/氧化剂混合物的消耗、燃料汽化和氧化剂扩散输运动态重建的结果。动力学分析表明,与低温反应氢过氧烷基(QOOH)链分支相关的链终止、增长反应之间的动态相互作用以及跨越火焰位置的持续燃料泄漏,导致振荡幅度不断增大。振荡燃烧本质上是O3引发的扰动,会随着系统中O3含量的增加而减弱。
参考D0对热火焰燃烧速率及液滴熄灭的影响,发现D0同样决定着冷火焰出现与否及其燃烧速率。Xu等[98]对等比例混合的不同D0(0.8 mm≤D0 < 5 mm)条件下的正庚烷/异辛烷液滴燃烧过程进行实验和数值研究,实验结果显示由于正庚烷和异辛烷的沸点接近,未发现优先汽化;D0 < 3 mm时,混合物液滴保持热火焰燃烧状态。对于较大的D0则发生辐射熄灭。模拟结果表明,平均燃烧速率随着D0的增加而降低,当D0>2 mm时,热火焰和冷火焰燃烧的趋势都遵循Kavg~D0-n形式的幂函数关系,当燃烧过渡到冷火焰行为时,D0>3 mm的液滴辐射熄灭,燃烧速率突然下降。
综合多种影响因素,Farouk等[99]为揭示烷烃分子量、环境压力、D0对冷火焰、暖火焰和热火焰燃烧和熄灭的影响,对微重力条件下正庚烷、正癸烷和正十二烷液滴燃烧过程进行了数值模拟。实验结果证明,这3种燃料都存在两阶段的热、冷火焰燃烧模式的转换,但低温反应活性随着含碳原子数的增加而增加,导致冷火焰温度升高且熄灭直径减小。当压力略高于一个大气压时,空气中可观察到热、冷火焰转换的多周期行为,进一步增加压力会导致第二阶段稳定过渡到暖火焰。环境压力显著影响热火焰和冷火焰的熄灭直径,随压力增加,热火焰熄灭直径增大,而冷火焰熄灭直径减小。总体上看,不同燃料的冷火焰熄灭直径均与D0呈线性关系,且针对不同燃料存在差异。热火焰熄灭直径与D0呈线性关系,且针对不同燃料得到的结果,其直线重叠。该模拟对早期正庚烷、正癸烷冷火焰熄灭直径预测存在较大偏差。

6 高压环境中的单液滴燃烧特性

在内燃机、液体推进剂火箭、燃气轮机等的实际应用中,液滴的蒸发和燃烧通常在高压环境下进行。该环境下,液滴或其周围环境因为燃烧的升温会跨入超临界工况,由于物质的物理特性在临界点附近会发生剧烈变化,当液滴达到其热力学临界状态时,气液界面的消失、环境气体对液滴的溶解性增强,各种热输运物理性质的奇点特性可能导致汽化过程更加复杂。尽管如此,研究人员仍尝试利用实验和数值模拟的手段对高压下单液滴蒸发和燃烧特性的改变进行研究。目前进行的模拟和实验主要围绕环境压力和温度的变化对液滴燃烧特性如K、液滴寿命的影响展开,并尝试探究液滴燃烧特性变化背后的潜在因素。
超临界条件下瞬态液滴燃烧的研究最早由Spalding[100]提出。在这种条件下,气相非理想性、环境气体在液相中的溶解度、气液平衡(高压相平衡)的正确描述、临界状态的出现以及液相和气相中基于压力和温度的可变热物理性质变得十分重要。液体燃料蒸发的全面建模需要考虑这些因素,才能模拟真实的蒸发过程。大量的数值模拟通常考虑上述影响因素中的一种或者多种效应[101-103]。其中在处理气体非理想性时,采用三次状态方程,包括Redlich-Kwong(RK)[104]、Soave(SRK)[105]和Peng-Robinson(PR)[106]。Zhu等[107]通过对超临界环境下单液滴蒸发进行数值研究,对比模型中各种状态方程(PR-EoS、SRK-EoS和RK-EoS)的影响,发现PR-EoS和SRK-EoS模型下液滴寿命模拟值在很宽泛的环境压力中与实验值表现出较好的一致性。此外该研究还表明,在中低环境温度下,液滴寿命随着环境压力的增加而先增加后减少;在高环境温度下,液滴寿命则会随着压力的增加而单调减小,如图 21所示。分析该变化的原因是:1) 燃料饱和温度随压力不断升高而增加,导致液滴加热时间增加并占据液滴寿命中重要部分;2) 传质效率因压力的增加而减少;3) 汽化潜热在压力升高时减小,并在临界点降至0。在中低环境温度下前2种效应占主导,在较高的压力下第3种效应占主导。
图 21 利用3种状态方程预测的无量纲液滴寿命与不同环境温度压力的关系[107]

注:PR EOS为Peng-Robinson状态方程,SRK EOS为Soave-Redlich-Kwong状态方程,RK EOS为Redlich-Kwong状态方程。

Balaji等[103]对零重力的高压环境下氮气氛中正十二烷的蒸发进行了数值研究,综合考虑了包括气相非理想性、气体在液相中的溶解度以及作为压力、温度和组分函数的可变热物理性质等因素,利用已有文献中的实验结果加以验证,发现对于静止液滴,在亚临界环境温度下,液滴寿命随压力不断增加而延长;在临界温度下,液滴寿命首先增加然后基本保持不变。在超临界温度下,液滴寿命随着环境压力的增加而不断降低,平均蒸发常数在环境压力降低至2~3倍临界压力时出现局部最大值。
考虑到液滴汽化对高压下液体燃料的燃烧有很大影响,Yu等[108]提出了一个涵盖广泛温度、压力范围的液滴汽化的完全瞬态公式。从不稳定因子和液滴汽化寿命的角度表征了液滴汽化过程中液滴尺寸随时间的变化。根据理论分析,在较低温度下,由于从环境到液滴表面的热传递减少,液滴寿命随压力增加。另一方面,在较高温度下,增加环境压力往往会缩短液滴寿命。这是因为汽化焓会随着液滴温度的显著升高而衰减,从而促进汽化过程。在中等压力区间,压力对液滴寿命的促进和阻碍作用趋于平衡,导致液滴寿命似乎与环境压力无关,如图 22所示。
图 22 模型计算液滴寿命与实验数据对比(ttotal为液滴寿命,T为环境温度)[108]
由于超临界环境中液滴蒸发与燃烧的复杂性,需要实验数据对数值模型进行验证,但高压实验往往面临较大的挑战。首先,在研究液滴蒸发时,实验装置需要在高压舱中配备一个高温舱,两腔体之间的温差会使观察窗玻璃间产生热雾,进而扭曲液滴图像,因此需要尽量减小两腔体观察窗玻璃之间的间隙。其次,高压燃烧实验中,由于碳烟颗粒停留时间的进一步增大,碳烟生成趋势随压力增加而增大。大量碳烟的遮挡,对观察液滴十分不利,且碳烟带来的可见光辐射明显增强了火焰亮度,进一步遮挡了液滴。随着碳烟颗粒的增大,碳烟壳稳定性会降低,使得高压下生成球形碳烟壳较为艰难,微小的外界来流等扰动都有可能破坏它。这些流动可能来自高压本身微小的漏率,或由高密度环境气体促进的高Re数,使微重力实验形成球对称液滴火焰的效果不佳。最后,如果是微重力实验,需要设计整体体积较小的实验设备以配套微重力设备狭小的实验仓,这使高压实验装置的设计更加困难。其中Ba等[109]首次报道了微重力环境中高压下壬烷液滴燃烧时拍摄到的碳烟壳,如图 23所示,可以看出即使通过加装阻力罩减轻浮力干扰,液滴仍未达到标准球对称形态。他们利用光电二极管测量碳烟氧化发出的宽带辐射,并将实验数据中的碳烟壳直径与火焰直径随压力变化过程进行整合关联。
图 23 高压下拍摄的液滴火焰结构彩色图像(D0 = 0.63 mm)[109]
Sato[110]通过实验证实正辛烷、正庚烷、正癸烷、正十六烷、乙醇和甲醇等燃料燃烧速率随环境压力的升高而增大,并在燃料临界压力附近达到最大值,超过临界压力,燃烧速率略有下降。Chauveau等[111]在常重力和微重力环境下,利用悬挂纤维丝固定甲醇液滴,在室温高压腔体中进行点火实验。微重力实验分别通过飞机抛物线飞行(约10-2 g)和地面落塔设施(约10-4 g)实现。结果表明,D2定律在实验研究的环境压力、重力加速度范围内均成立,其中压力最高达纯甲醇临界压力的1.4倍。K随环境压力的增加而单调增加,如图 24所示。在微重力条件下,K值对环境压力的依赖性随着环境压力超过临界压力而减弱。
图 24 不同重力环境下液滴燃烧速率估计值Kb0与环境压力的关系(Pa为环境压力,Pcr为临界压力)[111]
Nomura等[38]利用地面落塔设施在微重力环境下研究了亚临界和超临界环境中单液滴的蒸发。实验使用正十六烷液滴,D0为0.4 mm,环境压力为1.0~3.0 MPa,环境温度为773 K,成功观察到超临界环境下液滴的蒸发过程,发现高压下液滴被稠密的燃料蒸气包围,如图 25所示。即使在超临界环境中,液滴温度仍低于燃料临界温度,因此液滴的球形界面能够识别。研究发现归一化液滴寿命随环境压力单调增加;蒸发速率常数随环境压力线性增加,在1.5 MPa时达到最大值,然后线性下降;初始升温期随环境压力增加而线性增加,在2.0 MPa时达到最大值,然后减小。初始升温期与液滴寿命之比随环境压力的增加而增大,在2.0 MPa时达到最大值,然后减小,最终造成在亚临界环境压力下,液滴蒸发寿命随环境压力的增加而增加,尽管蒸发速率常数增加,但初始升温期的增加超过了准稳态蒸发期的减少。综上,尤其对于临界温度较高的燃料,初始升温期极大影响了在临界环境中燃料液滴蒸发寿命对环境压力的依赖。
图 25 亚临界和超临界环境中液滴蒸发过程中背光图像(T=773 K,(D/D0)2≈0.5)[38]
Meyer等[112]通过地面落塔实验实现了微重力下液氧液滴在气态氢气环境中的燃烧。环境压力为0.1~5.7 MPa,对应于0.02~1.12的氧气折算压力(Pr)。实验观察到低压(Pr < 0.15)时,液滴形状明显偏离球形。可能是由于液滴表面附近水凝结成冰,小股氧气流冲破冰壳,这些微爆可能产生线性动量和角动量,导致液滴在脱离悬挂装置后旋转、平移。此外,冰层可能导致K值被低估。超临界条件下由于表面张力消失,液滴在点火火花的压力波作用下变形后未能恢复球形,如图 26所示。研究发现FSR随环境压力的增加略有降低,但压力对火焰位置的影响有限。K值与环境压力有明显的依赖关系,在亚临界状态下,K值最初随压力的增加几乎保持恒定;当Pr>0.15时,K值在临界压力以下显著增加,这可以通过汽化焓的降低来解释;在超临界压力下,因为汽化焓的影响消失,尽管扩散速率进一步降低,但临界混合温度的降低抵消了这一效应,因此K值几乎保持恒定。但由于悬挂纤维丝的存在及缺乏表面张力,液滴表面未能保持球形,这可能影响K值的评估。
图 26 液滴完整燃烧过程(Pr=1.07)[112]
由于传统CFD采用的气液平衡基本假设被证明在超临界和多组分条件下无效,新的模拟方法正在被探索。Gong等[113]通过分子动力学(MD)模拟在分子水平上研究了单组分和多组分烃类燃料蒸发模式的转变。MD基于Newton第二定律,除势函数外无需其他热力学假设,仿真结果经过统计处理。由于气液界面厚度通常只有几纳米,MD不需要对界面做任何假设,因此可以轻松处理纳米级界面的消失,这是传统CFD无法实现的。因此,MD非常适合研究蒸发和模式转变中的物理性质。
Gong等[113]在其研究中设置环境压力为4~36 MPa,环境温度为750~3 600 K,涵盖了亚临界和超临界蒸发环境。他们研究了三组分和六组分液滴蒸发的模式转换。根据燃料原子的平均位移增量(ADI),使用临界无量纲数τ90%(0.5)来确定任意类型和数量组分燃料的蒸发模式转换。研究发现,在扩散蒸发模式下,熵成为燃料蒸发的主导因素,与经典蒸发模式相比,燃料分子的无序性显著增加。他们研究了不同D0的燃料液滴和液膜,发现在相同环境温度、压力下,燃料的归一化比传热表面积越小,蒸发模式转变越容易。此外,还提出了一种相关性来比较单组分和多组分燃料蒸发模式转变的可能性。考虑到MD仿真与实际工程应用之间存在的较大尺寸差异,应考虑进行更大尺寸的MD仿真。对于复杂碳氢化合物,还需进一步开发更精确且计算成本更低的分子间势函数。这些发现为理解和优化燃料蒸发过程提供了新的视角。

7 多组分单液滴燃烧

实际液体燃料通常是含有多种组分的混合物,这些组分在分子结构、输运特性、挥发性等物理化学性质上均存在差异,导致描述其燃烧过程存在较大的不确定性。Law[18]认为多组分的液滴组成导致非定常液滴汽化。Wang等[114]研究了微重力下高温环境中低Re数、多组分单液滴燃烧特性,利用双组分液滴燃烧实验结果证实多组分液滴存在3阶段燃烧过程,液相扩散是主要传输机制。在初始阶段,液滴表层的高挥发性组分优先蒸发,液滴温度相对较低;在短暂的过渡阶段内,液滴温度迅速升高,燃烧速率降低,火焰尺寸缩小,火焰温度降低;在最后的准稳定阶段,液滴内部组分浓度分布保持稳定,挥发性较低的组分更集中于表层区域,液滴温度相对较高。
对于多组分液滴的数值模拟应考虑多种方法解决组分挥发问题,其中需考虑非理想气液平衡(VLE)的影响。Maqua等[115]对乙醇/丙酮液滴的蒸发过程进行了数值模拟。混合物的非理想气液界面利用活度系数进行计算,活度系数通过经验相关性进行评估。Brenn等[116]则采用基于基团贡献法的活度系数估算方法(以下简称UNIFAC)来计算活度系数。Bader等[117]考虑混合物的非理想气液平衡,液相非理想性由活度系数描述,并增加了逸度系数,以改进气相中的非理想行为。Ni等[118]通过模拟研究了非理想气液平衡(VLE)对乙醇/庚烷双组分液滴蒸发的影响。在有效导热模型(ECM)和有效扩散模型(EDM)中加入了3个修正参数,分别为活度系数、Poynting系数和逸度系数,以描述液滴表面的非理想行为。在环境温度为473~673 K、环境压力为0.01~0.1 MPa、液相中庚烷的初始质量分数为0~1的条件下,采用理想和非理想VLE方法对乙醇/庚烷液滴的蒸发过程进行了研究。结果表明,初始庚烷质量分数在混合液滴中为25%和50%时比75%时在非理想模式下对蒸发常数和温度变化的影响更为显著。当混合物中挥发性较小的组分浓度更高时,液体在某种程度上可以被认为是理想的;其次,对于非理想系统,液相组分是决定混合物中不同组分蒸发顺序的重要因素。在某些情况下,挥发性较低的燃料会比混合物中挥发性较高的部分蒸发得更快。此外,在环境温度和压力较高的条件下,非理想性的影响会减弱,这是由于分离因子的值相对较小。
Farouk等[119]对空气中亚毫米直径三组分混合燃料单液滴的燃烧进行了数值研究。他们使用瞬态一维球对称模型进行仿真,利用UNIFAC活度系数法对不同液相组分之间的相互作用进行建模。在近乎完全混合的液滴内部条件和考虑碳烟等条件下,预测结果与实验中液滴直径和FSR历史变化非常吻合。通过比较3种燃料的预测结果,发现随着环境压力的增加,D0减小,优先汽化变得更加重要。在常见的应用压力下,批量蒸馏占主导地位,优先汽化的化学特性差异在影响燃烧行为方面与物理特性同等重要。
为了研究液态复合燃料优先液滴汽化的影响因素,Luo等[120]在其液滴汽化模型中使用“薄膜理论”(气相)和ETC/ED模型(液相),利用配置的24组分RP-3表征燃料[121]为研究对象。针对液滴蒸发过程,采用气化Peclet数的倒数定量研究了不同环境下液滴优先性蒸发程度的控制因素。研究发现:在不同温度下,优先性蒸发程度受液滴蒸发速率影响较大;在不同环境压力下,液滴优先性蒸发程度由液滴内部输运控制;在不同对流强度下,液滴蒸发速率和液滴内部输运均受到环境对流的增强效应,两者相互竞争,形成不同的控制区域。
当各组分的热性能差异足够大,液滴燃烧过程中可以观察到强烈的微爆和液滴直径波动。图 27[122]展示了燃料乳液液滴加热、热膨胀、蒸发、膨化和微爆的典型图像。单一蒸发状态中液滴快速加热并蒸发,未见次级碎片脱落(图 27a);在膨化状态下,气泡成核主要发生在局部而不是整个液滴(图 27b),气泡破裂并伴随液滴碎片脱落;微爆状态下,出现明显的气泡成核,液滴整体爆炸破裂,散落到环境中(图 27c),微爆常发生在较高气体温度或浓度的可燃液体中。微爆的发生对混合物浓度和液滴生成模式的稳定性非常敏感,且微爆成核通常发生在液滴中心附近[114]
图 27 多组分燃料乳液液滴加热的典型图像[122]
形成微爆的主要原因如下:多组分液滴表面低沸点组分优先蒸发、燃烧,由于液滴内部组分扩散到液滴表面的速率低而保持了相对稳定的浓度占比,导致表面充满高浓度、高沸点的燃料,而低沸点燃料被限制在液滴内部;由于燃烧过程中火焰的热传导和辐射,液滴逐渐升温,液滴内部开始有气泡产生并增长,当内部低沸点组分过热时,会破坏液滴表面,发生爆炸性燃烧。微爆带来的二次雾化增加了液滴在反应环境中暴露的表面积,导致更高的蒸发速率和燃料反应速率。二次雾化通过将燃料迅速分散到气相环境中,减少了碳烟、一氧化碳和氮氧化物的形成,有利于液体燃料的燃烧。
Pan等[123]利用落塔设施研究了微重力环境下柴油与各种醇类、生物柴油的混合液滴燃烧情况。研究发现,通过与高挥发性的醇类燃料混合,引入液滴微爆,可能促进燃料液滴更快燃烧。Coughlin等[124]利用戊醇、丁醇和大豆油的三组分混合液滴燃烧,以产生更剧烈的膨化和微爆。结果表明,等体积的戊醇/丁醇/大豆油混合液滴燃烧会出现最剧烈的微爆,使液滴完全破裂,脱离纤维丝。研究认为发生微爆是液滴中沸点略有不同的两种醇类协同作用的结果。最初液滴表面的丁醇被燃烧,戊醇占据液滴表面主要成分;后续蒸发戊醇所需的时间内液滴内部的丁醇受热至过热,导致液滴内部的戊醇也开始过热,使得液滴发生更持续和更强烈的爆炸。醇类的结合导致更强烈的二次雾化,从而缩短喷雾燃烧整体反应时间。
针对上述醇类添加时液滴微爆现象的发生,Chao等[125]利用自由落体设施研究生物柴油/醇类混合燃料微爆燃烧特性,发现醇类的吸水性也可能在微爆中发挥重要作用。实验观察到由于醇类燃料的吸湿特性,在点火前液滴内部出现非均相位点,如图 28所示。内部非均质位点主要由水和醇类组成,测得其含水质量分数高达60%,位点大小受环境湿度影响。添加具有更高吸湿倾向的甲醇会导致混合液滴出现更明显的非均质位点。在燃烧过程中,非均相液滴发生微爆,且醇类和生物柴油等体积混合时具有最高的燃烧速率。研究还发现通过悬挂纤维丝静置液滴,这种内部不均匀性可以在足够的静置时间后消失,后续燃烧中这些双组分燃料液滴并未出现微爆现象。
图 28 悬挂在交叉纤维丝上的生物柴油/乙醇(体积比3∶1) 液滴的变化过程(D0=525 μm,Δt=1.5 s)[125]
目前,压力对液滴微爆的影响仍然存在较大争议。Ghassemi等[126]观察到在非常低的环境压力下,双组分液滴蒸发出现显著的液滴变形和碎裂。该现象是低沸点燃料汽化,在液滴内形成气泡并喷射而导致液滴碎裂。在较高的环境压力下,内部气泡压力被克服,不会出现微爆。但Wang等[127]认为压力的增加有利于液滴微爆。Huang等[128]对RP-3煤油液滴在低压(0.02~0.1 MPa)和高温(473~1 023 K)下的蒸发、自燃和微爆特性进行了实验研究,得到实验条件范围内液滴状态图 29。结果显示:在473 K和0.02~0.10 MPa下液滴直径平方变化已经明显偏离了经典的D2定律,蒸发速率逐渐降低。对于473 K,降低压力可以减小蒸发速率的变化,可能是由于液滴不同组分之间的沸点差异随压力的降低而减小。在673、773和823 K温度下,减压可以降低微爆的可能性,同样考虑是压力对组分沸点差异的影响。对于发生微爆的液滴,发现压力的降低可以显著提高气泡生长速率和液滴破裂强度,可能是由于减压可以提高惯性和扩散控制生长阶段的气泡生长速率。目前液滴燃烧过程中的微爆现象仍较为缺乏微重力环境和悬浮液滴的实验结果,微重力环境可能改变液滴内部气泡的发展过程,而悬浮液滴能消除挂丝对微爆产生的影响。
图 29 液滴微爆状态分区图[128]

8 实际燃料的单液滴燃烧

汽油、柴油等实际液体燃料主要来源于原油蒸馏,它们是由多种混溶物质组成的复杂混合物。这些燃料广泛应用于商业和军事运输装备,但由于其复杂性,燃烧过程中的燃料特性、碳烟生成等动力学特性具有显著差异,使得开发适用的燃料模型颇具挑战。目前,研究通常采用较少已知化学物质组成的简化混合物来模拟商用燃料的燃烧特性 [119, 129]
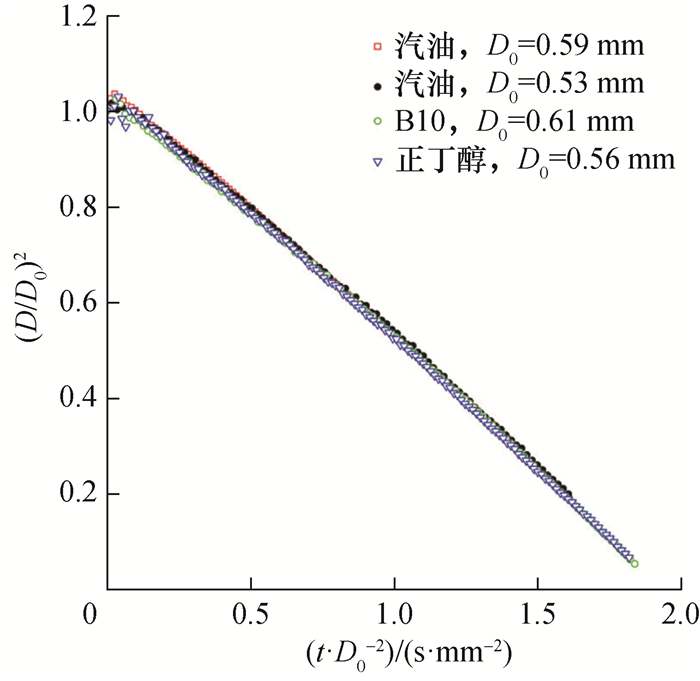
研究人员尝试通过利用现有碳氢燃料复刻实际燃料如汽油等。Xu等[130]通过落塔实验比较了87辛烷值汽油(无乙醇)、正丁醇、汽油/正丁醇(体积比9∶1,记为B10)混合燃料的单液滴燃烧特性。D0 =0.52~0.63 mm,实验在常温常压空气中进行,结果如图 30所示。研究表明,丁醇和B10的燃烧速率几乎与汽油相同,但它们的碳烟生成能力存在显著差异;汽油和B10的火焰比丁醇的离液滴表面更远。对于本研究中的小尺寸液滴,碳烟的生成对燃烧的影响并不大。由于丁醇和汽油的燃烧速率相近,可以将丁醇作为非常合适的汽油添加剂,以最大限度地减少汽油消耗;由于丁醇生成碳烟的倾向更低,通过加入丁醇可减少颗粒物的排放。
图 30 研究所用燃料归一化液滴直径平方随时间的变化[130]
Liu等[46]实验研究了微重力环境下异辛烷、正庚烷和甲苯双组分混合液滴的燃烧特性,并与87辛烷值汽油进行比较。D0≈0.51 mm,环境为大气压下室温空气。结果显示异辛烷、正庚烷及其混合物液滴的燃烧速率几乎相同,显著高于汽油。甲苯的燃烧速率与汽油准稳态燃烧时期的燃烧速率相近。所研究的碳氢化合物燃料无法复刻汽油燃烧时火焰或碳烟壳与液滴直径比。
此外,基于多组分燃料蒸馏数值模拟,Luo等[121]对现有的一些Jet-A表征燃料模型进行测试,提出了新的模型燃料构建方法,并以RP-3为例,构建了一个24组分的复杂模型燃料,该模型燃料能够很好地预测真实航空煤油在蒸馏过程中的蒸馏曲线及官能团变化。他们将该模型燃料应用于蒸馏和液滴蒸发数值模拟中,分别探索其液相物性参数和气相燃烧特性参数(CPTs)的变化。研究发现,由于化合物挥发性分布宽泛,模型燃料汽化过程中四种CPTs均发生显著变化。为使模型燃料得到高效应用,后续他们介绍了一种人工活度系数模型(AACM)的构建方法[131]。该方法在减少模型燃料组分数的基础上通过“修正”活度系数来保证其在蒸发过程中关键官能团变化与真实燃料的一致性,最终得到4组分简单模型燃料和与之对应的人工活度系数模型。经过验证,引入人工活度系数模型的简单模型燃料能够准确地复刻复杂模型燃料在蒸发过程中的表现,同时提高了模型燃料在数值模拟中的计算效率。随着人们对大规模多相反应流模拟中复杂真实燃料建模的需求,该研究中引入的方法并不局限于特定燃料或替代组分的数量,可以扩展到获得任意石油燃料的蒸馏数据,制定一个复杂混合物来模拟石油燃料,然后使用一个更简单的混合物与AACM来模拟复杂混合物的蒸馏。由于该方法得到的AACM与液滴汽化模型和喷雾燃烧模拟中化学动力学建模的离散组分方法兼容,因此显示出很大的潜力,可以扩展到目前简单蒸馏情况的更大范围之外。
随着石油资源的减少和化石燃料燃烧过程中温室气体的排放,非化石含氧燃料,如生物燃料,被视为具有前景的替代能源。生物燃料的供应具有可再生性,可实现最小周期的温室气体排放,对生物燃料燃烧特性的研究有助于它们在实际动力系统中的应用。
首先,生物燃料相比于传统碳氢燃料其碳烟排放显著降低。Pan等[132]通过微重力实验研究了生物柴油燃烧特性,发现尽管生物柴油燃料从发射辐射角度来看,其碳烟生成量基本大于烷烃类燃料,但其生成碳烟壳的趋势更弱,认为是生物柴油具有涉及特定表面氧基团的独特分子结构,加快了碳烟颗粒氧化反应速度。因此,在柴油或烷烃类燃料中添加生物柴油可能会增强碳烟的氧化,从而产生独特的碳烟壳纳米结构,该结构在燃烧阶段会迅速溶解或膨胀,如图 31所示,有助于改善燃烧过程。但碳烟壳对燃烧速率的影响,导致其他燃料燃烧速率显示出与生物柴油添加分数之间的非线性关系。
图 31 微重力下等体积十六烷/生物柴油混合液滴燃烧过程背光拍摄结果(D0 =528 μm;Δt=25 ms)[132]
Botero等[133]在高温燃烧室中对自由落体的乙醇、柴油、生物柴油(蓖麻油)及其混合物液滴进行燃烧实验。研究表明,在柴油中添加生物柴油可显著降低碳烟生成,主要影响因素为混合物中芳烃含量降低和生物柴油OH官能团的氧化能力。但加入生物柴油会使液滴燃烧速率略微降低,考虑是生物柴油热值较低带来的影响。此外,通过向柴油和生物柴油中添加乙醇,观察到微爆现象,其中生物柴油/乙醇混合液滴表现出更强的微爆倾向,导致汽化时间和碳烟生成程度显著减少。
有学者尝试利用特定生物燃料去替代传统喷气燃料。Liu等[134]利用微重力下单液滴燃烧实验数据,对比了氢化处理的生物质亚麻荠(POSF6152)和牛油(POSF6308)燃料、民用航空煤油(Jet-A,POSF4658)及其混合物液滴的燃烧特性,虽然所研究的生物燃料被视为传统喷气燃料的替代燃料,但由于密封特性考量,一般需要与航空煤油混合使用,以符合相关标准的芳香烃占比。其中D0 =0.57±0.03 mm。研究发现,燃烧过程中Jet-A和生物燃料的液滴、火焰和碳烟壳直径的变化均十分相似,与燃料成分配比无关。由于Jet-A具有更高含量的芳香烃,相较于生物燃料生成了更厚的碳烟壳,二者等体积混合时,碳烟生成趋势介于二者之间。
目前利用简单混合物来复刻真实燃料的燃烧特性依旧存在很大困难,生物燃料由于其极复杂的混合特性更是难以得到合适的表征燃料模型,实验数据也十分匮乏。因此,该部分实验和模拟的进一步研究和突破对未来能源结构的转型和环境污染的整治具有重大意义。

9 结论

结合实验与数值模拟,通过对微重力实验中观察到的新现象进行深入探究,基础燃烧理论得以不断拓展。通过对文中提及的燃烧中存在的特殊现象和不确定因素产生的影响进行详细分析,为微重力实验的开展及数值模型的完善提供了新的思路。目前的微重力单液滴燃烧实验体现了几个方面的价值:1) 以新现象弥补液滴燃烧理论中不足之处;2) 通过降低浮力对流的实验揭示不同液体燃料的自着火、准稳态燃烧和熄灭的基本特性;3) 基于所发现的多段反应的火焰结构提出液滴燃烧新的理论框架。本文通过从理论和实验探讨微重力单液滴燃烧相关的各个方面,不仅揭示了液滴燃烧过程中物理化学本质现象,也展示了现有的相关研究技术和方法。这些成果为解决能源效率提升和环境污染整治等问题提供了科学依据。但目前微重力单液滴燃烧实验和理论方面仍存在许多挑战,1) 高压下燃烧实验光学诊断手段存在缺陷;2) 高压环境中相关理论缺少大量实验数据的支撑;3) 压力影响在微爆中存在的争议;4) 实际表征燃料实验数据偏少;5) 很难准确利用少数组分的简单模型实现实际表征燃料模型的开发;6) 新型液体燃料(生物柴油等)相关研究数据的缺乏等。这些问题的进一步解决,有望为新型燃烧技术的开发和能源绿色低碳转型提供一定的理论支撑。
1
WEN Y Z , LI L F , LI X , et al. Extinction of microgravity partially premixed flame aboard the Chinese Space Station[J]. Proceedings of the Combustion Institute, 2024, 40(1-4): 105574.

DOI

2
MIKAMI M , MATSUMOTO K , YOSHIDA Y , et al. Space-based microgravity experiments on flame spread over randomly distributed n -decane-droplet clouds: Anomalous behavior in flame spread[J]. Proceedings of the Combustion Institute, 2021, 38(2): 3167- 3174.

DOI

3
CHIU H H , KIM H Y , CROKE E J . Internal group combustion of liquid droplets[J]. Symposium (International) on Combustion, 1982, 19(1): 971- 980.

DOI

4
ZHOU H Y , LIU Y C . External group combustion of droplet clouds under two-stage autoignition conditions[J]. Combustion and Flame, 2021, 234, 111689.

DOI

5
UMEMURA A , TAKAMORI S . Percolation theory for flame propagation in non- or less-volatile fuel spray: A conceptual analysis to group combustion excitation mechanism[J]. Combustion and Flame, 2005, 141(4): 336- 349.

DOI

6
MIKAMI M , OYAGI H , KOJIMA N , et al. Microgravity experiments on flame spread along fuel-droplet arrays using a new droplet-generation technique[J]. Combustion and Flame, 2005, 141(3): 241- 252.

DOI

7
MIKAMI M , OYAGI H , KOJIMA N , et al. Microgravity experiments on flame spread along fuel-droplet arrays at high temperatures[J]. Combustion and Flame, 2006, 146(3): 391- 406.

DOI

8
NOMURA H , IWASAKI H , SUGANUMA Y , et al. Microgravity experiments of flame spreading along a fuel droplet array in fuel vapor-air mixture[J]. Proceedings of the Combustion Institute, 2011, 33(2): 2013- 2020.

DOI

9
YOSHIDA Y , IWAI K , NAGATA K , et al. Flame-spread limit from interactive burning droplets in microgravity[J]. Proceedings of the Combustion Institute, 2019, 37(3): 3409- 3416.

DOI

10
MIKAMI M , MATSUMOTO K , CHIKAMI Y , et al. Appearance of cool flame in flame spread over fuel droplets in microgravity[J]. Proceedings of the Combustion Institute, 2023, 39(2): 2449- 2459.

DOI

11
KUMAGAI S , ISODA H . Combustion of fuel droplets in a falling chamber[J]. Symposium (International) on Combustion, 1957, 6(1): 726- 731.

DOI

12
DIETRICH D L , NAYAGAM V , HICKS M C , et al. Droplet Combustion Experiments Aboard the International Space Station[J]. Microgravity Science and Technology, 2014, 26(2): 65- 76.

DOI

13
TANABE M , BOLIK T , EIGENBROD C , et al. Spontaneous ignition of liquid droplets from a view of non-homogeneous mixture formation and transient chemical reactions[J]. Symposium (International) on Combustion, 1996, 26(1): 1637- 1643.

DOI

14
GODSAVE G A E . Studies of the combustion of drops in a fuel spray—the burning of single drops of fuel[J]. Symposium (International) on Combustion, 1953, 4(1): 818- 830.

DOI

15
SPALDING D B . Combustion of liquid fuels[J]. Nature, 1950, 165(4187): 160.

DOI

16
ROSS H D , GOLLAHALLI S R . Microgravity combustion: Fire in free fall[J]. Applied Mechanics Reviews, 2002, 55(6): B116- B117.

DOI

17
SIRIGNANO W A . Fuel droplet vaporization and spray combustion theory[J]. Progress in Energy and Combustion Science, 1983, 9(4): 291- 322.

DOI

18
LAW C K . Recent advances in droplet vaporization and combustion[J]. Progress in Energy and Combustion Science, 1982, 8(3): 171- 201.

DOI

19
CRESPO A , LIÑAN A . Unsteady effects in droplet evaporation and combustion[J]. Combustion Science and Technology, 1975, 11(1-2): 9- 18.

DOI

20
CHIN J S , LEFEBVRE A H . The role of the heat-up period in fuel drop evaporation[J]. International Journal of Turbo and Jet Engines, 1985, 2(4): 315- 325.

21
CHAUVEAU C , BIROUK M , GÖKALP I . An analysis of the d2-law departure during droplet evaporation in microgravity[J]. International Journal of Multiphase Flow, 2011, 37(3): 252- 259.

DOI

22
FAROUK T , DRYER F L . Microgravity droplet combustion: Effect of tethering fiber on burning rate and flame structure[J]. Combustion Theory and Modelling, 2011, 15(4): 487- 515.

DOI

23
MILLÁN-MERINO A , FERNÁNDEZ-TARRAZO E , SÁNCHEZ-SANZ M . Theoretical and numerical analysis of the evaporation of mono-and multicomponent single fuel droplets[J]. Journal of Fluid Mechanics, 2021, 910, A11.

DOI

24
XU G W , IKEGAMI M , HONMA S , et al. Inverse influence of initial diameter on droplet burning rate in cold and hot ambiences: A thermal action of flame in balance with heat loss[J]. International Journal of Heat and Mass Transfer, 2003, 46(7): 1155- 1169.

DOI

25
KUMAGAI S , SAKAI T , OKAJIMA S . Combustion of free fuel droplets in a freely falling chamber[J]. Symposium (International) on Combustion, 1971, 13(1): 779- 785.

DOI

26
TUCKERMANN R , BAUERECKER S , CAMMENGA H K . IR-thermography of evaporating acoustically levitated drops[J]. International Journal of Thermophysics, 2005, 26(5): 1583- 1594.

DOI

27
ALI AL ZAITONE B , TROPEA C . Evaporation of pure liquid droplets: Comparison of droplet evaporation in an acoustic field versus glass-filament[J]. Chemical Engineering Science, 2011, 66(17): 3914- 3921.

DOI

28
WISE H , LORELL J , WOOD B J . The effects of chemical and physical parameters on the burning rate of a liquid droplet[J]. Symposium (International) on Combustion, 1955, 5(1): 132- 141.

DOI

29
LIU Y C , XU Y , AVEDISIAN C T , et al. The effect of support fibers on micro-convection in droplet combustion experiments[J]. Proceedings of the Combustion Institute, 2015, 35(2): 1709- 1716.

DOI

30
REHMAN H L U , WEISS J , SEERS P . Effect of heat conduction on droplet life time and evaporation rate under forced convection at low temperatures[J]. Experimental Thermal and Fluid Science, 2016, 72, 59- 66.

DOI

31
Drop tower experiments and modeling[EB/OL]. [2024-04-20]. https://www.princeton.edu/~fldryer/nasa.dir/current1.htm.

32
LIU Y C. Droplet combustion of surrogate and real fuel systems in a low convection condition: Ground-based and space-based experiments[D]. New York: Cornell University, 2013.

33
SEGAWA D , YOSHIDA M , NAKAYA S , et al. Autoignition and early flame behavior of a spherical cluster of 49 monodispersed droplets[J]. Proceedings of the Combustion Institute, 2007, 31(2): 2149- 2156.

DOI

34
NAGATA H , KUDO I , ITO K , et al. Interactive combustion of two-dimensionally arranged quasi-droplet clusters under microgravity[J]. Combustion and Flame, 2002, 129(4): 392- 400.

DOI

35
TANABE M , KONO M , SATO J , et al. Two stage ignition of n -heptane isolated droplets[J]. Combustion Science and Technology, 1995, 108(1-3): 103- 119.

DOI

36
MORIUE O , EIGENBROD C , RATH H J , et al. Spontaneous ignition of n -alkane droplets with various volatility[J]. Transactions of the Japan Society for Aeronautical and Space Sciences, 2004, 47(157): 189- 194.

DOI

37
TSUE M , ISHIMARU R , UKITA T , et al. Spontaneous ignition of fuel droplets in lean fuel-air mixtures[J]. Journal of Propulsion and Power, 2006, 22(6): 1339- 1348.

DOI

38
NOMURA H , MURAKOSHI T , SUGANUMA Y , et al. Microgravity experiments of fuel droplet evaporation in sub- and supercritical environments[J]. Proceedings of the Combustion Institute, 2017, 36(2): 2425- 2432.

DOI

39
STRUK , P M , ACKERMAN M , NAYAGAM V , et al. On calculating burning rates during fiber supported droplet combustion[J]. Microgravity Science and Technology, 1998, 11(4): 144- 151.

40
AVEDISIAN C T , JACKSON G S . Soot patterns around suspended n -heptane droplet flames in a convection-free environment[J]. Journal of Propulsion and Power, 2000, 16(6): 974- 979.

DOI

41
YANG J R , WONG S C . An experimental and theoretical study of the effects of heat conduction through the support fiber on the evaporation of a droplet in a weakly convective flow[J]. International Journal of Heat and Mass Transfer, 2002, 45(23): 4589- 4598.

DOI

42
CHAUVEAU C , BIROUK M , HALTER F , et al. An analysis of the droplet support fiber effect on the evaporation process[J]. International Journal of Heat and Mass Transfer, 2019, 128, 885- 891.

DOI

43
SHRINGI D , DWYER H A , SHAW B D . Influences of support fibers on vaporizing fuel droplets[J]. Computers & Fluids, 2013, 77, 66- 75.

44
GHATA N , SHAW B D . Computational modeling of the effects of support fibers on evaporation of fiber-supported droplets in reduced gravity[J]. International Journal of Heat and Mass Transfer, 2014, 77, 22- 36.

DOI

45
WANG J G , HUANG X Y , QIAO X Q , et al. Experimental study on effect of support fiber on fuel droplet vaporization at high temperatures[J]. Fuel, 2020, 268, 117407.

DOI

46
LIU Y C , AVEDISIAN C T . A comparison of the spherical flame characteristics of sub-millimeter droplets of binary mixtures of n -heptane/iso-octane and n -heptane/toluene with a commercial unleaded gasoline[J]. Combustion and Flame, 2012, 159(2): 770- 783.

DOI

47
SHAW B D , DRYER F L , WILLIAMS F A , et al. Sooting and disruption in spherically symmetrical combustion of decane droplets in air[J]. Acta Astronautica, 1988, 17(11-12): 1195- 1202.

DOI

48
CHOI M Y, DRYER F L, GREEN G J, et al. Soot agglomeration in isolated, free droplet combustion[C]//Proceedings of the 31st Aerospace Sciences Meeting. Reno, USA: AIAA Paper, 1993.

49
JACKSON G S , AVEDISIAN C T . Modeling of spherically symmetric droplet flames including complex chemistry: Effect of water addition on n -heptane droplet combustion[J]. Combustion Science and Technology, 1996, 115(1-3): 125- 149.

DOI

50
PEREA A, GARCIA-YBARRA P L, CASTILLO J L. Soot diffusive transport effects affecting soot shell formation in droplet combustion[C]//Proceedings of the Mediterranean Combustion Symposium. Napoli, Italy: Istituto Di Ricerche Sulla Combustione, 1999: 275-285.

51
BEN-DOR G , ELPERIN T , KRASOVIT B . Effect of thermo—and diffusiophoretic forces on the motion of flame-generated particles in the neighbourhood of burning droplets in microgravity conditions[J]. Proceedings of the Royal Society of London. Series A: Mathematical, Physical and Engineering Sciences, 2003, 459(2031): 677- 703.

DOI

52
DOBBINS R A , GOVATZIDAKIS G J , LU W , et al. Carbonization rate of soot precursor particles[J]. Combustion Science and Technology, 1996, 121(1-6): 103- 121.

DOI

53
MANZELLO S L , YOZGATLIGIL A , CHOI M Y . An experimental investigation of sootshell formation in microgravity droplet combustion[J]. International Journal of Heat and Mass Transfer, 2004, 47(24): 5381- 5385.

DOI

54
MIKAMI M , NIWA M , KATO H , et al. Clarification of the flame structure of droplet burning based on temperature measurement in microgravity[J]. Symposium (International) on Combustion, 1994, 25(1): 439- 446.

DOI

55
NAKAYA S , FUJISHIMA K , TSUE M , et al. Effects of droplet diameter on instantaneous burning rate of isolated fuel droplets in argon-rich or carbon dioxide-rich ambiences under microgravity[J]. Proceedings of the Combustion Institute, 2013, 34(1): 1601- 1608.

DOI

56
CHANG K C , SHIER J S . Theoretical investigation of transient droplet combustion by considering flame radiation[J]. International Journal of Heat and Mass Transfer, 1995, 38(14): 2611- 2621.

DOI

57
BAEK S W , PARK J H , CHOI C E . Investigation of droplet combustion with nongray gas radiation effects[J]. Combustion Science and Technology, 1999, 142(1-6): 55- 79.

DOI

58
MOSS J B , STEWART C D , SYED K J . Flowfield modelling of soot formation at elevated pressure[J]. Symposium (International) on Combustion, 1989, 22(1): 413- 423.

DOI

59
STAGNI A , CUOCI A , FRASSOLDATI A , et al. Numerical investigation of soot formation from microgravity droplet combustion using heterogeneous chemistry[J]. Combustion and Flame, 2018, 189, 393- 406.

DOI

60
NOBILI A , FRASSOLDATI A , FARAVELLI T , et al. Soot formation in combustion of spherically symmetric isolated fuel droplets with different initial diameters[J]. Fuel, 2024, 363, 130403.

DOI

61
CHOI M Y, YOZGATLIGIL A, DRYER F L, et al. Experiments and model development for the investigation of sooting and radiation effects in microgravity droplet combustion[C]//Proceedings of the Sixth International Microgravity Combustion Workshop. Cleveland, USA: NASA, 2001.

62
NAYAGAM V , DIETRICH D L , FERKUL P V , et al. Can cool flames support quasi-steady alkane droplet burning?[J]. Combustion and Flame, 2012, 159(12): 3583- 3588.

DOI

63
TARIFA C S , DEL NOTARIO P P , MORENO F G . On the flight paths and lifetimes of burning particles of wood[J]. Symposium (International) on Combustion, 1965, 10(1): 1021- 1037.

DOI

64
LAW C K . Asymptotic theory for ignition and extinction in droplet burning[J]. Combustion and Flame, 1975, 24, 89- 98.

DOI

65
CHAO B H , LAW C K , T'IEN J S . Structure and extinction of diffusion flames with flame radiation[J]. Symposium (International) on Combustion, 1991, 23(1): 523- 531.

DOI

66
SAITOH T , YAMAZAKI K , VISKANTA R . Effect of thermal radiation on transient combustion of a fuel droplet[J]. Journal of Thermophysics and Heat Transfer, 1993, 7(1): 94- 100.

DOI

67
MARCHESE A J , DRYER F L . The effect of non-luminous thermal radiation in microgravity droplet combustion[J]. Combustion Science and Technology, 1997, 124(1-6): 371- 402.

DOI

68
MARCHESE A J , DRYER F L , COLANTONIO R O . Radiative effects in space-based methanol/water droplet combustion experiments[J]. Symposium (International) on Combustion, 1998, 27(2): 2627- 2634.

DOI

69
DIETRICH D L , HAGGARD J B , DRYER F L , et al. Droplet combustion experiments in spacelab[J]. Symposium (International) on Combustion, 1996, 26(1): 1201- 1207.

DOI

70
ZHANG B L , CARD J M , WILLIAMS F A . Application of rate-ratio asymptotics to the prediction of extinction for methanol droplet combustion[J]. Combustion and Flame, 1996, 105(3): 267- 290.

DOI

71
MARCHESE A J , DRYER F L . The effect of liquid mass transport on the combustion and extinction of bicomponent droplets of methanol and water[J]. Combustion and Flame, 1996, 105(1-2): 104- 122.

DOI

72
RAGHAVAN V , POPE D N , HOWARD D , et al. Surface tension effects during low-Reynolds-number methanol droplet combustion[J]. Combustion and Flame, 2006, 145(4): 791- 807.

DOI

73
RAGHAVAN V , POPE D N , GOGOS G . Effect of non-luminous flame radiation during methanol droplet combustion[J]. Combustion Science and Technology, 2008, 180(3): 546- 564.

DOI

74
NAYAGAM V . Activation energy asymptotics for methanol droplet extinction in microgravity[J]. Combustion and Flame, 2013, 160(11): 2638- 2640.

DOI

75
HICKS M C , NAYAGAM V , WILLIAMS F A . Methanol droplet extinction in carbon-dioxide-enriched environments in microgravity[J]. Combustion and Flame, 2010, 157(8): 1439- 1445.

DOI

76
MATALON M , LAW C K . Gas-phase transient diffusion in droplet vaporization and combustion[J]. Combustion and Flame, 1985, 59(2): 213- 215.

DOI

77
SHAW B D , VANG C L . Oxygen Lewis number effects on reduced gravity combustion of methanol and n -heptane droplets[J]. Combustion Science and Technology, 2016, 188(1): 1- 20.

DOI

78
NAYAGAM V , DIETRICH D L , HICKS M C , et al. Radiative extinction of large n -alkane droplets in oxygen-inert mixtures in microgravity[J]. Combustion and Flame, 2018, 194, 107- 114.

DOI

79
FAROUK T I , DRYER F L . On the extinction characteristics of alcohol droplet combustion under microgravity conditions—a numerical study[J]. Combustion and Flame, 2012, 159(10): 3208- 3223.

DOI

80
NAYAGAM V, MARCHESE A J, SACKSTEDER K R. Microgravity droplet combustion: An inverse scale modeling problem[M]//SAITO K. Progress in Scale Modeling: Summary of the First International Symposium on Scale Modeling (ISSM I in 1988) and Selected Papers from Subsequent Symposia (ISSM Ⅱ in 1997 through ISSM V in 2006). Dordrecht: Springer Netherlands, 2008: 169-178.

81
LIU Y C , XU Y H , HICKS M C , et al. Comprehensive study of initial diameter effects and other observations on convection-free droplet combustion in the standard atmosphere for n -heptane, n -octane, and n -decane[J]. Combustion and Flame, 2016, 171, 27- 41.

DOI

82
CUOCI A , AVEDISIAN C T , BRUNSON J D , et al. Simulating combustion of a seven-component surrogate for a gasoline/ethanol blend including soot formation and comparison with experiments[J]. Fuel, 2021, 288, 119451.

DOI

83
CUOCI A , SAUFI A E , FRASSOLDATI A , et al. Flame extinction and low-temperature combustion of isolated fuel droplets of n -alkanes[J]. Proceedings of the Combustion Institute, 2017, 36(2): 2531- 2539.

DOI

84
MÜLLER U C , PETERS N , LIÑÁN A . Global kinetics for n -heptane ignition at high pressures[J]. Symposium (International) on Combustion, 1992, 24(1): 777- 784.

DOI

85
FAROUK T I , DRYER F L . Isolated n -heptane droplet combustion in microgravity: " Cool Flames "—two-stage combustion[J]. Combustion and Flame, 2014, 161(2): 565- 581.

DOI

86
FAROUK T I , HICKS M C , DRYER F L . Multistage oscillatory " Cool Flame " behavior for isolated alkane droplet combustion in elevated pressure microgravity condition[J]. Proceedings of the Combustion Institute, 2015, 35(2): 1701- 1708.

DOI

87
DIETRICH D L , CALABRIA R , MASSOLI P , et al. Experimental observations of the low-temperature burning of decane/hexanol droplets in microgravity[J]. Combustion Science and Technology, 2017, 189(3): 520- 554.

DOI

88
FROLOV S M , BASEVICH V Y . Simulation of low-temperature oxidation and combustion of n -dodecane droplets under microgravity conditions[J]. Fire, 2023, 6(2): 70.

DOI

89
NAYAGAM V , DIETRICH D L , WILLIAMS F A . A Burke-Schumann analysis of dual-flame structure supported by a burning droplet[J]. International Communications in Heat and Mass Transfer, 2017, 87, 84- 89.

DOI

90
NAYAGAM V , DIETRICH D L , WILLIAMS F A . Partial-burning regime for quasi-steady droplet combustion supported by cool flames[J]. AIAA Journal, 2016, 54(4): 1235- 1239.

DOI

91
CUOCI A , FRASSOLDATI A , FARAVELLI T , et al. Numerical modeling of auto-ignition of isolated fuel droplets in microgravity[J]. Proceedings of the Combustion Institute, 2015, 35(2): 1621- 1627.

DOI

92
ZHANG W Y , ZHOU H Y , LIU Y C . Autoignition regime boundaries for n -heptane droplets under microgravity[J]. Microgravity Science and Technology, 2022, 34(4): 57.

DOI

93
ZHANG W Y , SONG H Y , ZHOU H Y , et al. Can an isolated iso-octane droplet undergo multi-stage auto-ignition in air?[J]. Combustion and Flame, 2024, 261, 113293.

DOI

94
FAROUK T I , XU Y , AVEDISIAN C T , et al. Combustion characteristics of primary reference fuel (PRF) droplets: Single stage high temperature combustion to multistage "Cool Flame" behavior[J]. Proceedings of the Combustion Institute, 2017, 36(2): 2585- 2594.

DOI

95
ANDO S , SHIMADA K , ETO D , et al. Experimental investigation of cool flame behavior of isolated n -decane/ethanol droplet under microgravity[J]. Microgravity Science and Technology, 2021, 33(4): 54.

DOI

96
NAYAGAM V , DIETRICH D L , WILLIAMS F A . Effects of properties of atmosphere diluents on cool-flame combustion of normal-alkane droplets[J]. Combustion and Flame, 2021, 229, 111408.

DOI

97
ALAM F E , AGHDAM A C , DRYER F L , et al. Oscillatory cool flame combustion behavior of submillimeter sized n -alkane droplet under near limit conditions[J]. Proceedings of the Combustion Institute, 2019, 37(3): 3383- 3391.

DOI

98
XU Y H , FAROUK T I , HICKS M C , et al. Initial diameter effects on combustion of unsupported equi-volume n -heptane/iso-octane mixture droplets and the transition to cool flame behavior: Experimental observations and detailed numerical modeling[J]. Combustion and Flame, 2020, 220, 82- 91.

DOI

99
FAROUK T I , DRYER F L . Extinction characteristics of isolated n -alkane fuel droplets during low temperature cool flame burning in air[J]. Proceedings of the Combustion Institute, 2023, 39(2): 2471- 2481.

DOI

100
SPALDING D B . Theory of particle combustion at high pressures[J]. ARS Journal, 1959, 29(11): 828- 835.

DOI

101
MATLOSZ R L , LEIPZIGER S , TORDA T P . Investigation of liquid drop evaporation in a high temperature and high pressure environment[J]. International Journal of Heat and Mass Transfer, 1972, 15(4): 831- 852.

DOI

102
KADOTA T , HIROYASU H . Evaporation of a single droplet at elevated pressures and temperatures: 2nd report, theoretical study[J]. Bulletin of JSME, 1976, 19(138): 1515- 1521.

DOI

103
BALAJI B , RAGHAVAN V , RAMAMURTHI K , et al. A numerical study of evaporation characteristics of spherical n -dodecane droplets in high pressure nitrogen environment[J]. Physics of Fluids, 2011, 23(6): 063601.

DOI

104
REDLICH O , KWONG J N S . On the Thermodynamics of solutions. V. An equation of state. Fugacities of gaseous solutions[J]. Chemical Reviews, 1949, 44(1): 233- 244.

DOI

105
SOAVE G . Equilibrium constants from a modified Redlich-Kwong equation of state[J]. Chemical Engineering Science, 1972, 27(6): 1197- 1203.

DOI

106
PENG D Y , ROBINSON D B . A new two-constant equation of state[J]. Industrial & Engineering Chemistry Fundamentals, 1976, 15(1): 59- 64.

107
ZHU G S , AGGARWAL S K . Fuel droplet evaporation in a supercritical environment[J]. Journal of Engineering for Gas Turbines and Power, 2002, 124(4): 762- 770.

DOI

108
YU D H , CHEN Z . Theoretical analysis on droplet vaporization at elevated temperatures and pressures[J]. International Journal of Heat and Mass Transfer, 2021, 164, 120542.

DOI

109
BAE J H , AVEDISIAN C T . High-pressure combustion of submillimeter-sized nonane droplets in a low convection environment[J]. Combustion and Flame, 2006, 145(3): 607- 620.

DOI

110
SATO J. Studies on droplet evaporation and combustion in high pressures[C]//Proceedings of the 31st Aerospace Sciences Meeting. Reno, USA: AIAA Paper, 1993.

111
CHAUVEAU C , GÖKALP I , SEGAWA D , et al. Effects of reduced gravity on methanol droplet combustion at high pressures[J]. Proceedings of the Combustion Institute, 2000, 28(1): 1071- 1077.

DOI

112
MEYER F , EIGENBROD C , WAGNER V , et al. Oxygen droplet combustion in hydrogen under microgravity conditions[J]. Combustion and Flame, 2022, 241, 112081.

DOI

113
GONG Y F , MA X , LUO K H , et al. A molecular dynamics study of evaporation mode transition of hydrocarbon fuels under supercritical conditions[J]. Combustion and Flame, 2022, 246, 112397.

DOI

114
WANG C H , LIU X Q , LAW C K . Combustion and microexplosion of freely falling multicomponent droplets[J]. Combustion and Flame, 1984, 56(2): 175- 197.

DOI

115
MAQUA C , CASTANET G , LEMOINE F . Bicomponent droplets evaporation: Temperature measurements and modelling[J]. Fuel, 2008, 87(13-14): 2932- 2942.

DOI

116
BRENN G , DEVIPRASATH L J , DURST F , et al. Evaporation of acoustically levitated multi-component liquid droplets[J]. International Journal of Heat and Mass Transfer, 2007, 50(25-26): 5073- 5086.

DOI

117
BADER A , KELLER P , HASSE C . The influence of non-ideal vapor-liquid equilibrium on the evaporation of ethanol/iso-octane droplets[J]. International Journal of Heat and Mass Transfer, 2013, 64, 547- 558.

DOI

118
NI Z J , HESPEL C , HAN K , et al. The non-ideal evaporation behaviors of ethanol/heptane droplets: Impact on diameter, temperature evolution and the light scattering by droplet at the rainbow angle[J]. International Journal of Heat and Mass Transfer, 2021, 164, 120401.

DOI

119
FAROUK T I , WON S H , DRYER F L . Sub-millimeter sized multi-component jet fuel surrogate droplet combustion: Physicochemical preferential vaporization effects[J]. Proceedings of the Combustion Institute, 2021, 38(2): 3313- 3323.

DOI

120
LUO L , LIU Y C . Controlling parameters and regimes for preferential vaporization of jet fuel droplet with liquid transport and convection[J]. Fuel, 2022, 321, 123817.

DOI

121
LUO L , LIU Y C . Variation of gas phase combustion properties of complex fuels during vaporization: Comparison for distillation and droplet scenarios[J]. Proceedings of the Combustion Institute, 2021, 38(2): 3287- 3294.

DOI

122
ANTONOV D V , FEDORENKO R M , STRIZHAK P A . Micro-explosion phenomenon: Conditions and benefits[J]. Energies, 2022, 15(20): 7670.

DOI

123
PAN K L , CHIU M C . Droplet combustion of blended fuels with alcohol and biodiesel/diesel in microgravity condition[J]. Fuel, 2013, 113, 757- 765.

DOI

124
COUGHLIN B , HOXIE A . Combustion characteristics of ternary fuel Blends: Pentanol, butanol and vegetable oil[J]. Fuel, 2017, 196, 488- 496.

DOI

125
CHAO C Y , TSAI H W , PAN K L , et al. On the microexplosion mechanisms of burning droplets blended with biodiesel and alcohol[J]. Combustion and Flame, 2019, 205, 397- 406.

DOI

126
GHASSEMI H , BAEK S W , KHAN Q S . Experimental study on binary droplet evaporation at elevated pressures and temperatures[J]. Combustion Science and Technology, 2006, 178(6): 1031- 1053.

DOI

127
WANG C H , LAW C K . Microexplosion of fuel droplets under high pressure[J]. Combustion and Flame, 1985, 59(1): 53- 62.

DOI

128
HUANG J , ZHANG H T , HE Y , et al. Evaporation, autoignition and micro-explosion characteristics of RP-3 kerosene droplets under sub-atmospheric pressure and elevated temperature[J]. Energies, 2022, 15(19): 7172.

DOI

129
REIMERT M. Characterization of the autoignition of single droplets of fischer-tropsch fuels and development of surrogates[D]. Bremen: Universität Bremen, 2012.

130
XU Y H , AVEDISIAN C T . Combustion of n -butanol, gasoline, and n -butanol/gasoline mixture droplets[J]. Energy & Fuels, 2015, 29(5): 3467- 3475.

131
LUO L , LIU Y C . An "artificial" activity coefficient modeling approach for emulating combustion and physical property variations during distillation of real complex fuel[J]. Combustion and Flame, 2021, 230, 111446.

DOI

132
PAN K L , LI J W , CHEN C P , et al. On droplet combustion of biodiesel fuel mixed with diesel/alkanes in microgravity condition[J]. Combustion and Flame, 2009, 156(10): 1926- 1936.

DOI

133
BOTERO M L , HUANG Y , ZHU D L , et al. Synergistic combustion of droplets of ethanol, diesel and biodiesel mixtures[J]. Fuel, 2012, 94, 342- 347.

DOI

134
LIU Y C , SAVAS A J , AVEDISIAN C T . The spherically symmetric droplet burning characteristics of Jet-A and biofuels derived from camelina and tallow[J]. Fuel, 2013, 108, 824- 832.

DOI

Outlines

/